Анализ эпидемий гриппа на фоне пандемии COVID-19 c использованием усовершенствованной системы надзора (с 2021 по 2024 год)
- Авторы: Карпова Л.С.1, Пелих М.Ю.1, Столяров К.А.1, Волик К.М.1, Столярова Т.П.1, Даниленко Д.М.1
-
Учреждения:
- Научно-исследовательский институт гриппа имени А.А. Смородинцева
- Выпуск: Том 101, № 5 (2024)
- Страницы: 679-691
- Раздел: ОРИГИНАЛЬНЫЕ ИССЛЕДОВАНИЯ
- URL: https://journal-vniispk.ru/0372-9311/article/view/276642
- DOI: https://doi.org/10.36233/0372-9311-556
- EDN: https://elibrary.ru/tqkwng
- ID: 276642
Цитировать
Аннотация
Цель работы — оценка эффективности новых базовых линий (БЛ) и порогов интенсивности (ПИ) эпидемий по заболеваемости и госпитализации с диагнозом «грипп» для уточнения сроков эпидемий и их распространения по территории России на фоне пандемии COVID-19 (с 2021 по 2024 г.).
Материалы и методы. В НИИ гриппа им. А.А. Смородинцева проведено реформирование программного обеспечения с учётом необходимости решения поставленных задач в период пандемии COVID-19. В связи с изменениями в надзоре за гриппом в отношении постановки диагноза «грипп» и увеличением регистрации случаев заболеваний, были откорректированы БЛ и ПИ эпидемий по заболеваемости гриппом и частоте госпитализаций в наблюдаемом 61 городе и для каждого федерального округа (по всему населению и по возрастным группам) за 3 эпидемии на фоне пандемии COVID-19 (2021–2022, 2022–2023 и 2023–2024 гг.).
Результаты. Сравнение БЛ, рассчитанных за предыдущие 6 сезонов по заболеваемости и частоте госпитализаций, в основном клинически диагностированным гриппом, и новых БЛ заболеваемости и госпитализации, в основном лабораторно подтверждённым гриппом в период пандемии, показало незначительные изменения в показателях БЛ заболеваемости и госпитализаций, а ПИ эпидемий по этим показателям увеличились.
Заключение. На фоне пандемии COVID-19 в сезон 2020–2021 гг. эпидемии гриппа не было. В 2021–2022 гг. эпидемия гриппа A(H3N2) была низкой интенсивности по заболеваемости, частоте госпитализации и низкой летальности (2 случая). В 2022–2023 гг. эпидемия гриппа A(H1N1)pdm09 и В была средней интенсивности по заболеваемости с высокой частотой госпитализаций и летальностью (120 случаев). Эпидемия гриппа A(H3N2) и B в 2023–2024 гг. по интенсивности заболеваемости была очень высокого уровня, но средней по частоте госпитализаций и летальности (41 случай), а заболеваемость, по сравнению с предыдущей эпидемией, была больше (0,28 и 0,19% всего населения), в том числе лиц старше 15 лет (0,19 и 0,12%).
Ключевые слова
Полный текст
Введение
В течение последних 4 сезонов в России наблюдается циркуляция новой коронавирусной инфекции. На этом фоне для точного определения старта эпидемии в стране необходимо использовать данные заболеваемости только гриппом без учёта острой респираторной вирусной инфекции (ОРВИ), поскольку данные заболеваемости ОРВИ и COVID-19, значительно превосходящие грипп по численности в период пандемии, маскируют место, время старта и характер развития эпидемии гриппа. В связи со схожестью клинического течения гриппа, COVID-19 и других ОРВИ, согласно Постановлению Правительства от 14.12.2022 № 2297, тестирование на вирусы гриппа и других ОРВИ в больницах и поликлиниках проводится в рамках программы государственных гарантий бесплатного оказания гражданам медицинской помощи и одновременно с тестом полимеразной цепной реакции (ПЦР) на коронавирус1.
Цель работы — оценка эффективности новых базовых линий (БЛ) и порогов интенсивности (ПИ) эпидемий по заболеваемости и госпитализации с диагнозом «грипп» для уточнения сроков эпидемий и их распространения по территории России на фоне пандемии COVID-19 (с 2021 по 2024 г.).
Материалы и методы
На базе НИИ гриппа им. А.А. Смородинцева было проведено реформирование программного обеспечения с учётом необходимости решения поставленных задач в период пандемии СOVID-19. Внедрение новой электронной системы, построенной на основе создания гибкой платформы, позволило оперативно реагировать путём изменения или добавления электронных форм на требования к сбору и анализу данных и выгрузку результатов в глобальную базу данных ВОЗ [1].
Ранее нами были рассчитаны БЛ и ПИ заболеваемости гриппом за 6 сезонов (с 2016–2017 по 2022–2023 гг.) по методу движущихся эпидемий, принятому в европейской системе надзора за гриппом [2, 3]. В связи с изменениями в надзоре за гриппом в отношении постановки диагноза «грипп» и других ОРВИ, а отсюда увеличением регистрации случаев заболеваний гриппом были откорректированы БЛ и ПИ эпидемий по заболеваемости гриппом и частоте госпитализаций с диагнозом «грипп» в наблюдаемых городах (в сумме 61) и для каждого федерального округа (ФО) (по всему населению и по возрастным группам) за 3 эпидемии, протекающие на фоне пандемии COVID-19 (2021–2022, 2022–2023 и 2023–2024 гг.).
Статистическая обработка результатов проведена в программе «MS Exсel» с применением t-критерия Стьюдента, при значимости р = 95%.
Результаты и обсуждение
Сравнение БЛ, рассчитанных за предыдущие 6 сезонов по заболеваемости и частоте госпитализаций, в основном клинически диагностированным гриппом, и новых БЛ заболеваемости и госпитализации, в основном лабораторно подтверждённым гриппом в период пандемии, показало незначительные изменения в показателях БЛ заболеваемости и госпитализаций, а ПИ эпидемий по этим показателям увеличились (табл. 1, 2).
Таблица 1. БЛ и ПИ заболеваемости гриппом на 10 тыс. населения
Table 1. Baselines and thresholds of influenza incidence rate, per 10,000
Показатель Parameter | 2016–2017 – 2022–2023 | 2021–2022 – 2023–2024 | |||||||||
всего total | возраст, лет | age, years | всего total | возраст, лет | age, years | ||||||||
0–2 | 3–6 | 7–14 | 15+ | 0–2 | 3–6 | 7–14 | 15+ | ||||
Россия | Russia | |||||||||||
БЛ BL | предэпидемические | pre-epidemic | 0,05 | 0,23 | 0,13 | 0,08 | 0,04 | 0,04 | 0,23 | 0,13 | 0,05 | 0,03 |
постэпидемические | post-epidemic | 0,04 | 0,21 | 0,17 | 0,09 | 0,04 | 0,05 | 0,28 | 0,19 | 0,10 | 0,04 | |
ПИ IT | средний | medium | 0,36 | 1,32 | 1,40 | 0,72 | 0,21 | 0,92 | 3,87 | 3,84 | 2,60 | 0,40 |
высокий | high | 1,12 | 5,39 | 4,38 | 2,35 | 0,65 | 2,95 | 9,83 | 9,28 | 6,91 | 1,92 | |
очень высокий | very high | 1,46 | 7,20 | 5,69 | 3,07 | 0,84 | 3,85 | 12,47 | 11,69 | 8,81 | 2,59 | |
Центральный ФО | Central Federal District | |||||||||||
БЛ BL | предэпидемические | pre-epidemic | 0,06 | 0,24 | 0,24 | 0,13 | 0,03 | 0,05 | 0,20 | 0,13 | 0,07 | 0,05 |
постэпидемические | post-epidemic | 0,03 | 0,12 | 0,12 | 0,05 | 0,02 | 0,05 | 0,11 | 0,16 | 0,08 | 0,02 | |
ПИ IT | средний | medium | 0,15 | 0,57 | 1,01 | 0,68 | 0,17 | 1,42 | 5,37 | 6,94 | 5,26 | 0,59 |
высокий | high | 1,82 | 9,56 | 9,25 | 5,32 | 1,21 | 3,97 | 16,44 | 18,35 | 13,70 | 1,94 | |
очень высокий | very high | 2,56 | 13,54 | 12,89 | 7,38 | 1,67 | 5,10 | 21,33 | 23,39 | 17,42 | 2,54 | |
Южный ФО | Southern Federal District | |||||||||||
БЛ BL | предэпидемические | pre-epidemic | 0,06 | 0,12 | 0,16 | 0,15 | 0,07 | 0,07 | 0,11 | 0,11 | 0,26 | 0,06 |
постэпидемические | post-epidemic | 0,06 | 0,25 | 0,17 | 0,08 | 0,06 | 0,06 | 0,34 | 0,14 | 0,16 | 0,06 | |
ПИ IT | средний | medium | 0,47 | 1,89 | 1,74 | 0,73 | 0,27 | 0,57 | 3,43 | 2,20 | 0,81 | 0,28 |
высокий | high | 1,02 | 5,15 | 3,73 | 1,56 | 0,68 | 2,20 | 7,70 | 6,07 | 4,43 | 1,53 | |
очень высокий | very high | 1,27 | 6,60 | 4,61 | 1,93 | 0,86 | 2,92 | 9,59 | 7,78 | 6,04 | 2,08 | |
Северо-Западный ФО | Northwest Federal District | |||||||||||
БЛ BL | предэпидемические | pre-epidemic | 0,03 | 0,16 | 0,17 | 0,07 | 0,02 | 0,03 | 0,16 | 0,15 | 0,03 | 0,02 |
постэпидемические | post-epidemic | 0,05 | 0,26 | 0,26 | 0,20 | 0,04 | 0,07 | 0,31 | 0,31 | 0,24 | 0,04 | |
ПИ IT | средний | medium | 0,36 | 1,31 | 1,38 | 0,93 | 0,21 | 0,54 | 3,56 | 2,90 | 2,24 | 2,42 |
высокий | high | 1,16 | 5,06 | 4,02 | 2,49 | 0,77 | 6,31 | 10,40 | 10,96 | 9,86 | 8,31 | |
очень высокий | very high | 1,51 | 6,72 | 5,18 | 3,17 | 1,02 | 8,85 | 13,43 | 14,53 | 13,22 | 10,91 | |
Дальневосточный ФО | Far Eastern Federal District | |||||||||||
БЛ BL | предэпидемические | pre-epidemic | 0,17 | 0,31 | 0,30 | 0,30 | 0,10 | 0,16 | 0,34 | 0,16 | 0,21 | 0,12 |
постэпидемические | post-epidemic | 0,11 | 0,66 | 0,60 | 0,24 | 0,08 | 0,11 | 0,83 | 0,70 | 0,30 | 0,10 | |
ПИ IT | средний | medium | 0,91 | 3,07 | 2,69 | 1,45 | 0,58 | 1,56 | 6,27 | 5,33 | 3,74 | 0,80 |
высокий | high | 2,04 | 8,45 | 6,62 | 4,15 | 1,27 | 3,63 | 14,15 | 11,68 | 7,71 | 2,27 | |
очень высокий | very high | 2,54 | 10,83 | 8,36 | 5,34 | 1,58 | 4,54 | 17,64 | 14,49 | 9,47 | 2,91 | |
Сибирский ФО | Siberian Federal District | |||||||||||
БЛ BL | предэпидемические | pre-epidemic | 0,02 | 0,09 | 0,09 | 0,03 | 0,01 | 0,02 | 0,09 | 0,08 | 0,03 | 0,01 |
постэпидемические | post-epidemic | 0,04 | 0,17 | 0,14 | 0,08 | 0,02 | 0,05 | 0,13 | 0,14 | 0,08 | 0,03 | |
ПИ IT | средний | medium | 0,40 | 1,77 | 1,49 | 0,80 | 0,21 | 0,53 | 3,14 | 2,03 | 1,53 | 0,20 |
высокий | high | 0,75 | 4,43 | 2,95 | 1,91 | 0,41 | 1,24 | 6,83 | 3,81 | 2,85 | 0,75 | |
очень высокий | very high | 0,90 | 5,60 | 3,59 | 2,40 | 0,50 | 1,55 | 8,47 | 4,60 | 3,43 | 0,99 | |
Северо-Кавказский ФО | North Caucasian Federal District | |||||||||||
БЛ BL | предэпидемические | pre-epidemic | 0,03 | 0,14 | 0,29 | 0,22 | 0,03 | 0,19 | 0,27 | 0,29 | 0,20 | 0,53 |
постэпидемические | post-epidemic | 0,04 | 0,14 | 0,39 | 0,11 | 0,04 | 0,06 | 0,49 | 0,23 | 0,27 | 0,04 | |
ПИ IT | средний | medium | 0,17 | 2,83 | 2,38 | 0,77 | 0,13 | 0,41 | 6,24 | 4,68 | 3,28 | 1,02 |
высокий | high | 2,23 | 7,55 | 7,70 | 6,27 | 1,68 | 3,33 | 10,66 | 10,84 | 10,40 | 3,30 | |
очень высокий | very high | 3,15 | 9,63 | 10,04 | 8,69 | 2,37 | 4,63 | 12,61 | 13,56 | 13,55 | 4,30 | |
Уральский ФО | Ural Federal District | |||||||||||
БЛ BL | предэпидемические | pre-epidemic | 0,03 | 0,07 | 0,06 | 0,03 | 0,03 | 0,03 | 0,12 | 0,08 | 0,05 | 0,02 |
постэпидемические | post-epidemic | 0,04 | 0,09 | 0,10 | 0,04 | 0,04 | 0,04 | 0,09 | 0,06 | 0,02 | 0,05 | |
ПИ IT | средний | medium | 0,23 | 0,24 | 0,33 | 0,28 | 0,24 | 0,26 | 1,02 | 0,65 | 0,51 | 0,35 |
высокий | high | 0,59 | 1,26 | 1,10 | 0,71 | 0,60 | 1,23 | 3,13 | 2,70 | 1,74 | 1,17 | |
очень высокий | very high | 0,76 | 1,71 | 1,44 | 0,90 | 0,76 | 1,65 | 4,07 | 3,61 | 2,27 | 1,54 | |
Приволжский ФО | Volga Federal District | |||||||||||
БЛ BL | предэпидемические | pre-epidemic | 0,02 | 0,12 | 0,10 | 0,03 | 0,02 | 0,01 | 0,14 | 0,08 | 0,02 | 0,01 |
постэпидемические | post-epidemic | 0,05 | 0,30 | 0,18 | 0,09 | 0,04 | 0,06 | 0,32 | 0,16 | 0,07 | 0,04 | |
ПИ IT | средний | medium | 0,37 | 1,40 | 1,32 | 0,56 | 0,23 | 0,74 | 2,57 | 2,57 | 2,06 | 0,42 |
высокий | high | 0,95 | 3,53 | 2,76 | 2,08 | 0,67 | 2,68 | 10,73 | 7,75 | 5,24 | 1,87 | |
очень высокий | very high | 1,21 | 4,48 | 3,40 | 2,75 | 0,86 | 3,54 | 14,34 | 10,03 | 6,65 | 2,51 | |
Таблица 2. БЛ и ПИ госпитализации с «гриппом» на 10 тыс. населения
Table 2. Baselines and thresholds for rates of hospitalization with “influenza”, per 10,000
Показатель Parameter | 2016–2017 – 2022–2023 | 2021–2022 – 2023–2024 | |||||||||
всего total | возраст, лет | age, years | всего total | возраст, лет | age, years | ||||||||
0–2 | 3–6 | 7–14 | 15+ | 0–2 | 3–6 | 7–14 | 15+ | ||||
Россия | Russia | |||||||||||
БЛ BL | предэпидемические | pre-epidemic | 0,03 | 0,15 | 0,09 | 0,05 | 0,03 | 0,01 | 0,11 | 0,04 | 0,02 | 0,01 |
постэпидемические | post-epidemic | 0,03 | 0,14 | 0,11 | 0,06 | 0,03 | 0,02 | 0,25 | 0,07 | 0,03 | 0,01 | |
ПИ IT | средний | medium | 0,24 | 1,13 | 0,91 | 0,42 | 0,14 | 0,27 | 1,92 | 1,18 | 0,55 | 0,13 |
высокий | high | 0,49 | 3,04 | 1,86 | 0,80 | 0,29 | 0,62 | 4,24 | 2,35 | 1,01 | 0,35 | |
очень высокий | very high | 0,60 | 3,89 | 2,28 | 0,97 | 0,35 | 0,77 | 5,26 | 2,87 | 1,22 | 0,45 | |
Центральный ФО | Central Federal District | |||||||||||
БЛ BL | предэпидемические | pre-epidemic | 0,04 | 0,19 | 0,19 | 0,08 | 0,02 | 0,01 | 0,13 | 0,07 | 0,03 | 0,01 |
постэпидемические | post-epidemic | 0,02 | 0,09 | 0,07 | 0,03 | 0,01 | 0,02 | 0,10 | 0,08 | 0,05 | 0,01 | |
ПИ IT | средний | medium | 0,15 | 0,78 | 0,81 | 0,40 | 0,10 | 0,30 | 2,12 | 1,69 | 0,74 | 0,11 |
высокий | high | 0,45 | 3,82 | 2,67 | 1,03 | 0,23 | 0,69 | 5,59 | 3,79 | 1,41 | 0,30 | |
очень высокий | very high | 0,58 | 5,16 | 3,49 | 1,31 | 0,29 | 0,86 | 7,12 | 4,71 | 1,71 | 0,39 | |
Южный ФО | Southern Federal District | |||||||||||
БЛ BL | предэпидемические | pre-epidemic | 0,06 | 0,11 | 0,15 | 0,14 | 0,06 | 0,06 | 0,10 | 0,11 | 0,08 | 0,03 |
постэпидемические | post-epidemic | 0,05 | 0,21 | 0,72 | 0,07 | 0,04 | 0,05 | 0,25 | 0,11 | 0,13 | 0,05 | |
ПИ IT | средний | medium | 0,45 | 1,93 | 1,71 | 0,68 | 0,24 | 0,47 | 3,32 | 1,95 | 0,83 | 0,20 |
высокий | high | 0,96 | 5,09 | 3,69 | 1,52 | 0,60 | 1,00 | 6,22 | 3,01 | 1,52 | 0,65 | |
очень высокий | very high | 1,18 | 6,49 | 4,57 | 1,89 | 0,76 | 1,24 | 7,51 | 3,47 | 1,82 | 0,84 | |
Северо-Западный ФО | Northwest Federal District | |||||||||||
БЛ BL | предэпидемические | pre-epidemic | 0,02 | 0,20 | 0,15 | 0,06 | 0,01 | 0,03 | 0,23 | 0,16 | 0,07 | 0,02 |
постэпидемические | post-epidemic | 0,03 | 0,19 | 0,18 | 0,17 | 0,03 | 0,04 | 0,17 | 0,16 | 0,09 | 0,02 | |
ПИ IT | средний | medium | 0,24 | 1,21 | 0,94 | 0,56 | 0,13 | 0,33 | 1,91 | 1,21 | 0,78 | 0,37 |
высокий | high | 0,71 | 3,82 | 2,32 | 1,29 | 0,46 | 0,92 | 5,08 | 2,93 | 1,67 | 0,77 | |
очень высокий | very high | 0,91 | 4,97 | 2,93 | 1,62 | 0,60 | 1,18 | 6,48 | 3,70 | 2,06 | 0,94 | |
Дальневосточный ФО | Far Eastern Federal District | |||||||||||
БЛ BL | предэпидемические | pre-epidemic | 0,13 | 0,23 | 0,23 | 0,24 | 0,09 | 0,00 | 0,08 | 0,14 | 0,12 | 0,07 |
постэпидемические | post-epidemic | 0,08 | 0,41 | 0,36 | 0,12 | 0,06 | 0,07 | 0,74 | 0,19 | 0,22 | 0,08 | |
ПИ IT | средний | medium | 0,62 | 2,40 | 1,62 | 0,87 | 0,42 | 0,62 | 3,50 | 1,70 | 0,92 | 0,38 |
высокий | high | 1,28 | 6,20 | 3,70 | 1,80 | 0,86 | 1,43 | 7,75 | 4,10 | 2,02 | 0,95 | |
очень высокий | very high | 1,57 | 7,88 | 4,61 | 2,21 | 1,05 | 1,79 | 9,63 | 5,15 | 2,51 | 1,20 | |
Сибирский ФО | Siberian Federal District | |||||||||||
БЛ BL | предэпидемические | pre-epidemic | 0,02 | 0,08 | 0,07 | 0,03 | 0,01 | 0,01 | 0,13 | 0,03 | 0,03 | 0,00 |
постэпидемические | post-epidemic | 0,02 | 0,14 | 0,11 | 0,06 | 0,01 | 0,02 | 0,08 | 0,07 | 0,03 | 0,01 | |
ПИ IT | средний | medium | 0,21 | 1,33 | 0,81 | 0,36 | 0,09 | 0,22 | 2,26 | 0,79 | 0,38 | 0,07 |
высокий | high | 0,43 | 3,31 | 1,65 | 0,73 | 0,22 | 0,46 | 4,50 | 1,68 | 0,58 | 0,23 | |
очень высокий | very high | 0,53 | 4,19 | 2,03 | 0,89 | 0,28 | 0,57 | 5,48 | 2,08 | 0,66 | 0,30 | |
Северо-Кавказский ФО | North Caucasian Federal District | |||||||||||
БЛ BL | предэпидемические | pre-epidemic | 0,01 | 0,00 | 0,18 | 0,17 | 0,02 | 0,00 | 0,00 | 0,00 | 0,14 | 0,00 |
постэпидемические | post-epidemic | 0,02 | 0,14 | 0,25 | 0,06 | 0,03 | 0,01 | 0,35 | 0,00 | 0,00 | 0,00 | |
ПИ IT | средний | medium | 0,15 | 2,00 | 1,42 | 0,74 | 0,10 | 0,08 | 3,29 | 1,48 | 1,44 | 0,15 |
высокий | high | 0,67 | 4,46 | 3,39 | 1,67 | 0,45 | 0,70 | 5,12 | 3,93 | 2,18 | 0,56 | |
очень высокий | very high | 0,91 | 5,54 | 4,26 | 2,08 | 0,60 | 0,98 | 5,94 | 5,01 | 2,51 | 0,75 | |
Уральский ФО | Ural Federal District | |||||||||||
БЛ BL | предэпидемические | pre-epidemic | 0,01 | 0,06 | 0,05 | 0,02 | 0,02 | 0,00 | 0,05 | 0,04 | 0,02 | 0,00 |
постэпидемические | post-epidemic | 0,02 | 0,08 | 0,03 | 0,00 | 0,03 | 0,03 | 0,00 | 0,00 | 0,00 | 0,01 | |
ПИ IT | средний | medium | 0,11 | 0,21 | 0,16 | 0,06 | 0,14 | 0,07 | 0,49 | 0,29 | 0,04 | 0,09 |
высокий | high | 0,27 | 0,82 | 0,46 | 0,22 | 0,30 | 0,26 | 3,32 | 0,91 | 0,45 | 0,20 | |
очень высокий | very high | 0,34 | 1,09 | 0,59 | 0,29 | 0,37 | 0,34 | 4,57 | 1,18 | 0,62 | 0,25 | |
Приволжский ФО | Volga Federal District | |||||||||||
БЛ BL | предэпидемические | pre-epidemic | 0,02 | 0,12 | 0,10 | 0,03 | 0,02 | 0,01 | 0,08 | 0,06 | 0,01 | 0,01 |
постэпидемические | post-epidemic | 0,03 | 0,23 | 0,14 | 0,08 | 0,02 | 0,02 | 0,15 | 0,04 | 0,02 | 0,01 | |
ПИ IT | средний | medium | 0,24 | 1,05 | 0,76 | 0,32 | 0,16 | 0,22 | 1,38 | 0,70 | 0,31 | 0,15 |
высокий | high | 0,44 | 2,50 | 1,58 | 0,67 | 0,28 | 0,57 | 4,26 | 1,89 | 0,86 | 0,35 | |
очень высокий | very high | 0,53 | 3,15 | 1,94 | 0,83 | 0,34 | 0,72 | 5,53 | 2,41 | 1,11 | 0,45 | |
Мониторинг заболеваемости гриппом в стране в сезон 2023–2024 гг. показал её ранний рост: уже на 45-й неделе 2023 г. (2-я неделя ноября) в целом по стране она превысила БЛ (0,04 на 10 тыс. населения) на 87,5%. Далее наблюдали неуклонный рост заболеваемости гриппом в течение 6 нед с пиком (4,52 на 10 000 населения) на 51-й неделе 2023 г. Со следующей недели заболеваемость стала снижаться, но оставалась на низком уровне до 18-й недели. Показатель заболеваемости на пике эпидемии (2023–2024 гг.) был в 2,5 раза выше эпидемии 2022–2023 гг. Интенсивность эпидемии гриппа последнего сезона была очень высокого уровня, в предыдущую эпидемию — среднего уровня (рис. 1).
Рис. 1. Динамика заболеваемости гриппом населения наблюдаемых городов (61) в сезон 2021–2022, 2022–2023 и 2023–2024 гг.
Fig. 1. Dynamics of influenza incidence in the population of the surveyed cities (61) in the seasons 2021–2022, 2022–2023, and 2023–2024.
Мониторинг развития заболеваемости в разных возрастных группах населения
В сезоне 2023–2024 гг. заболеваемость гриппом превысила БЛ на 45-й неделе одновременно во всех возрастных группах. Пик заболеваемости был зарегистрирован на 51-й неделе одновременно в детских возрастных группах и среди лиц старше 15 лет. Интенсивность заболеваемости гриппом на пике эпидемии превышала очень высокий порог интенсивности во всех возрастных группах, кроме детей 0–2 лет, у которых она была «высокого» уровня. Начиная с 52-й недели заболеваемость стала снижаться во всех возрастных группах, но оставалась выше постэпидемической БЛ у детей 0–2 и 3–6 лет — до 15-й недели (включительно), среди детей 7–14 лет и лиц 15+ лет — до 18-й недели.
За период эпидемии 2023–2024 гг. заболели гриппом 0,27% всего населения наблюдаемых городов (150 439 человек), в том числе 0,88% детей в возрасте 0–2 лет, 0,8% — 3–6 лет, 0,57% — 7–14 лет и 0,19% лиц в возрасте 15 лет и старше. За период эпидемии 2022–2023 гг. переболело гриппом 0,19% всего населения наблюдаемых городов (105 881 человек), в том числе 0,81% детей в возрасте 0–2 лет, 0,66% — 3–6 лет, 0,46% — 7–14 лет и 0,12% лиц в возрасте 15 лет и старше (рис. 2).
Рис. 2. Динамика заболеваемости гриппом в разных возрастных группах населения наблюдаемых городов (61) в сезон 2023–2024 гг.
Fig. 2. Dynamics of influenza incidence in different age groups of the population of the surveyed cities (61) in the 2023–2024 season.
Географическое распространение эпидемии, её интенсивность в разных ФО
Эпидемия началась прежде всего (на 43-й неделе) в городах Уральского ФО; на 44-й неделе она была зарегистрирована в других 3 ФО (Северо-Западном, Приволжском и Центральном), на 46-й неделе — в Сибирском ФО, на 47-й — в Дальневосточном ФО, на 49-й — в Южном ФО и последним в эпидемию был вовлечён Северо-Кавказский ФО (на 51-й неделе).
Пик заболеваемости был достигнут ранее всего (на 50-й неделе) в Дальневосточном ФО (4,6 на 10 000 населения), на 51-й неделе — в СевероЗападном (11,56), Центральном (5,41) и Уральском ФО (1,91), на 52-й неделе — в Сибирском ФО (1,59), на 2-й неделе — в Приволжском ФО (3,57), на 5-й неделе — в Северо-Кавказском (4,94) и Южном ФО (3,86). Эпидемия гриппа закончилась раньше всего (на 13-й неделе) — в Сибирском и Дальневосточном ФО, на 14-й неделе — в Приволжском и Северо-Кавказском ФО, на 17-й неделе — в Южном ФО, на 19-й неделе — в Центральном ФО, однако в Северо-Западном и Уральском ФО на 19-й неделе заболеваемость гриппом оставалась выше их постэпидемических БЛ. Таким образом, продолжительность эпидемии в округах варьировала от 16 нед в Северо-Кавказском ФО до 29 нед в Уральском ФО.
Интенсивность заболеваемости на пике эпидемии
Интенсивность заболеваемости гриппом на пике эпидемии была очень высокой, намного превышая порог этого уровня, в Северо-Западном ФО (11,6 против 8,85 на 10 000 населения) и Южном ФО (3,9 против 2,92 на 10 000), в остальных ФО она также достигла очень высокого уровня, но незначительно превышала этот ПИ (рис. 3).
Рис. 3. Сравнение динамики и уровня интенсивности заболеваемости гриппом (на 10 000 населения) в разных ФО в сезон 2023–2024 гг.
Fig. 3. Comparison of the dynamics and intensity level of influenza incidence in different Federal Districts (FD) in the 2023–2024 season.
Госпитализация
Рост частоты госпитализации больных гриппом привел к превышению БЛ на 45-й неделе, одновременно с началом подъёма заболеваемости. Госпитализация достигла пика (0,55 на 10 000 населения) на 51-й неделе, когда её уровень превысил порог «средней» интенсивности. В дальнейшем частота госпитализации снижалась и с 6-й недели была низкого уровня интенсивности, а с 15-й недели — ниже БЛ (рис. 4). Снижение госпитализации с марта по май, по-видимому, объясняется преимущественной циркуляцией в это время вируса гриппа В и более лёгким течением заболевания, чем при гриппе A(H3N2).
Рис. 4. Динамика частоты госпитализации пациентов с диагнозом «грипп» в сезоны 2021–2022, 2022–2023 и 2023–2024 гг.
Fig. 4. Dynamics of the frequency of hospitalization of patients diagnosed with influenza in seasons 2021–2022, 2022–2023, and 2023–2024.
За период эпидемии было госпитализировано 0,05% всего населения, из них 0,32% детей в возрасте 0–2 лет, 0,16% — 3–6 лет, 0,07% — 7–14 лет и 0,02% лиц в возрасте 15–64 года и 0,05% лиц старше 65 лет. Доля лиц, госпитализированных за период эпидемии, от числа заболевших гриппом составила в среднем около 17,3%, в том числе среди детей 0–2 лет — 35,9%, 3–6 лет — 19,6% лет, 7–14 лет — 12,6%, среди лиц в возрасте 15–64 года — 12,7% и лиц в возрасте старше 65 лет — 26,7%.
Летальность от гриппа
В сезон 2023–2024 гг. получены сообщения о 41 летальном исходе от лабораторно подтверждённого гриппа: 39 случаев от гриппа A(H3N2) и 2 случая от гриппа A(H3N2)+COVID-19. В этом сезоне летальные исходы регистрировали с 48-й недели 2023 г. по 15-ю неделю 2024 г. (с ноября по апрель) и только от гриппа A(H3N2), т. е. в период его циркуляции. Случаи смерти от смешанной инфекции A(H3N2) и COVID-19 зарегистрированы в январе и апреле. Случаев смерти от гриппа В зарегистрировано не было, несмотря на приеимущественную его циркуляцию с марта по май.
Во время предыдущей эпидемии в сезон 2022–2023 гг., где основным возбудителем был вирус гриппа А(H1N1)pdm09, лабораторно подтверждено 120 летальных исходов от гриппа: 103 случая — от гриппа А(H1N1)pdm09, 6 случаев — от гриппа В, 1 случай — от гриппа А(H3N2), 10 случаев — от гриппа А (не субтипированных).
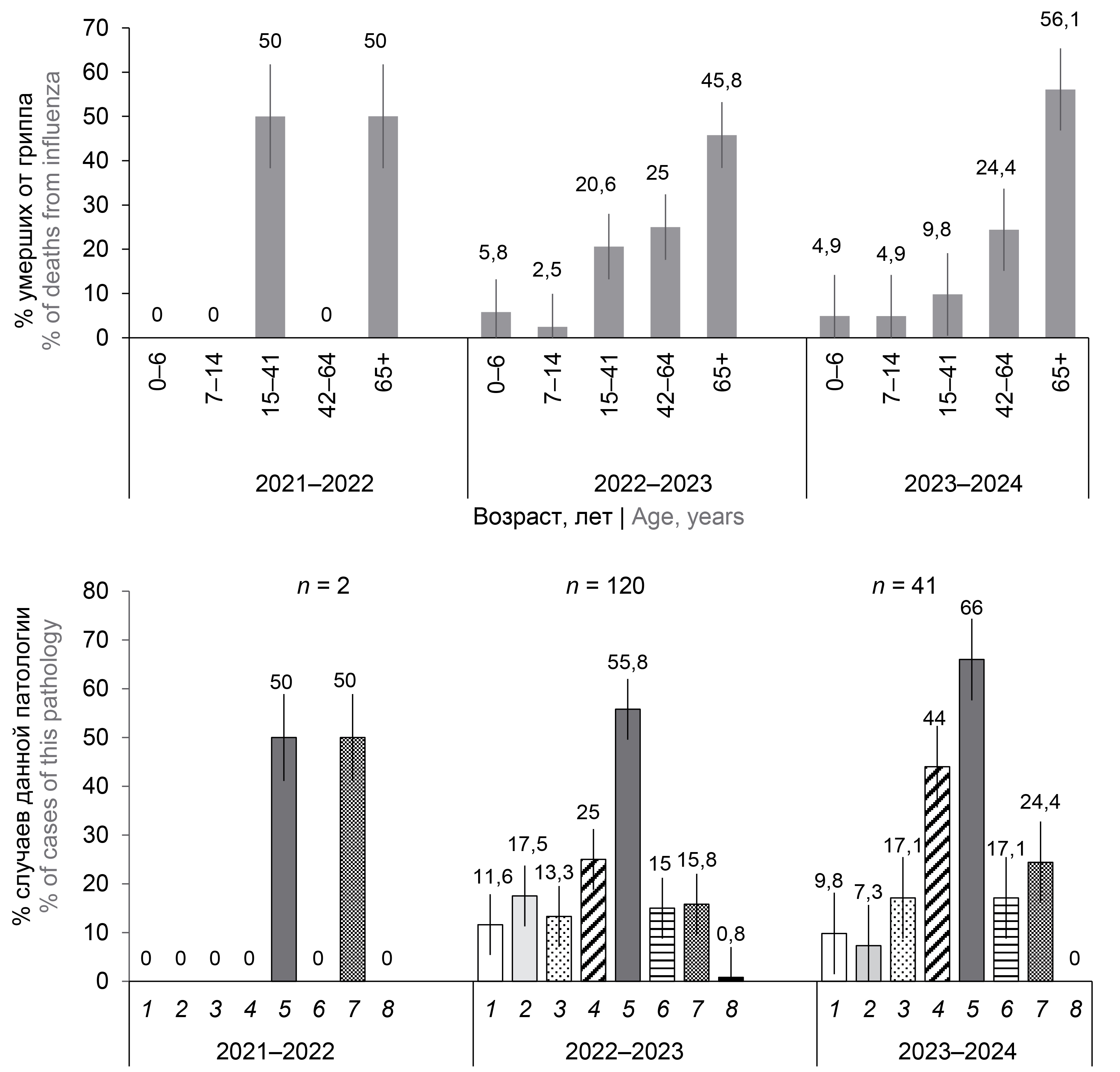
Следует отметить, что в эпидемию 2021–2022 гг., где возбудителем был только вирус гриппа A(H3N2), зарегистрированы только 2 случая смерти от лабораторно подтверждённого гриппа (рис. 5).
Рис. 5. Число и этиология летальных исходов от лабораторно подтверждённого гриппа в эпидемии с 2021 по 2024 г.
Fig. 5. The number and etiology of deaths from laboratory-confirmed influenza in the epidemic from 2021 to 2024.
В возрастной структуре умерших в последнем сезоне преобладали пожилые люди в возрасте 65+ лет (56,1%; p < 0,05). Доля умерших в возрасте 42–64 года составила 24,3%, доля детей до 6-летнего возраста — 4,8%, 7–14 лет — 4,8% от общего числа умерших (рис. 6). Среди умерших больные с сердечно-сосудистой патологией составляли 66,0% (p < 0,05), c болезнями внутренних органов — 44,0% (p < 0,05), что связано с увеличением лиц пожилого возраста в последнюю эпидемию. Другими факторами риска летальных исходов были такие сопутствующие заболевания, как хронические болезни лёгких (17,1%) и состояния с иммунодефицитами (17,1%).
Рис. 6. Возрастная структура и структура фоновой патологии умерших от лабораторно подтверждённого гриппа в эпидемии с 2021 по 2024 г.
1 — ожирение; 2 — диабет; 3 — иммунодефициты; 4 — болезни внутренних органов; 5 — сердечно-сосудистая патология; 6 — хронические болезни лёгких; 7 — болезни центральной нервной системы; 8 — беременность.
Fig. 6. Age structure and structure of background pathology of those who died from laboratory confirmed influenza during the epidemic in 2021–2024.
1 — obesity; 2 — diabetes; 3 — immunodeficiencies; 4 — diseases of internal organs; 5 — cardiovascular pathology; 6 — chronic lung diseases; 7 — diseases of the central nervous system; 8 — pregnancy.
Сравнение динамики заболевамости гриппом, ОРВИ и COVID-19 показало чередование возбудителей гриппа и COVID-19 (рис. 7). В сезон 2021–2022 гг. волна геноварианта Delta предшествовала эпидемии гриппа A(H3N2) низкой интенсивности, которую в свою очередь сменила эпидемия геноварианта Omicron высокой интенсивности. В сезон 2022–2023 гг. эпидемия, вызванная дочерними геновариантами Omicron, сменилась эпидемией гриппа A(H1N1)pdm09 и B, которая была средней интенсивности по заболеваемости. И только в сезон 2023–2024 гг. волна COVID-19 и эпидемия A(H3N2) и В начались одновременно, при этом волна COVID-19 была низкой интенсивности, а эпидемия гриппа A(H3N2) и B — очень высокой.
Рис. 7. Сравнение динамики заболеваемости гриппом, ОРВИ и COVID-19 в наблюдаемых городах в сезоны с 2021 по 2024 г.
Fig. 7. Comparison of the incidence dynamics of influenza, ARVI and COVID-19 in the surveyed cities during the seasons from 2021 to 2024.
Другие исследователи приводят данные, свидетельствующие о возможной интеференции возбудителей SARS-COV-2, гриппа и других ОРВИ друг с другом по данным как сигнального, так и традиционного надзора [4–6].
Особенностью эпидемии гриппа 2023–2024 гг. явилось раннее начало (на 45-й неделе 2023 г.), как и в другие эпидемии гриппа на фоне циркуляции COVID-19 (в 2021 г. — на 45-й неделе, в 2022 г. — на 47-й неделе). Раннее начало эпидемий гриппа в период циркуляции COVID-19 также отмечали в Белоруссии, эпидемический по гриппу сезон 2021–2022 гг. начался с 47-й недели, в 2023–2024 гг. — с 47-й недели, а в Ташкенте эпидемический по гриппу сезон 2023–2024 гг. начался с 44-й недели [7–9].
Такое раннее начало эпидемий гриппа наблюдали только в истории пандемий гриппа: на 39-й календарной неделе 1957 г. началась пандемия гриппа A/Сингапур/57(H2N2), в ноябре 1977 г. — пандемия A/CCCР/90/77(H1N1), на 39-й календарной неделе 2009 г. — пандемия A/Калифорния/09(H1N1) [10–14].
Можно предположить, что раннее начало пандемий гриппа могло быть обусловлено антигенной новизной пандемического вируса гриппа, A/Сингапур/57(H2N2), A/Калифорния/09(H1N1), к которому у большинства населения не было иммунитета, а в период пандемии COVID-19 — снижением иммунитета к гриппу у населения, ранее переболевшего COVID-19.
Заключение
Сравнение БЛ, рассчитанных за 6 сезонов до пандемии COVID-19, и новых БЛ и ПИ эпидемий по заболеваемости и госпитализации с диагнозом «грипп», подтверждённым методом ПЦР, рассчитанных за 3 эпидемии на фоне пандемии COVID-19, показало незначительные изменения в показателях БЛ, а ПИ увеличились.
На фоне пандемии COVID-19 в первый сезон (2020–2021 гг.) эпидемии гриппа не было. В сезон 2021–2022 гг. эпидемия моноэтиологии A(H3N2) была низкой интенсивности по заболеваемости и частоте госпитализации, а также с низкой летальностью (2 случая). В сезон 2022–2023 гг. эпидемия гриппа A(H1N1)pdm09 и В была средней интенсивности по заболеваемости, с высоким уровнем частоты госпитализаций и высокой летальностью (120 случаев). Эпидемия гриппа A(H3N2) и B в сезон 2023–2024 гг. по интенсивности заболеваемости гриппом была «очень высокого» уровня, но средней по частоте госпитализаций и летальности (41 случай). Заболеваемость последней, по сравнению с предыдущей эпидемией, была больше (0,28 и 0,19% всего населения), в том числе лиц старше 15 лет (0,19 и 0,12%). Таким образом, вирус гриппа A(H1N1)pdm09 по-прежнему остаётся основной причиной летальных исходов.
Одной из причин высокой заболеваемости гриппом в последнюю эпидемию может быть увеличение регистрации заболеваемости гриппом при увеличении тестирования на грипп методом ПЦР. Нельзя исключить влияние интерференции между гриппом и COVID-19, снижение заболеваемости COVID-19 и увеличение заболеваемости гриппом в последнем сезоне.
1 Постановление Правительства РФ от 14.12.2022 № 2297 «О внесении изменений в раздел IV Программы государственных гарантий бесплатного оказания гражданам медицинской помощи на 2022 год и на плановый период 2023 и 2024 годов» (номер опубликования: 0001202212150010)
Об авторах
Людмила Серафимовна Карпова
Научно-исследовательский институт гриппа имени А.А. Смородинцева
Автор, ответственный за переписку.
Email: epidlab@influenza.spb.ru
ORCID iD: 0000-0001-6621-5977
д. м. н., зав. лаб. эпидемиологии гриппа и ОРЗ
Россия, Cанкт-ПетербургМария Юрьевна Пелих
Научно-исследовательский институт гриппа имени А.А. Смородинцева
Email: epidlab@influenza.spb.ru
ORCID iD: 0009-0003-1996-4512
н. с. лаб. эпидемиологии гриппа и ОРЗ
Россия, Cанкт-ПетербургКирилл Александрович Столяров
Научно-исследовательский институт гриппа имени А.А. Смородинцева
Email: epidlab@influenza.spb.ru
ORCID iD: 0000-0002-1765-2799
ведущий программист лаб. эпидемиологии гриппа и ОРЗ
Россия, Cанкт-ПетербургКсения Михайловна Волик
Научно-исследовательский институт гриппа имени А.А. Смородинцева
Email: epidlab@influenza.spb.ru
ORCID iD: 0000-0002-5557-9318
ведущий программист лаб. эпидемиологии гриппа и ОРЗ
Россия, Cанкт-ПетербургТатьяна Петровна Столярова
Научно-исследовательский институт гриппа имени А.А. Смородинцева
Email: epidlab@influenza.spb.ru
ORCID iD: 0009-0004-2882-0016
техник лаб. эпидемиологии гриппа и ОРЗ
Россия, Cанкт-ПетербургДарья Михайловна Даниленко
Научно-исследовательский институт гриппа имени А.А. Смородинцева
Email: epidlab@influenza.spb.ru
ORCID iD: 0000-0001-6174-0836
к. б. н., с. н. с., зам. директора по научной работе
Россия, Cанкт-ПетербургСписок литературы
- Карпова Л.С., Столяров К.А., Пелих М.Ю. Совершенствование традиционной системы надзора в национальном центре по гриппу в условиях пандемии COVID-19 (2020–2023). Журнал инфектологии. 2024;16(2S1):245–6. Karpova L.S., Stolyarov K.A., Pelikh M.Yu. Improving the traditional surveillance system at the national influenza center during the COVID-19 pandemic (2020-23). Journal Infectology. 2024;16(2S1):245–6.
- Vega T., Lozano J.E., Meerhoff T., et al. Influenza surveillance in Europe: establishing epidemic thresholds by the moving epidemic method. Influenza Other Respir. Viruses. 2013;7(4):546–58. DOI: https://doi.org/10.1111/j.1750-2659.2012.00422.x
- Vega T., Lozano J.E., Meerhoff T., et al. Influenza surveillance in Europe: comparing intensity levels calculated using the moving epidemic method. Influenza Other Respir. Viruses. 2015;9(5):234–46. DOI: https://doi.org/10.1111/irv.12330
- Аношко О.Н., Лапо Т.П., Кищенко Е.Н., et al. Вклад вирусов гриппа, SARS-CoV-2 и других респираторных патогенов в этиологическую структуру возбудителей тяжелых острых респираторных инфекций в Республике Беларусь в 2021-2022 гг. В кн.: Сборник научных трудов «БГМУ – в авангарде медицинской науки и практики». Выпуск 12. Минск;2022:294–9. Anoshko O.N., Lapo T.P., Kisnchenko E.N., et al. Contribution of influenza viruses, SARS-CoV-2 and other respiratory pathogens to the etiological structure of severe acute respiratory infection causes in the Republic of Belarus in 2021–2022. In: Collection of Scientific Papers «BSMU – at the Forefront of Medical Science and Practice». Issue 12. Minsk;2022:294–9.
- Соминина А.А., Даниленко Д.М., Столяров К.А. и др. Интерференция SARS-CoV-2 с другими возбудителями респираторных вирусных инфекций в период пандемии. Эпидемиология и вакцинопрофилактика. 2021;20(4):28–39. Sominina A.A., Danilenko D.M., Stolyarov K.A., et al. Interference of SARS-CoV-2 with other respiratory viral infections agents during pandemic. Epidemiology and Vaccinal Prevention. 2021;20(4):28–39. DOI: https://doi.org/10.31631/2073-3046-2021-20-4-28-39 EDN: https://elibrary.ru/cdrnsj
- Горенчук А.Н., Жоголев С.Д., Жоголев К.Д. и др. Изменение этиологии острых болезней органов дыхания в организованных коллективах в период пандемии COVID-19 по сравнению с доковидным периодом. В кн.: Микробиология военной медицине и здравоохранению. Современные технологии: наука, практика, инновации: Материалы Всероссийской научно-практической конференции, посвященной 100-летию со дня основания кафедры микробиологии Военно-медицинской академии имени С.М. Кирова. СПб.;2023:28–34. Gorenchuk A.N., Zhogolev S.D., Zhogolev K.D., et al. Changes in the etiology of acute respiratory diseases in organized groups during the COVID-19 pandemic compared to the pre-COVID period. In: Microbiology to Military Medicine and Healthcare. Modern Technologies: Science, Practice, Innovation: Materials of the All-Russian Scientific and Practical Conference Dedicated to the 100th Anniversary of the Founding of the Department of Microbiology of the Military Medical Academy named after S.M. Kirov. St. Petersburg;2023:28–34.
- Аношко О.Н., Лапо Т.П., Кищенко Е.Н. и др. Эпидемический процесс по гриппу во время пандемии COVID-19 в Республике Беларусь. В кн.: Вирусные инфекции – от диагностики к клинике: сборник тезисов Всероссийской конференции молодых ученых. СПб.;2023:10–1. Anoshko O.N., Lapo T.P., Kishchenko E.N., et al. Epidemic process of influenza during the COVID-19 pandemic in the Republic of Belarus. In: Viral Infections — from Diagnosis to Clinic: Collection of Abstracts of the Russian Conference of Young Scientists. St. Petersburg;2023:10–1.
- Дорош А.В., Смородинцева Е.А., Столяров К.А. Этиология ТОРИ в период пандемии COVID-19 по данным сигнального надзора. В кн.: Вирусные инфекции – от диагностики к клинике: сборник тезисов Всероссийской конференции молодых ученых. СПб.;2024:16–7. Dorosh A.V., Smorodintseva E.A., Stolyarov K.A. Etiology of SARI during the COVID-19 pandemic according to sentinel surveillance data. In: Viral Infections – from Diagnosis to Clinic: Collection of Abstracts of the Russian Conference of Young Scientists. St. Petersburg;2024:16–7.
- Переяслов Д.И., Ибадуллаева Н.С., Рахимов Р.А. и др. Эпидемическая обстановка по гриппу и ОРВИ в сезон 2023–2024 гг. Журнал инфектологии. 2024;16(2S1):275. Pereyaslov D.I., Ibadullayeva N.S., Rakhimov R.A., et al. The epidemic situation of influenza and ARI in the 2023-2024 season. Journal Infectology. 2024;16(2S1):275.
- Аншелес И.М., Фридман Э.А., Стенина Е.С. и др. Некоторые итоги эпидемиологических, иммунологических и вирусологических сопоставлений по материалам эпидемических волн гриппа типа А2 1957 и 1959гг. в Ленинграде. В кн.: Этиология, иммунология и клиника азиатского гриппа: Труды института экспериментальной медицины АМН СССР. Л.;1961:138–47. Ansheles I.M., Fridman E.A., Stenina E.S., et al. Some results of epidemiological, immunological and virological comparisons based on materials from the epidemic waves of influenza type A2 in 1957 and 1959 in Leningrad. In: Etiology, Immunology and Clinic of Asian Influenza: Proceedings of the Institute of Experimental Medicine of the USSR Academy of Medical Sciences. Leningrad;1961:138–47.
- Смородинцев А.А. Итоги изучения этиологии и иммунологии азиатского гриппа типа А2 в Ленинграде. В кн.: Этиология, иммунология и клиника азиатского гриппа: Труды института экспериментальной медицины АМН СССР. Л.;1961:127–37. Smorodintsev A.A. Results of the study of the etiology and immunology of Asian influenza type A2 in Leningrad. In: Etiology, Immunology and Clinic of Asian Influenza: Proceedings of the Institute of Experimental Medicine of the USSR Academy of Medical Sciences. Leningrad;1961:127–37.
- Карпухин Г.И. Особенности распространения гриппа А1 в мире и СССР. В кн.: Проблемы гриппа и острых респираторных заболеваний: Сборник научных трудов ВНИИ гриппа. Том 2. Л.;1979:5–17. Karpukhin G.I. Features of the spread of influenza A1 in the world and the USSR. In: Problems of Influenza and Acute Respiratory Diseases: Collection of Scientific Works of Russian Research Institute of Influenza. Volume 2. Leningrad;1979:5–17.
- Карпова Л.С., Маринич И.Г., Поповцева Н.М., Столярова Т.П. Эпидемиология гриппа А(H1N1) Калифорния/07/09 среди населения 49 городов России в сезон 2009–2010 гг. Журнал микробиологии, эпидемиологии и иммунобиологии. 2011;88(3):14–20. Karpova L.S., Marinich I.G., Popovtseva N.M., Stolyarova T.P. Epidemiology of influenza A/CALIFORNIA/07/09 (H1N1) in population of 49 cities in Russia in 2009–2010. Journal of Microbiology, Epidemiology and Immunobiology. 2011;88(3):14–20. EDN: https://elibrary.ru/rsypel
- Карпова Л.С., Бурцева Е.И., Поповцева Н.М., Столярова Т.П. Сравнение эпидемий гриппа в России 2009 и 2011 годов, вызванных пандемическим вирусом гриппа А(H1N1). Эпидемиология и вакцинопрофилактика. 2012;60(5):6–15. Karpova L.S., Burtseva E.I., Popovtseva N.M., Stolyarova T.P. Comparison of influenza epidemics in Russia 2009 and 2011, caused by pandemic influenza A(H1N1). Epidemiology and Vaccinal Prevention. 2012;60(5):6–15. EDN: https://elibrary.ru/oiiecn
Дополнительные файлы









