ИФА-платформа для количественного анализа RBD-нейтрализующих антител к SARS-CoV-2 как альтернатива мониторингу вируснейтрализующей активности
- Авторы: Костин Н.Н.1, Бобик Т.В.1, Скрябин Г.А.1, Симонова М.А.1, Кнорре В.Д.1, Абрикосова В.А.1, Мокрушина Ю.А.1, Смирнов И.В.1, Алешенко Н.Л.2, Круглова Н.А.3, Мазуров Д.В.3, Никитин А.Э.2, Габибов А.Г.1
-
Учреждения:
- Институт биоорганической химии им. академиков М.М. Шемякина и Ю.А. Овчинникова РАН
- Центральная клиническая больница РАН
- Институт биологии гена РАН
- Выпуск: Том 14, № 3 (2022)
- Страницы: 109-119
- Раздел: Экспериментальные статьи
- URL: https://journal-vniispk.ru/2075-8251/article/view/233323
- DOI: https://doi.org/10.32607/actanaturae.11776
- ID: 233323
Цитировать
Аннотация
Определение уровня вируснейтрализующей активности сывороточных иммуноглобулинов позволяет надежно оценивать защищенность человека от заражения SARS-CoV-2. В случае инфекции SARS-CoV-2 RBD-ACE2-нейтрализующая активность сывороток практически эквивалентна вируснейтрализующей активности их антител и может использоваться для оценки уровня нейтрализующих антител к SARS-CoV-2. Нами предложена ИФА-платформа для количественного анализа уровня RBD-нейтрализующих антител к SARS-CoV-2 как альтернатива мониторингу вируснейтрализующей активности псевдовирусами или «живыми» вирусами. Преимуществом разработанной платформы является возможность в кратчайшие сроки (1–2 недели) адаптировать методику к вновь появляющимся вариантам вируса и тем самым получать количественные данные по активности RBD-нейтрализующих антител к SARS-CoV-2. Разработанная платформа может быть использована для исследования популяционного иммунитета к SARS-CoV-2, мониторинга эффективности вакцинации (ревакцинации) населения и отбора потенциальных доноров иммунной плазмы. С использованием этой платформы детально изучены защитные свойства гуморального иммунного ответа у госпитализированных и амбулаторных пациентов, а также после профилактики двумя самыми популярными в РФ вакцинами против SARS-CoV-2. Наибольшая RBD-нейтрализующая активность наблюдалась в группе госпитализированных пациентов. Защитный эффект в группе вакцинированных Гам-КОВИД-Вак на 25% превышал эффект в группе амбулаторных пациентов и был почти в 4 раза выше, чем у вакцинированных КовиВак.
Ключевые слова
Полный текст
ВВЕДЕНИЕ
По состоянию на июль 2022 года коронавирус SARS-CoV-2 инфицировал более 564 млн человек, число погибших от COVID-19 во всем мире превысило 6.3 млн человек [1]. С начала пандемии разработаны десятки вакцин, одобренных ВОЗ [2, 3], и терапевтических антител [4–6]. Вакцины конструировали на основе различных платформ: белковых субъединичных, вирусных векторов, РНК, ДНК, инактивированных вирусов и ряда других. К сожалению, оценка эффективности разрабатываемых вакцин затруднялась различиями в платформах, антигенах, иммунологических анализах и показателях, используемых для оценки иммунных ответов. В конце 2020 года ВОЗ, Национальный институт биологических стандартов и контроля (NIBSC) и Коалиция за инновации в области обеспечения готовности к эпидемиям (CEPI) создали и распространили Международный стандарт человеческих анти-SARS-CoV-2 иммуноглобулинов (NIBSC code: 20/136) [7]. Стандарт представляет себой лиофилизированный пул плазмы 11 переболевших доноров, который обладает активностью нейтрализующих антител, равной 1000 международных единиц в миллилитре (IU/ml, international units), и содержит 1000 ед. связывающих антител (BAU/ml, binding antibody units). Появление этого стандарта уменьшило межлабораторную вариативность и создало общий язык для представления данных, что важно для разработки диагностики, вакцин, терапевтических антител и отбора доноров [8]. Надежным контролем защищенности индивида от заражения SARS-CoV-2 является уровень вируснейтрализующей активности сывороточных иммуноглобулинов. Для получения достоверных данных требуется достаточно много времени и проведение финансово-затратных исследований с применением живого вируса. Усилия многих исследователей в последнее время направлены на разработку количественных методик, альтернативных существующим платформам, использующим образцы живого вируса SARS-CoV-2 [9–13].
В настоящей работе мы изучали гуморальный ответ у людей, прошедших профилактику наиболее популярными в Российской Федерации вакцинами: Гам-КОВИД-Вак (rAd26/rAd5, торговое название Sputnik V) [14] и КовиВак (инактивированный вирус) [15], сравнили его с антительным ответом у легко и тяжело переболевших COVID-19 пациентов и провели корреляцию между нейтрализацией RBD и вируса. В результате проведенных исследований нами предложена платформа для количественного анализа RBD-нейтрализующих антител к SARS-CoV-2 как альтернатива мониторингу вируснейтрализующей активности.
ЭКСПЕРИМЕНТАЛЬНАЯ ЧАСТЬ
Количественное определение IgG, специфичных к RBD, и определение их изотипов методом ИФА
Для количественного определения IgG к RBD в лунки 96-луночных планшетов MaxiSorp (Nunc, Дания) вносили по 100 мкл раствора рекомбинантного RBD (аминокислотные остатки 320–537), полученного в клетках CHO, в PBS в концентрации 1 мкг/мл и инкубировали планшет в течение ночи при 2–8°C. После этого блокировали свободные сайты связывания, внося в каждую лунку планшета по 150 мкл блокирующего буфера (PBS, 0.05% Tween-20, 0.1% казеинат натрия) и инкубируя планшет в течение 1 ч при комнатной температуре. После этого готовили образцы сыворотки в блокирующем буфере в трех разведениях (1:10, 1:50, 1:250) и трех повторностях в отдельном 96-луночном планшете с низкой сорбционной способностью. В этом же планшете готовили растворы первичного стандарта ВОЗ (NIBSC code: 20/136) и вторичного стандарта (получен в лаборатории из пула сывороток переболевших индивидов и охарактеризован относительно первичного) в блокирующем буфере в семи последовательных трехкратных серийных разбавлениях. После этого исследуемые образцы сывороток и стандарты в объеме 100 мкл/лунку вносили в лунки планшета с сорбированным RBD и инкубировали в течение 30 мин в термостатируемом шейкере на скорости 700 об/мин при 37oС. После инкубации планшет промывали 5 раз, внося в каждую лунку по 350 мкл PBST (PBS, 0.05% Tween-20), и в каждую лунку вносили по 100 мкл конъюгата антител к IgG человека с пероксидазой хрена («Биосан», Новосибирск, Россия, кат. № I-3021), разбавленного 1:10000 в блокирующем буфере. После 30-минутной инкубации (37oC, 700 об/мин) и промывки в лунки планшета добавляли по 100 мкл субстратного раствора TMB и инкубировали в темноте в течение 15 мин. Ферментативную реакцию останавливали добавлением 10% раствора фосфорной кислоты и измеряли величины оптического поглощения (ОП) в лунках планшета при длине волны 450 нм (ОП450) на планшетном спектрофотометре. Строили кривые зависимости среднего значения величин ОП от концентрации RBD-специфичных IgG в стандартах (BAU/мл) с использованием программного обеспечения GraphPad Prism 8 (США). Эти кривые использовали для вычисления концентраций RBD-специфичных IgG в образцах сывороток: выбирали разведение образца, среднее значение величины ОП450 которого попадает в диапазон ОП450 кривой стандарта, и полученное значение в BAU/мл умножали на соответствующее разведение. Изотипы RBD-специфичных IgG анализировали согласно протоколу, описанному выше, но не строили калибровочные кривые и использовали следующие конъюгаты антител с пероксидазой: к человеческим IgG1 (HyTest, Финляндия, Cat. # 1G2cc), к человеческим IgG2 (HyTest, Финляндия, Cat. # 1G5), к человеческим IgG3 (HyTest, Финляндия, Cat. # 1G3cc), к человеческим IgG4 (HyTest, Финляндия, Cat. # 1G4cc). ИФА IgG к нуклеокапсидному и линейным антигенам проводили согласно [16]. Предел обнаружения в количественном и качественном анализе IgG к RBD определяли следующим образом: среднее значение ОП450 в отрицательных образцах плюс три стандартных отклонения от среднего в отрицательных образцах.
Определение нейтрализующей активности на живом вирусе
Нейтрализующую активность сывороток крови определяли в реакции нейтрализации (РН) по подавлению образования негативных колоний, формируемых вирусом SARS-CoV-2 в односуточном монослое клеток Vero C1008 под агаровым покрытием. Разведения сывороток готовили в физиологическом растворе с добавлением антибиотиков (стрептомицина сульфат и бензилпенициллина натриевая соль) по 100 ЕД/мл. Рабочее разведение вируссодержащей суспензии на основе вируса SARS-CoV-2 готовили в растворе Хенкса с 2% фетальной телячьей сывороткой (FBS) и антибиотиками. В приготовленном разведении концентрация SARS-CoV-2 составила 100–150 БОЕ/мл (40–60 бляшек во флаконе). В эксперименте использовали односуточный монослой клеток Vero С1008 во флаконах T25. Смесь равных объемов сыворотки и культуры вируса SARS-CoV-2 инкубировали в течение 1 ч при 37°C. На каждое разведение сыворотки брали не менее четырех флаконов. В каждый из флаконов вносили по 0.5 мл смеси сыворотки и культуры вируса, равномерно распределяли инокулят по всему монослою клеток. Затем флаконы укладывали горизонтально и оставляли при температуре 37°C. После адсорбции комплекса антитела–вирус на клетках в течение 1 ч инокулят декантировали, затем наносили первичное агаровое покрытие, разработанное для вируса SARS-CoV-2 (по 10.0 мл во флакон), и инкубировали монослой при температуре 37°C в течение 2 сут. Через 2 сут на инфицированный монослой наносили вторичное агаровое покрытие с 0.1% раствором нейтрального красного с целью окрашивания клеток и инкубировали в течение 24 ч при комнатной температуре в темноте, затем проводили учет негативных колоний во флаконах. За титр антител исследуемой сыворотки принимали высшее ее разведение, в котором выявляют подавление образования негативных колоний, формируемых вирусом SARS-CoV-2 на 50% и более по сравнению с отрицательным контролем (FBS, заведомо не содержащая специфичных антител к вирусу SARS-CoV-2).
Определение нейтрализующей активности в псевдовирусной системе
Тесты с pVNT проводили с использованием рекомбинантных лентивирусов, несущих S-белок SARS-CoV-2 и кодирующих люциферазу светлячка (Luc) [17]. Для получения псевдовирусных частиц клетки HEK293T растили во флаконах T75 до достижения 50–70% конфлюентности и трансфицировали смесью плазмид (15 мкг pLuc, 15 мкг pGAG, 5 мкг pRev и 2 мкг SARS-CoV-2 S на флакон) с использованием PEI (75 мкг на флакон) в качестве трансфицирующего агента. Далее клетки инкубировали при 37°C, 5% CO2 в течение 72 ч в среде DMEM с 10% FBS. Через 72 ч культуральный супернатант центрифугировали сначала при 150 g и далее при 3900 g, а затем фильтровали через фильтр с порами размером 0.20 мкм. Полученные таким образом аликвоты супернатанта хранили при –80°C. Клетки HEK293T-ACE2 засевали в 96-луночные планшеты в плотности 2 × 104 клеток/лунку и инкубировали в течение ночи. Готовили серийные разведения сывороток крови в среде DMEM с 10% FBS. Далее разбавленные образцы сывороток (5 мкл) смешивали со средой с псевдовирусами (50 мкл) в 96-луночных планшетах и инкубировали при 37°C и 5% CO2 в течение 1 ч. Затем из лунок планшетов с клетками HEK293T-ACE2 удаляли по 50 мкл среды, и клетки инфицировали смесями вирус–сыворотка (50 мкл/лунку). Инокулированные клетки HEK293T-ACE2 далее инкубировали при 37°C и 5% CO2 в течение 48 ч. Контроли тестировали в трех повторностях, исследуемые образцы тестировали однократно, 1 раз. После 48-часовой инкубации отбирали среду из лунок с клетками, в лунки добавляли по 100 мкл лизирующего буфера (25 мM Трис-фосфат, pH 7.8, 1% Triton X-100, 10% глицерин, 2 мM DTT) и инкубировали в течение 5 мин при комнатной температуре. Далее добавляли по 20 мкл реагента Bright-Glo™ Luciferase Assay Substrate (Promega, США) и измеряли величины люминесцентных сигналов в 96-луночных белых планшетах, содержащих по 80 мкл клеточных лизатов. С помощью ПО GraphPad Prism 8 строили кривые зависимости величин люминесцентных сигналов от разведений сывороток и вычисляли титры сывороток, обеспечивающие 50% нейтрализацию псевдовируса.
Количественное определение RBD-специфичных нейтрализующих антител методом конкурентного ИФА
В лунки 96-луночных планшетов MaxiSorp (Nunc, Дания) вносили по 100 мкл раствора рекомбинантного, полученного экспрессией в клетках CHO, RBD (аминокислотные остатки 320–537) в PBS в концентрации 1 мкг/мл и инкубировали планшет в течение ночи при 2–80C. После этого проводили блокировку свободных сайтов связывания, внося в каждую лунку планшета по 150 мкл блокирующего буфера (PBS, 0.05% Tween-20, 0.1% БСА) и инкубируя планшет в течение 1 ч при комнатной температуре. После этого готовили образцы сыворотки в блокирующем буфере в трех разведениях (1:10, 1:50, 1:250) и трех повторностях в отдельном 96-луночном планшете с низкой сорбционной способностью. В этом же планшете готовили растворы первичного стандарта ВОЗ и вторичного стандарта (получен в лаборатории из пула сывороток переболевших индивидов и охарактеризован относительно первичного) в блокирующем буфере в конечных концентрациях 10, 20 и 40 IU/мл. После этого исследуемые образцы сывороток и стандарты в объеме 100 мкл/лунку вносили в лунки планшета с сорбированным RBD и инкубировали в течение 30 мин в термостатируемом шейкере на скорости 700 об/мин при 37oС. После инкубации планшет промывали 5 раз, внося в каждую лунку по 350 мкл PBST (PBS, 0.05% Tween-20), в лунки планшета вносили по 100 мкл раствора рекомбинантного hACE2-3xFLAG (0.2 мкг/мл) в блокирующем буфере. После 30-минутной инкубации при 37oC на 700 об/мин и промывки в лунки планшета добавляли по 100 мкл раствора антител к FLAG, конъюгированных с пероксидазой хрена (Sigma Aldrich, США, Cat. # A8592), в разведении 1:10 000 в блокирующем буфере, планшет инкубировали в течение еще 30 мин как описано выше. После промывки планшета в лунки добавляли по 100 мкл субстратного раствора TMB и инкубировали в темноте в течение 15 мин. Ферментативную реакцию останавливали добавлением 10% раствора фосфорной кислоты, измеряли величины ОП450 в лунках планшета на планшетном спектрофотометре. Строили кривые зависимости величин ОП450 от концентрации RBD-специфичных нейтрализующих антител в стандартах IU (IU/мл) с использованием программного обеспечения GraphPad Prism 8. Эти кривые использовали для вычисления концентраций RBD-специфичных нейтрализующих антител в образцах сывороток, для чего выбирали разведение образца, попадающее в диапазон ОП450 кривой стандарта, и полученное значение в IU/мл умножали на соответствующее разведение. Предел обнаружения определяли следующим образом: среднее значение ОП450 в отрицательных образцах минус три стандартных отклонения от среднего в отрицательных образцах.
РЕЗУЛЬТАТЫ
Разработка иммуноферментной тест-системы для количественного определения SARS-CoV-2 S1 RBD-нейтрализующей активности сывороток человека
К настоящему моменту существует несколько методов количественного определения вируснейтрализующей активности сывороток: стандартный тест с «живыми» вирусами (cVNT), тест с псевдовирусами (pVNT) и конкурентные ИФА-тесты на основе иммунохимических методов (sVNT). Стандартные тесты (в случае SARS-CoV-2) должны проводиться в помещениях с классом биобезопасности не ниже второго. Тесты с псевдовирусами (PV) трудоемки, для их проведения требуется значительное время. Конкурентные ИФА-тесты удобны для проведения рутинной серодиагностики и занимают сравнительно немного времени. Однако их необходимо валидировать относительно тестов другого типа.
Нами разработана тест-система для количественного определения активности SARS-CoV-2 RBD-специфичных нейтрализующих антител в сыворотке или плазме крови [18]. Метод основан на использовании конкурентного твердофазного иммуноферментного анализа (кИФА) для измерения взаимодействия рекомбинантного рецепторсвязывающего домена (RBD) поверхностного гликопротеина S коронавируса SARS-CoV-2 с рекомбинантным рецептором ACE2 человека (ACE2) в присутствии образца. На первой стадии происходит взаимодействие SARS-CoV-2 RBD-нейтрализующих антител (при их наличии в исследуемом образце) с RBD, сорбированным на поверхности лунок разборного полистиролового планшета. На второй стадии происходит взаимодействие RBD с рекомбинантным человеческим рецептором ACE2. Если исследуемый образец не содержит RBD-нейтрализующие антитела, то происходит образование комплекса «RBD–ACE2». Если образец содержит RBD-нейтрализующие антитела, то комплекс «RBD–ACE2» образуется частично или не образуется. На третьей стадии образовавшийся комплекс «RBD–ACE2» выявляют с помощью иммуноферментного конъюгата (рис. 1).
Рис. 1. Схема количественного определения активности SARS-CoV-2 RBD-специфичных нейтрализующих антител в сыворотке или плазме крови методом кИФА. С рекомбинантным RBD, сорбированным в лунках планшета, взаимодействуют антитела из анализируемого образца сыворотки. Если в образце содержатся RBD-нейтрализующие антитела (А), то они блокируют связывание RBD с ACE2. Если образец не содержит нейтрализующие антитела (Б), то RBD, сорбированный на планшете, связывается с рекомбинантным ACE2 из раствора. Это связывание детектируется меченными пероксидазой антителами к 3×FLAG-последовательности (3×FLAG), которая содержится в рекомбинантном ACE2. Таким образом, регистрируемый колориметрический сигнал обратно пропорционален концентрации нейтрализующих антител в образце. Ab – антитела, не обладающие нейтрализующей активностью; ACE2 – рекомбинантный человеческий рецептор ACE2; HRP – антитела к эпитопу FLAG, меченные пероксидазой хрена; nAB – антитела, обладающие RBD-нейтрализующей активностью; RBD – рекомбинантный рецепторсвязывающий домен S-белка коронавируса SARS-CoV-2
Суммарное время анализа составляет 2–2.5 ч. Определение проводят относительно международного стандарта ВОЗ, предел обнаружения равен 4 IU/мл.
RBD-нейтрализующая активность сывороток, измеренная методом кИФА, высоко коррелирует с нейтрализацией вируса
Мы провели успешную валидацию разработанной тест-системы кИФА, сравнивая результаты активности анти-RBD-антител с показателями нейтрализации вируса, полученными с помощью стандартного теста с «живыми» вирусами (cVNT) и теста с псевдовирусами (pVNT). Показатели достоверности линейной аппроксимации (r2) составили 0.97 и 0.90 соответственно (рис. 2).
Рис. 2. Валидация теста RBD-нейтрализации путем сравнения с показателями нейтрализации вируса. А – график зависимости активности SARS-CoV-2 RBD-специфичных нейтрализующих антител в сыворотках крови, полученных в кИФА, от титров сывороток, обеспечивающих нейтрализацию 50% вируса (IC50), полученных с помощью теста cVNT (26 образцов). Б – график зависимости активности SARS-CoV-2 RBD-специфичных нейтрализующих антител в сыворотках крови, полученных в кИФА, от титров сывороток, обеспечивающих нейтрализацию 50% псевдовируса (IC50), полученных с помощью теста pVNT (29 образцов). r2 – показатель достоверности линейной аппроксимации. Во всех образцах сывороток, где анти-RBD-нейтрализующие антитела не обнаружены (25 образцов), нейтрализация SARS-CoV-2-инфекции во всех тестах не обнаружена
Характеристика групп образцов сывороток и анализ их протективных свойств
Мы исследовали 134 образца сывороток, полученных от четырех групп людей (табл. 1): тяжело переболевшие COVID-19 (Госпитализированные пациенты); легко переболевшие COVID-19 (Амбулаторные пациенты); не болевшие ранее COVID-19 и вакцинированные двумя дозами Гам-КОВИД-Вак (Вакцинированные Гам-КОВИД-Вак); не болевшие ранее COVID-19 и вакцинированные двумя дозами КовиВак (Вакцинированные КовиВак).
Таблица 1. Характеристика групп образцов сывороток
Группа | Кол-во | Пол, м/ж | Возраст, медиана (минимум, максимум) | Время (дни) после появления симптомов или введения второй дозы вакцины, медиана (минимум, максимум) |
Госпитализированные пациенты | 27 | 15/12 | 57 (37, 69) | 23 (19, 47) |
Амбулаторные пациенты | 41 | 21/20 | 39 (27, 61) | 25 (17, 44) |
Вакцинированные Гам-КОВИД-Вак | 43 | 20/23 | 41 (25, 62) | 21 (14, 28) |
Вакцинированные КовиВак | 23 | 11/12 | 36 (28, 58) | 20 (14, 30) |
Все образцы сывороток тестировали как с помощью разработанного нами метода кИФА, определяющего активность RBD-нейтрализации (RBD-nAb) – способность сывороток ингибировать (нейтрализовать) связывание RBD с ACE2, так и с помощью разработанного нами метода количественного ИФА, определяющего общую концентрацию SARS-CoV-2 RBD-специфичных иммуноглобулинов класса G (IgG). В последнем случае определение так же проводят относительно международного стандарта ВОЗ, предел обнаружения составляет 1 BAU/мл.
Частота встречаемости IgG-позитивных сывороток среди групп: Госпитализированные пациенты, Амбулаторные пациенты и Вакцинированные Гам-КОВИД-Вак варьировала от 85 до 93%. В группе Вакцинированные КовиВак частота составила всего 26% (рис. 3А). Среди этих IgG-серопозитивных сывороток частота встречаемости RBD-nAb-позитивных сывороток варьировала от 67 до 95% (рис. 3Б). Частота встречаемости RBD-nAb-позитивных сывороток в группе, отражающая протективные свойства сывороток, варьировала от 22 до 81% (рис. 3В).
Рис. 3. Частота встречаемости серопозитивных образцов сывороток в анализируемых группах. А – частота встречаемости анти-RBD IgG-позитивных образцов сывороток в группе. Б – частота встречаемости RBD-nAb-серопозитивных сывороток среди RBD-IgG-серопозитивных образцов. В – частота встречаемости RBD-nAb-серопозитивных образцов. Статистическую значимость различий между группами определяли с помощью точного критерия Фишера (*p < 0.05, ****p < 0.0001)
Концентрации SARS-CoV-2 RBD-специфичных IgG в серопозитивных образцах в разных группах различались незначительно (рис. 4А). С другой стороны, несмотря на практически идентичные концентрации RBD-специфичных IgG в серопозитивных образцах всех групп, активность RBD-специфичных вируснейтрализующих антител была значительно выше в группе Госпитализированные пациенты по сравнению с другими группами (рис. 4Б).
Рис. 4. Концентрация SARS-CoV-2 RBD-специфичных IgG и активность RBD-ACE2-нейтрализующих антител в серопозитивных образцах сывороток, измеренных методом ИФА. А – концентрация SARS-CoV-2 RBD-специфичных IgG в серопозитивных образцах сывороток. Б – нейтрализующая активность RBD-специфичных антител (RBD-nAb) в серопозитивных образцах сывороток. Статистическую значимость различий между группами определяли с помощью критерия Краскела–Уоллиса (*p < 0.05, **p < 0.01, ****p < 0.0001)
С целью дальнейшего прояснения природы гуморального ответа дважды серопозитивные (RBD-IgG+ и RBD-nAb+) образцы тестировали с помощью изотип-специфичных конъюгатов. Анализ изотипов IgG, кроме переключения на изотип IgG1 во всех группах, выявил также повышенную продукцию антител изотипа IgG3 в группе вакцинированных Гам-КОВИД-Вак (рис. 5).
Рис. 5. Частота встречаемости SARS-CoV-2 RBD-специфичных изотипов IgG среди серопозитивных образцов сывороток, способных нейтрализовать взаимодействия RBD–ACE2. Статистическую значимость различий между группами определяли с помощью точного критерия Фишера. ****p < 0.0001
Взаимосвязь RBD-нейтрализующей активности антител и концентрации анти-RBD IgG
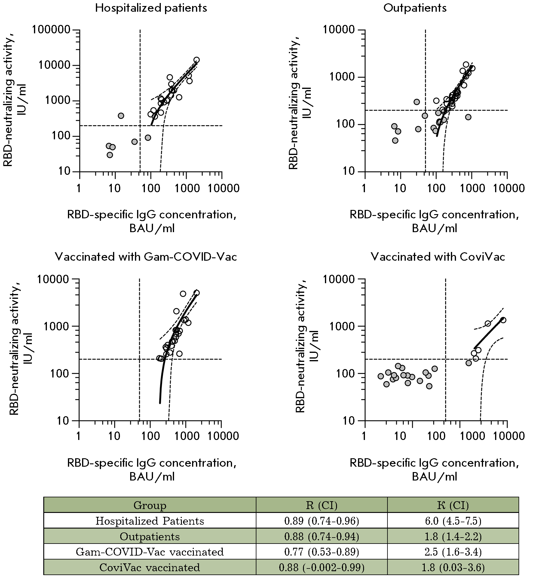
Для характеристики взаимосвязи между активностью SARS-CoV-2 RBD-специфичных nAb и концентрацией SARS-CoV-2 RBD-специфичных IgG мы провели линейный регрессионный анализ каждой группы образцов сывороток. Выявлены различия в активности RBD-nAb (нормированной по концентрации RBD-специфичных IgG) в исследуемых образцах из различных групп. Активность RBD-nAb может быть выражена через тангенс угла наклона линии регрессии (рис. 6). Активность RBD-nAb была значительно выше в образцах сывороток группы Госпитализированные пациенты по сравнению с другими группами.
Рис. 6. Линейный регрессионный анализ RBD-ACE2-нейтрализующей активности сывороточных антител и концентрации RBD-специфичных IgG. Дважды серопозитивные (RBD-IgG+ и RBD-nAb+) образцы сывороток обозначены белыми кругами, негативные образцы – серыми кругами. 95% доверительные интервалы (CI) и предел обнаружения активности и концентрации обозначены пунктирными линиями. R – коэффициент корреляции Пирсона. K – тангенс угла наклона линии регрессии
RBD-нейтрализующие свойства сывороток, полученных от представителей разных групп
Для правильной оценки RBD-нейтрализующей активности гуморального иммунитета (индекс протективности) необходимо, кроме RBD-нейтрализующей активности, также учитывать частоту формирования иммунного ответа в исследуемой группе. Поэтому индекс протективности сывороток групп рассчитывали как значение тангенса угла наклона линии регрессии (K) в группе (рис. 6), приведенного на частоту встречаемости SARS-CoV-2 RBD-специфичных nAb-позитивных образцов сывороток в группе (рис. 3В). Полученные данные приведены на рис. 7.
Рис. 7. Вируснейтрализующая активность гуморального иммунитета в разных группах. Индекс протективности группы Амбулаторные пациенты принят за 100%
ОБСУЖДЕНИЕ
Возникновение, развитие и сохранение защитного гуморального иммунитета к коронавирусу SARS-CoV-2 после заболевания и/или вакцинной профилактики очень важны и в значительной степени определяют меры, применяемые государством в борьбе с коронавирусной инфекцией. Нейтрализующие антитела имеют огромное значение для защиты организма от вируса. Механизм действия вируснейтрализующих антител разнообразен: ингибирование связывания вирионов с клеточными рецепторами, подавление проникновения вирусных геномов в цитоплазму клетки, блокирование проникновения вирусных геномов из эндосомы в цитоплазму клеток и, наконец, просто агрегация вирусных частиц. Основным типом нейтрализующих антител при коронавирусной инфекции SARS-CoV-2 являются антитела, препятствующие взаимодействию рецепторсвязывающего домена S-белка вируса с клеточным ACE2-рецептором. Проведено множество исследований, демонстрирующих корреляцию уровня защиты организма с наличием SARS-CoV-2 анти-RBD-иммуноглобулинов класса G в сыворотке крови человека [19–22].
Отдельный пул исследований посвящен адаптивной иммунотерапии COVID-19, а именно, созданию рекомбинантных терапевтических вируснейтрализующих антител к SARS-CoV-2 [23–25]. В этом случае особый интерес представляет потенциальная возможность защиты от новых вариантов вируса, и вопрос нейтрализации вируса стоит весьма остро.
В случае SARS-CoV-2 в определенной степени можно говорить о том, что RBD-ACE2-нейтрализующая активность сывороток практически эквивалентна вируснейтрализующей активности антител и может использоваться в качестве аналога для определения нейтрализующих антител к SARS-CoV-2.
Целью данной работы было детальное изучение защитных свойств гуморального иммунного ответа у госпитализированных и амбулаторных пациентов, а также после профилактики двумя самыми популярными в РФ вакцинами против SARS-CoV-2.
Для изучения гуморального иммунитета к SARS-CoV-2 нами созданы две простые, быстрые и удобные ИФА-тест-системы: для количественного измерения концентрации SARS-CoV-2 анти-RBD-IgG и для количественного определения SARS-CoV-2 S1 RBD-ACE2-нейтрализующей активности антител (RBD-nAb). Эти системы образуют платформу, которая, благодаря своей модульной структуре, может быть в кратчайшие сроки (до 1–2 недель) адаптирована к новым штаммам (заменой RBD белка) или даже к новым вирусам (заменой рецептора ACE2).
Используя эти тест-системы, мы определили (в разрезе изучаемых групп) следующие параметры сывороток крови: частоту встречаемости SARS-CoV-2 анти-RBD-IgG положительных сывороток, концентрацию IgG в сыворотках, частоту встречаемости SARS-CoV-2 RBD-nAb-положительных сывороток, нейтрализующую активность RBD-nAb в сыворотках.
Концентрация SARS-CoV-2 анти-RBD-IgG-антител была примерно одинакова среди всех серопозитивных сывороток, однако частота встречаемости IgG-положительных сывороток в группе вакцинированных препаратом КовиВак, сделанным на основе инактивированного вируса, была более чем в 3 раза ниже, чем в остальных группах. Ранее мы показали, что большинство SARS-CoV-2 анти-RBD-антител у переболевших COVID-19 пациентов были конформационно-зависимыми [16, 26]. По-видимому, препарат КовиВак обладает достаточно низкой иммуногенностью, причиной которой, возможно, является частичное разрушение структуры эпитопов S-белка в процессе инактивации вируса или при его хранении. Частота встречаемости RBD-nAb-положительных сывороток и их активность были наибольшими в группе Госпитализированные пациенты.
Нами также исследован профиль образования изотипов IgG-антител в различных группах. Антитела изотипа IgG1 обнаружены в образцах сывороток из всех групп. Следует отметить, что только в группе Вакцинированные Гам-КОВИД-Вак также обнаружены антитела изотипа IgG3. Переключение на продукцию антител изотипов IgG1 и IgG3, по-видимому, происходит под воздействием IL-21 [27]. Антитела изотипа IgG3 образуются на ранних стадиях иммунного ответа и характеризуются высокой способностью к активации комплемента и высокой аффинностью к клеточным рецепторам Fcγ. Все перечисленные свойства антител данного изотипа, в дополнение к RBD-нейтрализующей активности, приводят к активации антителозависимого фагоцитоза и опосредованной антителами цитотоксичности [28–30]. Переключение на продукцию антител изотипов IgG1 и IgG3 в группе Вакцинированные Гам-КОВИД-Вак может быть объяснено природой аденовирусного вектора, используемого в вакцине Гам-КОВИД-Вак.
Мы также рассчитали RBD-нейтрализующую активность гуморального иммунитета в исследуемых группах. Индекс протективности в группе Вакцинированные Гам-КОВИД-Вак на 25% превышал индекс в группе Амбулаторные пациенты и почти в 4 раза превышал индекс в группе Вакцинированные КовиВак. Наибольшая RBD-нейтрализующая активность наблюдалась в группе Госпитализированные пациенты (в 4 раза выше, чем в группе Амбулаторные пациенты), что говорит о наличии высокоаффинных и высокоспецифичных антител наряду с высокой частотой развития иммунного ответа. По-видимому, это объясняется долговременной вирусной нагрузкой госпитализированных пациентов, которая приводит к образованию вируснейтрализующих антител с высокой константой связывания с вирусными эпитопами [16, 31–33].
ВЫВОДЫ
- Разработана релевантная платформа для количественного анализа RBD-нейтрализующих антител к SARS-CoV-2 как альтернатива мониторингу вируснейтрализующей активности, позволяющая количественно определять концентрации SARS-CoV-2 анти-RBD IgG-антител, а также SARS-CoV-2 RBD-ACE2-нейтрализующую активность антител.
- Проведено сравнительное исследование 134 образцов сывороток от тяжело и легко переболевших COVID-19 пациентов и лиц, вакцинированных препаратами Гам-КОВИД-Вак и КовиВак.
- В группе Госпитализированные пациенты наблюдался наибольший индекс протективности.
- Защитные свойства гуморального иммунитета после вакцинации препаратом Гам-КОВИД-Вак были в 4 раза выше, чем после вакцинации препаратом КовиВак.
- Преимуществом разработанной платформы является возможность в кратчайшие сроки (1–2 недели) адаптировать методику к вновь появляющимся вариантам вируса и тем самым получить количественные данные по защищенности индивидов, прошедших вакцинацию предыдущими типами вакцин.
Работа выполнена при поддержке Министерства науки и высшего образования, проект № 075-15-2021-1049.
Об авторах
Никита Николаевич Костин
Институт биоорганической химии им. академиков М.М. Шемякина и Ю.А. Овчинникова РАН
Email: nkostin1@gmail.com
ORCID iD: 0000-0001-9447-9961
SPIN-код: 5840-5090
Scopus Author ID: 57201266735
ResearcherId: I-6532-2012
научный сотрудник, лаборатория Биокатализа
Россия, Москва, 117997Татьяна Владимировна Бобик
Институт биоорганической химии им. академиков М.М. Шемякина и Ю.А. Овчинникова РАН
Email: bobik_tanya@mail.ru
Россия, Москва, 117997
Георгий Андреевич Скрябин
Институт биоорганической химии им. академиков М.М. Шемякина и Ю.А. Овчинникова РАН
Email: skryabin.george@gmail.com
Россия, Москва, 117997
Мария Александровна Симонова
Институт биоорганической химии им. академиков М.М. Шемякина и Ю.А. Овчинникова РАН
Email: marisimonova@gmail.com
Россия, Москва, 117997
Вера Дмитриевна Кнорре
Институт биоорганической химии им. академиков М.М. Шемякина и Ю.А. Овчинникова РАН
Email: vera.knorre@gmail.com
Россия, Москва, 117997
Виктория Александровна Абрикосова
Институт биоорганической химии им. академиков М.М. Шемякина и Ю.А. Овчинникова РАН
Email: abrikosova_victoria@rambler.ru
Россия, Москва, 117997
Юлиана Анатольевна Мокрушина
Институт биоорганической химии им. академиков М.М. Шемякина и Ю.А. Овчинникова РАН
Email: yuliana256@mail.ru
Россия, Москва, 117997
Иван Витальевич Смирнов
Институт биоорганической химии им. академиков М.М. Шемякина и Ю.А. Овчинникова РАН
Email: ivansmr@inbox.ru
Россия, Москва, 117997
Наталья Леонидовна Алешенко
Центральная клиническая больница РАН
Email: nl.aleshenko@gmail.com
Россия, Москва, 117593
Наталья Андреевна Круглова
Институт биологии гена РАН
Email: natalya.a.kruglova@yandex.ru
Россия, Москва, 119334
Дмитрий Вячеславович Мазуров
Институт биологии гена РАН
Email: dvmazurov@yandex.ru
Россия, Москва, 119334
Алексей Эдуардович Никитин
Центральная клиническая больница РАН
Email: Nikitinmd@mail.ru
Россия, Москва, 117593
Александр Габибович Габибов
Институт биоорганической химии им. академиков М.М. Шемякина и Ю.А. Овчинникова РАН
Автор, ответственный за переписку.
Email: gabibov@mx.ibch.ru
Россия, Москва, 117997
Список литературы
- WHO Coronavirus (COVID-19) Dashboard https://covid19.who.int
- Calina D., Docea A.O., Petrakis D., Egorov A.M., Ishmukhametov A.A., Gabibov A.G., Shtilman M.I., Kostoff R., Carvalho F., Vinceti M., et al. // Int. J. Mol. Med. 2020. V. 46. P. 3–16.
- WHO COVID-19 vaccine tracker and landscape https://www.who.int/publications/m/item/draft-landscape-of-covid-19-candidate-vaccines
- Shang J., Ye G., Shi K., Wan Y., Luo C., Aihara H., Geng Q., Auerbach A., Li F. // Nature. 2020. V. 581. P. 221–224.
- Guo Y., Huang L., Zhang G., Yao Y., Zhou H., Shen S., Shen B., Li B., Li X., Zhang Q., et al. // Nat. Commun. 2021. V. 12. P. 2623.
- Zhou X., Wang H., Ji Q., Du M., Liang Y., Li H., Li F., Shang H., Zhu X., Wang W., et al. // Protein & Cell. 2021. V. 12. № 10. P. 818–823.
- WHO/BS.2020.2403 Establishment of the WHO International Standard and Reference Panel for anti-SARS-CoV-2 antibody https://www.who.int/publications/m/item/WHO-BS-2020.2403
- Kristiansen P.A., Page M., Bernasconi V., Mattiuzzo G., Dull P., Makar K., Plotkin S., Knezevic I. // Lancet. 2021. V. 397. P. 1347–1348.
- Cantoni D., Mayora-Neto M., Temperton N. // Oxf. Open Immunol. 2021. V. 2. № 1. iqab005.
- Ferrara F., Temperton N. // Methods Protoc. 2018. V. 1. № 1. P. 8.
- Muruato A.E., Fontes-Garfias C.R., Ren, P., Garcia-Blanco M., Menachery V., Xie X., Shi. P. // Nat. Commun. 2020. V. 11. № 1. P. 4059.
- Tan C.W., Chia W.N., Qin X., Liu P., Chen M.I., Tiu C., Hu Z., Chen V.C., Young B.E., Sia W.R., et al. // Nat. Biotechnol. 2020. V. 38. № 9. P. 1073–1078.
- Byrnes J.R., Zhou X.X., Lui I., Elledge S.K., Glasgow J.E., Lim S.A., Loudermilk R.P., Chiu C.Y., Wang T.T., Wilson M.R., et al. // mSphere. 2020. V. 5. № 5. Р. e00802–20.
- Logunov D.Y., Dolzhikova I.V., Zubkova O.V., Tukhvatulin A.I., Shcheblyakov D.V., Dzharullaeva A.S., Grousova D.M., Erokhova A.S., Kovyrshina A.V., Botikov A.G., et al. // Lancet. 2020. V. 396. P. 887–897.
- Kozlovskaya L.I., Piniaeva A.N., Ignatyev G.M., Gordeychuk I.V., Volok V.P., Rogova Y.V., Shishova A.A., Kovpak A.A., Ivin Y.Y., Antonova L.P., et al. // Emerging Microbes & Infections. 2021. V. 10. № 1. P. 1790–1806.
- Bobik T.V., Kostin N.N., Skryabin G.A., Tsabai P.N., Simonova M.A., Knorre V.D., Stratienko O.N., Aleshenko N.L., Vorobiev I.I., Khurs E.N., et al. // Acta Naturae. 2021. V. 13. P. 102–115.
- Kruglova N., Siniavin A., Gushchin V., Mazurov D. // Viruses. 2021. V. 13. P. 1133.
- Костин Н.Н., Бобик Т.В., Скрябин Г.А., Симонова М.А., Мокрушина Ю.А., Смирнов И.В., Балмасова И.П., Алешенко Н.Л., Никитин А.Э., Чехонин В.П., Габибов А.Г. Заявка на изобретение РФ № 2021140129 «Способ определения активности нейтрализующих антител к SARS-CoV-2 в сыворотке или плазме крови людей, перенесших COVID-19 или привитых вакцинами для профилактики новой коронавирусной инфекции COVID-19, с использованием набора реагентов для иммуноферментного анализа, содержащего рекомбинантный рецепторсвязывающий домен (RBD) поверхностного гликопротеина S коронавируса SARS-CoV-2 и рекомбинантный человеческий рецептор ACE2» (приоритет изобретения от 31.12.21).
- Lumley S.F., O’Donnell D., Stoesser N.E., Matthews P.C., Howarth A., Hatch S.B., Marsden B.D., Cox S., James T., Warren F., et al. // N. Engl. J. Med. 2021. V. 384(6). P. 533–540.
- Williams D.E. // Sci. Rep. 2022. V. 12. № 1. P. 9379.
- Murugesan M., Mathews P., Paul H., Karthik R., Mammen J.J., Rupali P. // PLoS One. 2022. V. 17. № 5. P. e0268797.
- Tomic A., Skelly D.T., Ogbe A., O’Connor D., Pace M., Adland E., Alexander F., Ali M., Allott K., Azim Ansari M., et al. // Nat. Commun. 2022. V. 13. № 1. P. 1251.
- Guo Y., Huang L., Zhang G., Yao Y., Zhou H., Shen S., Shen B., Li B., Li X., Zhang Q., et al. // Nat. Commun. 2021. V. 12. № 1. P. 2623.
- Zhou X., Wang H., Ji Q., Du M., Liang Y., Li H., Li F., Shang H., Zhu X., Wang W., et al. // Protein Cell. 2021. V. 12. № 10. P. 818–823.
- Chen D., Zhao Y., Li M., Shang H., Li N., Li F., Wang W., Wang Y., Jin R., Liu S., et al. // Theranostics. 2021. V. 11. № 4. P. 1901–1917.
- Bobik T.V., Kostin N.N., Skryabin G.A., Tsabai P.N., Simonova M.A., Knorre V.D., Mokrushina Y.A., Smirnov I.V., Kosolapova J.A., Vtorushina V.V., et al. // Pathogens. 2021. V. 10. P. 705.
- Avery D.T., Bryant V.L., Ma C.S., de Waal Malefyt R., Tangye S.G. // J. Immunol. 2008. V. 181. № 3. P. 1767–1779.
- Damelang T., Rogerson S.J., Kent S.J., Chung A.W. // Trends Immunol. 2019. V. 40. P. 197–211.
- Collins A.M., Jackson K.J.L. // Front. Immunol. 2013. V. 4. P. 235.
- Chu T.H., Patz E.F., Ackerman M.E. // MAbs. 2021. V. 13. P. 1882028.
- Bošnjak B., Stein S.C., Willenzon S., Cordes A.K., Puppe W., Bernhardt G., Ravens I., Ritter C., Schultze-Florey C.R., Gödecke N., et al. // Cell. Mol. Immunol. 2021. V. 18. № 4. P. 936–944.
- Chia W.N., Zhu F., Ong S.W.X., Young B.E., Fong S.-W., Le Bert N., Tan C.W., Tiu C., Zhang J., Tan S.Y., et al. // Lancet Microbe. 2021. V. 2. Р. e240–e249.
- Moriyama S., Adachi Y., Sato T., Tonouchi K., Sun L., Fukushi S., Yamada S., Kinoshita H., Nojima K., Kanno T., et al. // Immunity. 2021. V. 54. P. 1841–1852.
Дополнительные файлы








