Investigating the characteristics of injecting and spraying methanol-containing fuel in a diesel engine
- Authors: Likhanov V.A.1, Lopatin O.P.1
-
Affiliations:
- Vyatka State Agrotechnological University
- Issue: Vol 34, No 3 (2024)
- Pages: 424-443
- Section: Agricultural Engineering
- Submitted: 04.07.2024
- Accepted: 08.07.2024
- Published: 24.09.2024
- URL: https://journal-vniispk.ru/2658-4123/article/view/258724
- DOI: https://doi.org/10.15507/2658-4123.034.202403.424-443
- ID: 258724
Cite item
Full Text
Abstract
Introduction. The operation of eco friendly and high-efficiency internal combustion engines is not possible without deep and comprehensive study of using new types of fuels. That is why, forecasting the indicators of injecting and spraying in a diesel engine running on a mixed alcohol-containing fuel, which have a direct effect on the combustion and formation of toxic components and, as a result, on efficiency and eco friendliness, is an urgent scientific task.
Aim of the Study. The study is aimed at developing a theoretical basis for calculating the characteristics of injecting and spraying methanol-containing fuel into diesel engine cylinders that allows optimizing its processes.
Materials and Methods. There are considered the characteristics of injecting and spraying alcohol-containing fuel in a diesel engine modified to operate on a mixed methanol-containing fuel. There were used the well-known A.S. Lyshevsky dependencies, which fairly reliably reflect the processes of injecting and spraying in diesel engines.
Results. The in-depth studies of the basic principles for evaluating the indicators of injecting and spraying standard fuel made it possible to adapt them for fuels of mixed methanol-containing composition and to investigate the dynamics of changes in the duration and speed of injection, the Weber criterion values, the boundaries between the areas of fuel jet forming, droplet size and spraying angle.
Discussion and Conclusion. There has been developed a theoretical basis for calculating the characteristics of injecting and spraying methanol-containing fuel that makes it possible to optimize the operation of a diesel engine running on mixed fuel and, as a result, improve its efficiency and eco friendliness. The presented numerically information on the change in the boundaries of the fuel jet forming areas, the size of the droplets and the angle of the spraying cone allows us to reliably determine the basic parameters of spraying of the used mixed methanol-containing fuels, determine the vector of optimization of the mixing processes and gives insight into the promising directions in designing the geometry of combustion chambers, intake ducts, etc.
Full Text
Введение. В настоящее время – время глобального изменения климата, волатильности цен на энергоносители в первую очередь нефтяного происхождения, постоянно увеличивающегося экологического ущерба от их использования, не всегда стабильных производственных процессов и, как следствие, локального дефицита традиционных энергоносителей и истощения их запасов – мировое сообщество давно уже пришло к пониманию необходимости экономии энергоресурсов и интеграции в топливно-энергетической системе новых альтернативных источников энергии [1–3].
Поскольку в мире активно продолжается развитие автомобильной промышленности и связанных с ней инфраструктур, а с ростом числа автомобилей на душу населения растет и объем выбросов их отработавших газов (ОГ), то понятно, что для уменьшения выбросов в атмосферу токсичных веществ необходимо снижение токсичности ОГ автотранспортного комплекса [4–6]. Разумеется, что эти два основных тезиса (энергосбережение и уменьшение токсичных выбросов) заставляют ученых во всем мире искать пути решения вопросов и топливной экономичности, и снижения токсичности ОГ современных мобильных энергетических средств [7; 8]. Решение этого вопроса невозможно без улучшения качества применяемого моторного топлива, а еще лучше – применения новых альтернативных топлив, отвечающих этим требованиям [9; 10].
Анализируя исследования отечественных и зарубежных ученых, можно выделить три возможных этапа в развитии перехода на новые альтернативные виды энергоносителей [11–13]. Первый этап включает в себя применение кроме базового традиционного нефтяного топлива различных присадок, спиртов, растительных масел, смесей, природного и сжиженного газов, добавок и прочих вариантов и комбинаций топлив, что частично решает некоторые проблемы как в плане экономии энергоресурсов, так и в отношении снижения токсичности выбросов ОГ [14–16]. Считаем, что в настоящее время в мировом двигателестроении этот этап уже наступил и получает достаточно активное развитие. Предполагаем, что на втором этапе наступит развитие использования синтетических энергоносителей, получаемых не только из углеводородного сырья, но из различных отходов. Третий этап должен представлять автотранспорт, например, на водороде либо атомной энергии [17; 18]. При этом отмечаем, что использование электроэнергии в мобильных энергетических средствах при рассмотрении этих условных этапов развития применения новых энергоносителей было отнесено нами в отдельный, самостоятельный, параллельно идущий с применением топливных энергоресурсов этап, достаточно активно развивающийся и вносящий существенный вклад в совершенствование инженерных технологий и систем в двигателестроении [19–21].
После анализа этапов развития применения новых энергоносителей отметим, что на сегодняшний день ускоренный переход ко второму либо к третьему условному этапам развития мало очевиден, поскольку в мировом сообществе сложились устоявшиеся традиции, созданы огромные производства и логистические связи, а переход требует необходимости серьезных капиталовложений не только для проведения научно-исследовательских работ, но и для создания соответствующей инфраструктуры, новых производств и модернизации существующих, изменения логистических подходов и т. д. [22; 23]. Поэтому более очевидным решением по энергосбережению и снижению выбросов в окружающую среду от автотранспортного комплекса на сегодняшний день является выполнение поставленных задач в формате первого этапа. Таким приемлемым вариантом в этом формате может быть работа дизельного двигателя (ДД) на смесевых спиртосодержащих топливах, например, на метаноле (метиловом спирте – CH3OH), для производства которого в промышленных масштабах имеются достаточные сырьевые ресурсы и мощности [24–26].
Однако разработка двигателя с минимальным количеством получаемых токсичных веществ и одновременно с высокоэкономичными характеристиками не представляется возможным без связанных с ним глубоких и доскональных исследований, поэтому прогнозирование характеристик впрыскивания и распыливания смесевого метанолсодержащего топлива (МСТ) в ДД, оказывающих прямое воздействие на экономичность и экологичность двигателя внутреннего сгорания (ДВС), является актуальной научной задачей [27–29].
Цель исследования – разработать теоретическую основу для расчета характеристик впрыскивания и распыливания метанолсодержащего топлива в цилиндры дизельного двигателя, позволяющую оптимизировать его рабочий процесс.
Обзор литературы. Метанолсодержащее топливо представляет собой эмульсию обратного типа, где дисперсионной средой является углеводородное дизельное топливо, а дисперсная фаза состоит из полярных жидкостей метанола и воды (рис. 1).
Рис. 1. а) схематичное изображение; b) вид под микроскопом МСТ при 100-кратном увеличении
1 – Дизельное топливо (ДТ); 2 – Метанол и вода
Fig. 1. а) schematic image; b) microscopic view of a mixed methanol-containing fuel at 100x magnification
1 – Diesel fuel; 2 – Methanol and water
Источник: составлено по результатам исследований [27; 29].
Source: is compiled by the authors based on the results of the studies [27; 29].
При горении МСТ дисперсная фаза, состоящая из метанола и воды, испаряется и превращается в пузырьки пара, взрывающиеся внутри поверхности дисперсионной среды, состоящей из дизельного топлива (ДТ). МСТ рассеивается на маленькие капельки и эффективно перемешивается с воздухом, что обеспечивает необходимое качество смесеобразования в камере сгорания (КС) ДД [27; 29; 30]. Исследования [31–33] подтверждают, что наличие паров воды благоприятно сказывается на полном выгорании топливовоздушной смеси и, следовательно, положительно влияет на экологическую составляющую от сгорания углеводородного топлива. По мнению авторов [31–33], эмульсионное топливо перед сгоранием должно проходить предварительную подготовку, заключающуюся в переводе его дисперсной фазы из жидкого состояния в парообразное.
Поскольку МСТ, как и водотопливная эмульсия (ВТЭ), представляет собой дисперсную систему, состоящую из нескольких близких по свойствам компонентов, где основные процессы связаны с получением эмульсии, динамикой разогрева, испарением капель, горением, можно считать обе системы развивающимися по одному типу. Следовательно, можно с большой долей вероятности рассмотреть физическую интерпретацию динамики разогрева и испарения капли МСТ на примере ВТЭ.
Учитывая влияние на динамику испарения периода пульсаций таких параметров, как дисперсность и размер капель, концентрация воды в составе эмульсии, процесс испарения перед воспламенением капли ВТЭ выглядит весьма непросто [31–33]. Вместе с тем пульсирующее поведение капли ВТЭ при испарении вызывает у ученых наибольший интерес, поскольку при решении задач моделирования необходимо учитывать достаточно медленный процесс накопления в объеме капли пара, что в свою очередь требует рассмотрения задачи в квазистационарной постановке. Основной целью при выполнении вычислений является изучение изменения температурных характеристик капли, воды и пара в динамике, а характеристики периода пульсации от концентрации воды в эмульсии (рис. 2), температуры среды (рис. 3), начального размера капли (рис. 4) и размеров глобул воды (рис. 5) можно определить с помощью численного моделирования релаксационных колебаний поверхности капли ВТЭ [31].
Рис. 2. Зависимость времени периода пульсации от начальной концентрации
Fig. 2. Dependence of the pulsation period time on the initial concentration
Источник: рисунки 2–5, 7–12 составлены авторами статьи.
Source: diagrams 2–5, 7–12 are drawn by the authors of the article.
Рис. 3. Зависимость времени периода пульсации от температуры среды
Fig. 3. Dependence of the pulsation period time on the ambient temperature
Рис. 4. Зависимость времени периода пульсации от начального размера капли
Fig. 4. Dependence of the pulsation period time on the initial drop size
Рис. 5. Зависимость времени периода пульсации от размеров глобул
Fig. 5. Dependence of the pulsation period time on the size of globules
Увеличение концентрации снижает период пульсации, поскольку среднее расстояние между малыми концентрациями глобул воды уменьшается, а увеличивающиеся паровые оболочки требуют меньше времени на рост до соприкосновения.
Рост температуры увеличивает поток подводимого тепла, что уменьшает период пульсации, интенсифицирует процесс кипения, при этом увеличивается скорость роста паровых оболочек до состояния плотной упаковки.
Большие размеры капли требуют больше тепла для разогрева, следовательно, рост размера капли увеличивает период пульсации, а фиксированные температуры внешней среды требуют больше времени для нарушения сплошности капли.
При малых температурах увеличение радиуса глобул воды оказывает незначительное влияние на период пульсации, поскольку требуется больше тепла на прогрев и кипение самих глобул, а увеличение температуры вызывает небольшое увеличение периода пульсаций вследствие более быстрого достижения состояния плотной упаковки.
В результате анализа рассмотренных выше исследований динамики пульсационного режима испарения капли можно констатировать закономерности периодически повторяющегося процесса достаточно спокойного накопления пара, достижения предельно допустимого количества в объеме капли ВТЭ с последующим быстрым выбросом. Периодичность этих процессов доказывается восстановлением формы капли после ее диспергирования. Таким образом, проведенные авторами исследования [31–33] достаточно полно описывают основные принципы существования периода пульсации, ее зависимость от свойств эмульсии и подтверждают «тормозящие» свойства воды в жидком виде.
Рассмотренные разнообразные механизмы испарения капли, горящей в открытой атмосфере, сводятся к двум группам: к так называемым микровзрывам, то есть к неоднократному дроблению капли эмульсии в результате вскипания внутрифазных водных включений, достигших температуры перегрева, либо к модели испарения капли в отсутствие интенсивной внутренней циркуляции, когда скорость фракционного испарения каждого компонента определяется его массовой долей [34].
Авторы в работе [35] показали, что замедление испаряемости топлива улучшает эмульгирование за счет эффекта вторичного измельчения, вызываемого микровзрывами.
Для проверки предлагаемой физической модели микровзрыва А. Я. Исаков [32] на разработанном им специальном экспериментальном оборудовании установил три варианта вскипания капель (рис. 6).
Рис. 6 . Схемы разложения капель воды в масле
a) капля распадается на два фрагмента, каждый из которых впоследствии дробится на более мелкие, либо взрывается, переходя в парообразное состояние;
b) кипение капель с дальнейшей генерацией цепочек паровых полостей;
c) капли взрываются и превращаются в пар
Fig. 6 . The schemes of decomposing water droplets in oil
a) the drop decomposes into two fragments, each of which is subsequently decomposes into smaller ones, or explodes, turning into a vapor state;
b) boiling of droplets with further generation of chains of vapor cavities;
c) the droplets explode and turn into steam
Источник: составлено по результатам исследований [32].
Source: the diagram is based on the study results [32].
Как и предполагалось ранее [32–34], при нагревании капель воды в топливной среде определяющим критерием механизма образования конкурентной фазы является газосодержание – количество и распределение по размерам ядер конкурентной фазы (пар – вода).
Полученные теоретические и экспериментальные результаты показывают, что при рассмотрении особенностей микровзрыва капель эмульгированного топлива образование конкурентной паровой фазы при перегреве является одним из основных положительных моментов.
Представленный литературный обзор показывает обоснованность рассмотренной физической модели и доказывает возможность оптимизации ВТЭ изменением температуры перегрева капель распыленного топлива. Таким образом, ВТЭ – это эмульсии обратного типа и по определению схожие с МСТ, следовательно изложенные выше результаты исследований можно с высокой долей вероятности перенести на МСТ, дополнив определенными уточнениями.
Резюмируя, следует отметить, что с помощью рассмотренных выше исследований достаточно сложно провести оптимизацию параметров распыливания МСТ для конкретного ДД. При этом исследования А. С. Лышевского и Н. Ф. Разлейцева позволяют применять предложенные ими критериальные зависимости 1 для приближенных расчетов характеристик топливного факела в различных условиях впрыскивания, что достаточно хорошо согласуется с экспериментальными данными при исследовании впрыскивания штатного ДТ. Однако с помощью рассмотренных исследований нет возможности достаточно точно определить основные параметры распыливания МСТ, поскольку методики не учитывают изменения плотности, динамической вязкости и поверхностного натяжения МСТ при прочих равных условиях.
Материалы и методы. Рассмотрим характеристики впрыскивания и распыливания спиртосодержащего топлива для ДД 4Ч 11,0/12,5, переоборудованного для работы на МСТ [27]. В указанном ДД осуществляется объемно-пленочное смесеобразование, зависящее от скорости истечения топлива из сопловых отверстий, скорости продвижения переднего фронта факела и глубины его проникновения в КС (дальнобойности), угла конуса факела, распределения топлива в объеме факела, мелкости и однородности его распыливания [27; 29].
Развиваясь, топливный факел условно может проходить три участка (рис. 7) закономерности распада и движения струи: сплошной, начальный и основной. Сплошной участок характеризуется скоростью истечения жидкости из сопла. При работе на ДТ его длина составляет доли мм, поскольку практически сразу после выхода струи из сопла начинается ее распад. Следовательно, при работе на МСТ учет этого участка не изменит общую картину закономерностей развития факела, поэтому им можно пренебречь. Рассматривая закономерности начального и основного участков развития факела, позволим себе опереться на исследования А. С. Лышевского и Н. Ф. Разлейцева 2, в которых авторы, руководствуясь свойствами затопленной струи несжимаемой жидкости и большой концентрацией капель на начальном участке, сделали предположение об объемном развитии факела на начальном участке и струйном – на основном (рис. 7).
Рис. 7. Схема динамики топливного факела в неподвижной среде
1 – Сплошной участок; 2 – Начальный участок; 3 – Основной участок
Fig. 7. A diagram of the fuel spray dynamics in a stationary medium
1 – A solid section; 2 – The initial section; 3 – The main section
В результате турбулентного обмена импульсами между факелом и газовоздушной смесью частицы топлива, попадающие в окружающую среду, передают ей количество движения, замещаясь при этом поступающими из окружающей среды частицами, которые не имеют продольной скорости и уменьшают ее в топливном факеле.
Для учета особенностей процесса сгорания МСТ дополним основополагающие теоретические соотношения, основанные на законах химической кинетики при сгорании ДТ, соответствующими эмпирическими коэффициентами, учитывающими эти особенности. Поскольку на рассматриваемом ДД нами был проведен весь цикл экспериментальных испытаний при работе его на МСТ (состав МСТ: 25 % – метанол; 0,5 % – сукцинимид С-5А; 7 % – вода; 67,5 % – ДТ) [27], то значения этих коэффициентов получаем путем идентификации математической модели процесса сгорания МСТ по экспериментальным характеристикам тепловыделения [27; 29].
При разработке модели впрыскивания и распыливания МСТ за основу были взяты зависимости, разработанные А. С. Лышевским (уточненные Н. Ф. Разлейцевым) для быстроходных форсированных ДД. Нами была проведена оценка возможности использования критериальных зависимостей для определения дальнобойности L, угла раскрытия топливной струи β, мелкости распыливания dn применительно к МСТ.
Результаты исследования. Основываясь на данных проведенного анализа исследований внутрицилиндровых процессов ДД, используем научные результаты, полученные в камерах распыливания при больших противодавлениях 3. Модель, определяющая характеристики процессов впрыскивания и распыливания МСТ в ДД, будет включать в себя и данные этих научных изысканий [29].
Так, для определения характеристики сил инерции относительно поверхностного натяжения используем соотношение Вебера:
,
где dn – диаметр сопла, мм; ρf – плотность, кг/м3; σf – поверхностное натяжение топлива, Н/м; Uav – средняя для всего периода впрыска скорость истечения топлива из распылителя, м/с:
,
где Вc – цикловая порция топлива, кг/цикл; kn – коэффициент расхода, определяющий конструктивные особенности распылителя; Sn – суммарная площадь сопловых отверстий, м2; τf – продолжительность впрыска, с.
Для определения показателя, обусловливающего соотношение сил инерции и вязкости, а также поверхностного натяжения, используем следующее выражение:
,;
где μf – динамическая вязкость топлива, Па·с.
Формула, определяющая расстояние между начальным и основным отрезками при распространении факела:
,
где Ce – эмпирический коэффициент; ρа – плотность воздуха в КС, кг/м3.
Расстояние, пройденное «верхушкой» факела по направлению осевой линии и характеризуемое основным отрезком:
,
где Kn – характеристика особенностей конструкции и регулировок топливной аппаратуры.
Величина для определения осредненного размера частиц МСТ:
,
где zn – коэффициент, определяющий конструкцию форсунки.
Размер угла конуса при распыливании МСТ:
,
где xn – коэффициент, определяющий конструкцию форсунки импульсного впрыскивания.
Характеристики топлив, которые использовались в экспериментальных испытаниях ДД [27] и расчетных исследованиях представлены в таблице.
Таблица
Table
Характеристики топлива
Fuel Characteristics
Топливо / Fuel | Цикловая подача, qc, г/цикл / Cyclic feed, qc, g/cycle | Плотность топлива, ρf, кг/м3 / Fuel density, ρf, kg/m3 | Поверхностное натяжение, σf, Н/м / Surface tension, σf, N/m | Динамическая вязкость μf, Па·с / Dynamic viscosity μf, Pa·s |
ДТ / Diesel fuel | 0,05 | 831 | 0,0280 | 0,0038 |
МСТ / Mixed methanol-containing fuel | 0,07 | 837 | 0,0304 | 0,0029 |
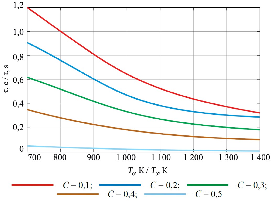
Результаты расчетных исследований характеристик впрыскивания и распыливания МСТ в ДД 4Ч 11,0/12,5 представлены на рисунках 8–12.
Рис. 8. Продолжительность впрыскивания
Fig. 8. Injection duration
Рис. 9. Критерий Вебера
Fig. 9. The Weber Criterion
Рис. 10. Границы между участками развития струи
Fig. 10. Boundaries between areas of fuel jet forming
Рис. 11. Средний диаметр капель
Fig. 11. The average diameter of the droplets
Рис. 12. Угол распыливания
Fig. 12. Spraying angle
Обсуждение и заключение. Продолжительность впрыскивания обоих видов топлива (рис. 8), характеризуемая профилем кулачка топливного насоса высокого давления, с увеличением частоты вращения классически снижается. Здесь следует пояснить, что при работе на МСТ, в отличие от ДТ, рост продолжительности впрыскивания во всем диапазоне исследования частот вращения вызван большей цикловой подачей МСТ. Увеличение же частоты вращения приводит к росту значений скорости впрыскивания, критерия Вебера (рис. 9), расстояния между участками развития струи (рис. 10) на обоих исследуемых топливах. Здесь также следует подчеркнуть, что значение динамической вязкости зависит в определяющей степени от вида применяемого топлива (отличие может быть достаточно существенным, в нашем случае 23,7 %), чего нельзя сказать о поверхностном натяжении, максимальная величина изменения которого составляет 7,9 %. Таким образом, основными факторами, оказывающими влияние на изменение характера кривых, остаются динамическая вязкость и продолжительность впрыскивания, напрямую зависящая от цикловой подачи, которую мы были вынуждены увеличивать для поддержания требуемых мощностных параметров при снятии характеристик во время стендовых испытаний ДД [27; 29].
Анализируя результаты полученных теоретических зависимостей, можно констатировать, что при переходе с ДТ на МСТ вследствие изменения динамической вязкости топлива (уменьшение составляет 23,7 % – с 0,0038 до 0,0029 Па·с) происходит рост суммарной дальнобойности факела. Это приводит к увеличению (более чем в два раза) расстояния между начальным и основным участками развития факела, при этом значительно увеличивается путь, проходимый вершиной факела на основном участке. В результате уменьшается время достижения струей МСТ стенки КС. На изменение средней величины размера капель (рис. 11) основное влияние оказывают плотность, вязкость и поверхностное натяжение применяемого топлива. Впрыскивание в КС дизельного двигателя МСТ с большим поверхностным натяжением по отношению к ДТ уменьшает угол рассеивания топливной струи и ее боковую поверхность (рис. 12). С одной стороны это приведет к меньшей доле топлива, испарившегося за период задержки воспламенения, а с другой – увеличит количество топлива, сгорающего в кинетической и диффузионной фазах, где открываются возможности для повышения эффективности горения за счет содержания кислорода в молекуле метанола, что позволяет насыщать зону пламени дополнительным кислородом, вследствие чего повышается доля паров воды и снижается концентрация продуктов сгорания, что в свою очередь не может не обладать существенным экологическим эффектом.
В результате проведенных исследований авторы пришли к следующим выводам:
- разработана теоретическая основа для расчета характеристик впрыскивания и распыливания метанолсодержащего топлива в цилиндры дизельного двигателя, позволяющая оптимизировать его рабочий процесс;
- установлено, что по результатам расчета характеристик впрыскивания и распыливания МСТ для ДД 4Ч 11,0/12,5 на номинальной частоте вращения 2 200 мин−1 при переходе с дизельного топлива на МСТ происходит увеличение продолжительности впрыскивания с 3,3 до 4,3 мс, что составляет 23,3 %; уменьшения критерия Вебера с 17,2·104 до 16,0·104, что составляет 7,0 %; рост среднего диаметра капель с 40 до 48 мкм, что составляет 16,7 %; уменьшение угла распыливания с 10,5 до 8,7º, что составляет 17,1 %;
- получено представление в числовом выражении информации об изменении границ участков развития струи, величины капель, угла конуса распыливания, что позволяет не допустить возможный отскок газовоздушной смеси используемого МСТ на «недостаточно прогретую» поверхность днища головки цилиндра, оптимизировать рабочий процесс и понять перспективу направления его проектирования;
- установлена возможность определять основные параметры распыливания применяемых смесевых спиртосодержащих топлив на этапе проектирования рабочего процесса.
1 Лышевский А. С. Распыливание топлива в судовых дизелях. Л. : Судостроение, 1971. 248 с.; Разлейцев Н. Ф. Моделирование и оптимизация процессов сгорания в дизелях : моногр. Харьков, 1980. 169 с. URL: https://reallib.org/reader?file = 477321 (дата обращения: 14.02.2024).
2 Там же.
3 Лышевский А. С. Распыливание топлива в судовых дизелях.
About the authors
Vitaly A. Likhanov
Vyatka State Agrotechnological University
Email: lihanov.va@mail.ru
ORCID iD: 0000-0003-3033-7176
ResearcherId: AGN-7347-2022
Dr.Sci. (Eng.), Professor, Head of the Department of Heat Engines Automobiles and Tractors
Russian Federation, 133 Oktyabrsky Ave., Kirov 610017Oleg P. Lopatin
Vyatka State Agrotechnological University
Author for correspondence.
Email: nirs_vsaa@mail.ru
ORCID iD: 0000-0002-0806-6878
ResearcherId: AAD-8374-2019
Dr.Sci. (Eng.), Associate Professor, Professor of the Department of Heat Engines Automobiles and Tractors
Russian Federation, 133 Oktyabrsky Ave., Kirov 610017References
- Singh G., Wani M.F., Wani M.M. Fuel Energy Saving in si Engine Using Graphene and Graphite as Nano-Additivesː a Comparative Study. Applied Nanoscience. 2022;12(5):1387–1401. https://doi.org/10.1007/s13204-021-02298-1
- Balchugov A., Babenkov A. Annual Consumption of Fuel and Energy Resources as an Indicator of the Efficiency of Energy Saving Technologies. Modern Technologies and Scientific and Technological Progress. 2022;1:7–8. https://doi.org/10.36629/2686-9896-2022-1-7-8
- Alani W.K., Zheng J., Fayad M.A., Lei L. Enhancing the Fuel Saving and Emissions Reduction of Light-Duty Vehicle by a New Design of Air Conditioning Worked by Solar Energy. Case Studies in Thermal Engineering. 2022;30:101798. https://doi.org/10.1016/j.csite.2022.101798
- Kadyrov A., Sarsembekov B., Ganyukov A., Suyunbaev S., Sinelnikov K. Ultrasonic Unit for Reducing the Toxicity of Diesel Vehicle Exhaust Gases. Komunikacie. 2022;24(3):B189–B198. https://doi.org/10.26552/com.c.2022.3.b189-b198
- Abbas M.S. Comprehensive Analysis of Engine Power, Combustion Parameters, and Emissions of a B30 Biodiesel-Powered ic Engine. CFD Letters. 2022;14(7):87–99. https://doi.org/10.37934/cfdl.14.7.8799
- Chakraborty S., Kolay A., Siddhanta S., Mitra S., Dev P., Mahanta A., et al. Biodiesel Fueled Turbocharged Direct-Injection Engine: Influence of Compression Ratio on Engine Performance and Emission Characteristics. International Journal of Energy for a Clean Environment. 2022;23(7):119–130. https://doi.org/10.1615/interjenercleanenv.2022039720
- Barman J., Deshmukh D. Effect of Fuel Reactivity on Engine Performance and Exhaust Gas Emissions in a Diesel Engine. SAE International Journal of Fuels and Lubricants. 2023;16(2):155–167. https://doi.org/10.4271/04-16-02-0012
- Kroyan Yu., Wojcieszyk M., Kaario O., Larmi M. Modelling the End-Use Performance of Alternative Fuel Properties in Flex-Fuel Vehicles. Energy Conversion and Management. 2022;269:116080. https://doi.org/10.1016/ j.enconman.2022.116080
- Moon S., Lee J., Choi H., Woo J. Impact of Energy Production Mix on Alternative Fuel Vehicle Adoption in Korea. Transportation Research Part D: Transport and Environment. 2022;105:103219. https://doi.org/10.1016/j.trd.2022.103219
- Likhanov V.A., Lopatin O.P. The use of Rapeseed Oil and Ethanol in a Diesel Engine. Engineering technologies and systems. 2022;32(3):373–389. (In Russ., abstract in Eng.) https://doi.org/10.15507/2658-4123.032.202203.373-389
- Cihat Onat N. How to Compare Sustainability Impacts of Alternative Fuel Vehicles? Transportation Research Part D: Transport and Environment. 2022;102:103129. https://doi.org/10.1016/j.trd.2021.103129
- Liu J., Wang L., Wang P., Sun P., Liu H., Meng Z., et al. An Overview of Polyoxymethylene Dimethyl Ethers as Alternative Fuel for Compression Ignition Engines. Fuel. 2022;318:123582. https://doi.org/10.1016/j.fuel.2022.123582
- John J.A., Shahinsha N.M., Singh K., Pant R. Review on Exhaust Emissions of ci Engine Using Ethanol as an Alternative Fuel. Materials Today: Proceedings. 2022;69:286–290. https://doi.org/10.1016/j.matpr.2022.08.536
- Dolcy K., Townsend T. Challenges to Alternative Fuel Vehicle Usage in Trinidad. West Indian Journal of Engineering. 2022;44(2):20–28. https://doi.org/10.47412/yjdc3406
- Bitire S.O., Jen T.Ch. The Potential of Parsley Biodiesel as an Alternative Fuel in Diesel Engines. Key Engineering Materials. 2022;917:258–265. https://doi.org/10.4028/p-3p823o
- Bae Y., Mitra S.K., Rindt C.R., Ritchie S.G. Factors Influencing Alternative Fuel Adoption Decisions in Heavy-Duty Vehicle Fleets. Transportation Research Part D: Transport and Environment. 2022;102:103150. https://doi.org/10.1016/j.trd.2021.103150
- Qazi U.Ya. Future of Hydrogen as an Alternative Fuel for Next-Generation Industrial Applications; Challenges and Expected Opportunities. Energies. 2022;15(13):4741. https://doi.org/10.3390/en15134741
- Nabi Md.N., Hussam W.K., Muyeen S.M. Improved Engine Performance and Significantly Reduced Greenhouse Gas Emissions by Fumigating Hydrogen in a Diesel Engine. Energy Reports. 2022;8:1–7. https://doi.org/10.1016/j.egyr.2022.10.241
- Maheswari K.L., Kathiresh M., Kavitha S. Introduction to Electric Vehicles and Hybrid Electric Vehicles. EAI/Springer Innovations in Communication and Computing. 2022:1–29. https://doi.org/10.1007/978-3-030-85424-9_1
- Cai Sh., Kirtley Ja.L., Lee Ch.H.T. Critical Review of Direct-Drive Electrical Machine Systems for Electric and Hybrid Electric Vehicles. IEEE Transactions on Energy Conversion. 2022;37(4):2657–2668. https://doi.org/10.1109/tec.2022.3197351
- Iqbal M.Y., Wang T., Li G., Chen D., Al-Nehari M.M. A Study of Advanced Efficient Hybrid Electric Vehicles, Electric Propulsion and Energy Source. Journal of Power and Energy Engineering. 2022;10(7):1–12. https://doi.org/10.4236/jpee.2022.107001
- Reka S.S, Venugopal P., Ravi V., Alhelou H.H., Al-Hinai A., Siano P. Analysis of Electric Vehicles with an Economic Perspective for the Future Electric Market. Future Internet. 2022;14(6):172. https://doi.org/10.3390/fi14060172
- Yujing W., Hongxiu Z., Ao Z., Leqing Z. Numerical Simulation of Methanol Crossover in Flowing Electrolyte-Direct Methanol Fuel Cell. Journal of Power Sources. 2022;519:230801. https://doi.org/10.1016/j.jpowsour.2021.230801
- Salahudeen N., Rasheed A.A., Babalola A., Moses A.U. Review on Technologies for Conversion of Natural Gas to Methanol. Journal of Natural Gas Science and Engineering. 2022;108:104845. https://doi.org/10.1016/j.jngse.2022.104845
- Shah R.M., Masdar M.S., Minggu L.J., Wong W.Y., Yunus R.M. Potential of Methanol Production from the Photoelectrochemical Reduction of CO2 on rGO-CuO/Cu Composite. Materials Today: Proceedings. 2022;57:1123–1126. https://doi.org/10.1016/j.matpr.2021.09.495
- Wang S., Xin Y., Yuan J., Wang L., Zhang W. Direct Conversion of Methane to Methanol on Boron Nitride-Supported Copper Single Atoms. Nanoscale. 2022;14:5447–5453. https://doi.org/10.1039/d1nr08466f
- Likhanov V.A., Lopatin O.P. Investigation of the Toxicity of a Diesel Engine when Running on Various Alternative Fuels. Dvigatelestroyeniye. 2023;2(292):54–61. (In Russ., abstract in Eng.) https://doi.org/10.18698/jec.2023.2.54-61
- Vural E. The use of High Molecular Iso-Amyl Alcohol as an Alternative Fuel for Compression Ignition Engines. Thermal Science. 2022;26(4A):2919–2927. https://doi.org/10.2298/tsci2204919v
- Likhanov V.A., Lopatin O.P., Romanov S.A., Paturov A.V. Combustion and Heat Emission in the Cylinder of Tractor Diesel Engine Operating on Methanol-Fuel Emulsion. Tractors and Agricultural Machinery. 2016;(11):14–19 (In Russ., abstract in Eng.) EDN: WYQMWN
- Lebedev O.N. [Some Features of the Combustion of Droplets of Water-Fuel Emulsions in Diesel Engines]. Physics of combustion and explosion. 1978;(2):142–145. (In Russ.) Available at: https://www.sibran.ru/upload/iblock/c80/c800d3515c77976fb0606f2bd008f778.pdf (accessed 14.02.2024).
- Opyatyuk V.V. The Cascade Mechanism of Micro Implosions Drops of Water-Fuel Emulsion. Combustion and plasma chemistry. 2015;13(1):11–15. (In Russ., abstract in Eng.) EDN: XGZVIE
- Isakov A.Ya., Deminov V.I. [A Physical Model of the Processes Preceding the Ignition of Droplets of a Water-Fuel Emulsion]. Physics of combustion and explosion. 1986;(6):15–20. (In Russ.) Available at: https://www.sibran.ru/upload/iblock/943/943bc506db861aa9367fcc8be7272f61.pdf (accessed 14.02.2024).
- Prostov V.N., Yakovlev A.V., Gladkikh V.A. [Ignition of Water-Fuel Emulsions]. Physics of combustion and explosion. 1986;(5):9–14. (In Russ.) Available at: https://market.sibran.ru/upload/iblock/155/155055a676c5e0454563f41250cc406a.pdf (accessed 14.02.2024).
- Anufriev I.S. Studying Combustion of Liquid Hydrocarbons While Spraying By the Superheated Water Steam Jet. Thermal Processes in Engineering. 2019;11(4):158–169. (In Russ., abstract in Eng.) EDN: WDISAO
- Law C.K., Lee C.H., Srinivasan N. Combustion Characteristics of Water-in-Oil Emulsion Droplets. Combustion and Flame. 1980;37:125–143. https://doi.org/10.1016/0010-2180(80)90080-2
Supplementary files































