Providing Invariance to Disturbing Effects in Rail Lines
- Authors: Tarasov E.M.1, Zheleznov D.V.1, Vasin N.N.2, Tarasova A.E.1
-
Affiliations:
- Samara State Transport University
- Povolzhskiy State University of Telecommunications and Informatics
- Issue: Vol 29, No 2 (2019)
- Pages: 152-168
- Section: Информационные системы
- Submitted: 10.09.2025
- Accepted: 10.09.2025
- Published: 28.06.2019
- URL: https://journal-vniispk.ru/2658-4123/article/view/308719
- DOI: https://doi.org/10.15507/2658-4123.029.201902.152-168
- ID: 308719
Cite item
Full Text
Abstract
Introduction. The time interval systems for controlling train movement operated under the influence of significant industrial disturbances, interference from the electric current of traction rolling stocks, and significant climate changes that result in fluctuations of parameters of circuit elements.
Materials and Methods. To solve the problem, various methodologies of compensation for disturbances are considered in the paper; the method of coordinate compensation for disturbances at the input of a quadripole of rail lines is adopted as the main one. The equation of the transfer function of the correcting link is determined, assuming an indirect measurement of the input resistance of the rail line, which is a function of the conductivity of the insulation.
Results. The article presents the results of the research of the invariant capabilities of the disturbance compensation principle. It is shown that disturbances compensation with a corrective link included at the input of a quadripole allows one to significantly reduce the dynamic range of the output informative signal change in each of the classes, i.e. classes have become more compact, and the quality of classification has become 5 times higher than in the absence of compensation of disturbances.
Discussion and Conclusion. The results confirm the effectiveness of the proposed method for the coordinate compensation of disturbances in rail lines with an open circuit in the absence of the possibility for organizing feedback, a variable circuit in each of the classes of states, and the impossibility of creating a physical additional channel for the transmission of the disturbance. Using the proposed method in the construction of modern classifiers will significantly improve the stability of the functioning of train control systems; eliminate errors of the first kind, leading to unproductive idle train, and errors of the second kind, leading to accidents and crashes.
Full Text
Введение
Информационной основой систем интервального регулирования движения поездов являются электрические рельсовые цепи (РЦ), входящие в состав классификаторов состояний рельсовых линий (РЛ). РЦ, являясь первичным датчиком информации о свободном, занятом и неисправном состояниях РЛ, создают информационную основу классификаторов. Поскольку РЦ функционируют в тяжелых индустриальных условиях, на них воздействуют значительные возмущения. По своему функциональному назначению классификаторы состояний при автоматизированном управлении движением поездов выполняют ответственную функцию: обеспечение безопасности движения поездов. Следовательно, к ним предъявляются высокие требования по безотказности и относительной устойчивости к внутренним и внешним воздействиям1.
В подавляющем большинстве практических случаев построение систем автоматического управления не может быть осуществлено без учета влияния внешних воздействий2.
К внешним (по отношению к внутреннему контуру системы автоматического управления) воздействиям относятся:
1) сигналы задания х(t) (задающие воздействия, сигналы опроса РЛ), определяющие желаемый характер изменения регулируемых переменных;
2) сигналы возмущения [1] ξ(t) (возмущающие воздействия, внешние возмущения), характеризующие влияние на объект управления внешней среды и, как правило, препятствующие достижению заданной цели управления. Сигналы задания и сигналы возмущения принципиально различны по их доступности прямым измерениям. На практике, как правило, внешние возмущения недоступны прямым измерениям и, кроме того, заранее известны только с точностью до определенной степени воздействия по статистическим характеристикам. Входные сигналы не только доступны прямым измерениям, но и часто генерируются специальными источниками питания.
К датчикам первичной информации о состоянии РЛ как нижнего уровня автоматического управления предъявляются высокие требования по обеспечению безошибочной классификации состояний: необходима достоверная классификация класса нормального режима при свободном и исправном состоянии РЛ, т. е. уровень напряжения на входе классификатора должен быть больше некоторого заранее определенного порога. В классе шунтового режима, при занятии поездом РЛ и исправном их состоянии, значение напряжения должно быть ниже заранее определенного порога (меньшего, чем в классе нормального режима). В классе контрольного режима, при свободных РЛ, но лопнувшем рельсе, напряжение должно быть также ниже порогового значения напряжения нормального режима.
Возмущающие воздействия оказывают большое влияние на выходной сигнал опроса РЛ [2] и приводят к пересечению классов состояний, поэтому с целью исключения влияния возмущений и повышения достоверности классификации необходимо разработать новый способ их компенсации принципами инвариантности в рельсовых линиях. Это усложняет выбор структуры устройства инвариантного контроля состояний РЛ, на которую влияют физические пределы и особенности3:
– достоверное распознавание состояний всех классов;
– необходимость раздельного распознавания трех основных классов состояний: свободного, занятого и контроля обрыва РЛ при воздействии значительных возмущений;
– невозможность создания физической обратной связи между концами РЛ участка контроля;
– индивидуальная схема замещения в каждом из режимов;
– использование РЛ как единственного канала телемеханической передачи информации от начала к концу РЛ;
– невозможность создания другого канала для компенсации возмущений.
С учетом ограничений к возмущающим воздействиям инвариантное устройство, позволяющее раздельно классифицировать классы свободного, занятого и неисправного состояний, представляет собой классификатор, реализованный на основе существующей РЦ. Она используется в качестве первичного датчика и дополнительных устройств, косвенно измеряющих воздействующие на РЛ возмущения и формирующих алгоритм функционирования.
Обзор литературы
Вопросу компенсации возмущающих внешних воздействий и обеспечению инвариантности выходного сигнала посвящено множество исследований. Основоположниками теории инвариантности в России являются Г. В. Щипанов, Н. Н. Лузин, П. И. Кузнецов, Б. Н. Петров, В. С. Кулебакин, А. Ю. Ишлинский и другие ученые.
Проблемы достижения инвариантности рассматриваются детализировано в различных предметных областях. При этом обособленно рассматриваются пути достижения инвариантности к влиянию возмущающих факторов; методы изучения характеристик многопараметрических систем с распределенными параметрами (пример РЛ) или сосредоточенными параметрами [3]; способы отстройки от различных погрешностей и неточностей, препятствующих достижению желаемой характеристики выходного сигнала [4]. Также раздельно рассматриваются методики достижения квазиинвариантности до ε, при которой достигается локальный максимум инвариантности.
Проблему обеспечения инвариантности к возмущениям произвольного характера рассмотрел Г. А. Щипанов, показавший результативность данного подхода [5]. Далее теория инвариантности развита для достижения двухканальной инвариантности как обеспечение нечувствительности и к изменениям параметров объекта, и к внешним возмущениям4. В процессе решения задачи инвариантности к внешним возмущающим воздействиям возникли новые направления, такие как инвариантные системы с самонастройкой и инвариантные системы с предельной точностью до ε [6; 7]. В основном использование принципа инвариантности предполагает дополнительное прямое или косвенное измерение наиболее сильно влияющего возмущающего воздействия, относительно которого достигается качество регулирования. Показано [8], что компенсация влияния возмущения на регулируемую величину возможна посредством введения в схему вспомогательного корректирующего сигнала на вход звена коррекции с выхода компенсирующего устройства соответствующей структуры.
Если рассматривать задачу компенсации внешних воздействий мультисинусоидального характера, то она превращается в классическую проблему современной теории управления5 [9]. Здесь основным подходом является использование концепции внутренней модели системы6 [10], которая в дальнейшем расширена для компенсации неопределенного параметрического возмущающего воздействия7 [11–13]. Однако характер изменения и тренд возмущающего воздействия – изменения проводимости изоляции РЛ – неизвестен, и это является ограничением на применение рассмотренных принципов компенсации возмущений.
Еще одним способом компенсации возмущений является применение сильной обратной связи8 [14] и управление с обратной связью. Для этого формируется структура модели с обратной связью, и по ней создается модель с переменными параметрами9. При этом параметры модели непрерывно перестраиваются в процессе поступления новых данных об изменениях объекта. По новой скорректированной модели воздействия определяются и передаются на объект управления. Несмотря на привлекательность, такие методы затруднительно применять к компенсации возмущений в РЛ с распределенными параметрами, т. к. невозможно организовать обратную связь из-за значительной протяженности участков контроля, достигающих 2,0–2,5 км.
А. А. Пыркиным, А. А. Бобцовым и С. А. Колюбиным [15] описан подход, использующий способ комбинированного управления с прямыми связями по оценке управляющего воздействия, но колебание его качества компенсации при наличии ограничений на управляющее воздействие является существенным недостатком. А. Р. Гайдук [16] для решения задачи полной компенсации внешних возмущений на ошибку выходного сигнала системы предложил использовать свойство селективной инвариантности и принцип управления по выходу и возмущениям. Другие авторы [17] предложили три различных варианта компенсации возмущающего внешнего воздействия при условии наличия запаздывания по управлению. Сначала рассмотрена линейная система компенсации возмущающего внешнего воздействия на состояния объекта управления. Далее описаны синтез системы управления для систем с нелинейностью особого вида и последняя задача для двухканальной системы со связями, перекрестными по выходу. Предложенный авторами принцип обобщается на случай несогласованности входов управления и возмущения. Однако распределенность объекта контроля и отсутствие обратной связи, а также требование известности всех параметров объекта контроля ограничивают применение оригинальных подходов при компенсации возмущений в РЛ.
Для повышения достоверности классификации состояний рельсовых линий в условиях влияния значительных возмущающих воздействий необходимо, кроме применения организационно-технических мероприятий по совершенствованию алгоритмов функционирования, синтезировать классификаторы с инвариантными свойствами, построенными по принципу многоканальности, или, что проще в реализации, с использованием концепций построения систем с координатной компенсацией возмущений. Для построения таких систем необходимо измерять сами возмущения или косвенные признаки воздействия возмущений. Перспективными направлениями повышения устойчивости работы классификаторов являются методы обработки входного и выходного сигналов с использованием принципа инвариантности, построенного на распознавании образов с методом группового учета аргументов, и обеспечение инвариантности многоканальным подходом10 [18; 19].
Однако данные принципы не нашли широкого применения при синтезе классификаторов состояний РЛ, инвариантных к возмущающим факторам в рельсовых линиях. Невозможно выполнить требования по обратной связи, по созданию дополнительных физических каналов для реализации принципа многоканальности, по исследованию характера и закона изменения внешних воздействий для программной компенсации возмущений и т. д. Поэтому привлекателен подход, предполагающий координатную компенсацию возмущений.
Материалы и методы
Вопрос об осуществлении инвариантности классификатора состояний рельсовой линии с координатной компенсацией возмущений по первой форме инвариантности, представленный П. И. Чинаевым для автоматизированных систем управления11, рассмотрим при наличии возмущающего воздействия g(t) на РЛ (рис. 1).
УСН – устройство согласования источника питания с началом РЛ; УСК – устройство согласования РЛ с нагрузкой в конце РЛ;
Wkg, Wp1,Wp2 – коэффициенты передачи компаундирующего звена и элементов устройств
согласования в начале и в конце РЛ
Fig. 1. The structural scheme of the information transmission path with the correcting link:
MDB – matching device of a power supply with the beginning of a rail line;
Wkg, Wp1,Wp2 – transfer coefficients of the compounding link and elements of matching devices
at the beginning and end of the rail line
Для обеспечения инвариантности по отношению к g(t) введем корректирующее звено Wkg, преобразующее возмущение g(t) в компенсирующий сигнал Zk.
Уравнение выходного сигнала системы u2(t) как входного информативного признака классификатора [20], выраженное оператором дифференцирования D = d/dt, в соответствии с рис. 1 имеет вид:
(1)
Уравнение (1) состоит из двух частей: одна составляющая описывает тракт передачи полезного информативного сигнала, другая – воздействие возмущения:
(2)
Составляющая воздействия возмущения g(t) на выходной сигнал u2(t) имеет вид:
, (3)
а передаточная функция информационного тракта описывается выражением:
Замена оператора дифференцирования комплексной величиной, проведенная ранее, превращает операторы Wg(D) и Wul(D) в передаточные функции входного сигнала u1 (t) и возмущения g(t) соответственно12 [21].
Для обеспечения инвариантности выходного сигнала u2(t) к возмущающему воздействию g(t) необходимо обеспечить равенство выходного сигнала выражения (2) нулю при нулевых начальных условиях:
u2(t) = 0 при x(0) = 0 и u2(t) = 0.
Это условие может выполняться при тождественном равенстве нулю передаточной функции возмущения:
(4)
Рассмотрим пути реализации (4), а для этого произведем в (3) замену оператора дифференцирования D на комплексную величину р и получим:
,
а в соответствии с (4) полученное уравнение приравняем к нулю:
. (5)
В выражении (5) передаточные функции W02 и Wp2(p) не могут быть равны нулю, т. к. они представляют собой передаточные функции рельсового четырехполюсника и физического устройства согласования в конце рельсовой линии. Другими словами, если W02(p) = 0 или Wp2(p) = 0, то передаточная функция основного сигнала превращается в нуль (Wu1(p) = 0) и, согласно уравнению (1), информативный сигнал u2(t) не отражает сигнал опроса рельсовой линии u1(t).
В таком случае W02(p) ≠ 0 и Wp2(p) ↑ 0; уравнение (5) относительно возмущения принимает вид:
(6)
В этом основополагающем уравнении звено Wkg(p) является компаундирующим элементом (рис. 1) и вводится искусственно для корректировки выходного сигнала обратно пропорционально закону затухания основного сигнала из-за воздействия проводимости изоляции.
Составляющие уравнения (6) показывают, что введение компаундирующего звена преобразует схему компенсации возмущения между точкой приложения возмущения а и координатой x (рис. 1), и это позволяет констатировать, что передаточная функция элементов равна нулю:
В данном случае схема превращается в двухканальную структуру, т. к. передаточная функция Wax(p) равняется нулю только в том случае, если она содержит минимум два слагаемых (как следует из полученного уравнения), и для осуществления инвариантности необходимо иметь два канала воздействия возмущения на основной тракт (рис. 2)13.
Fig. 2. The structural scheme of the principle of two-channels
Данный вывод согласуется с условием осуществимости инвариантности, которое гласит, что для обеспечения инвариантности системы необходимо иметь (n + 1) канал передачи возмущающих воздействий на выходной сигнал.
На рис. 2 один канал передачи возмущения воздействия g(t) посредством звена Wog(p) – физический, а второй канал необходимо создать искусственно через компаундирующее звено Wkg(p), которое мы ввели ранее в уравнение передачи возмущения.
Для реализации этого принципа мы должны иметь возможность прямого или косвенного измерения возмущающего воздействия. При этом необходимо учесть, что быстродействие компенсационного канала должно быть равно или опережать быстродействие прямого канала передачи возмущения; иначе возмущение, опережая, окажет воздействие на основной сигнал. По результатам измерения возмущения искусственный канал формирует корректирующее воздействие Z'k, которое компенсирует возмущение Zg в координате x (рис. 1).
Реализация инвариантной системы с координатной компенсацией возмущений возможна при выполнении определенных условий. Должны быть обеспечены возможность прямого или косвенного измерения возмущения, техническая возможность реализации корректирующего звена и достижимость требуемой передаточной функции корректирующего звена [22].
На рис. 3 представлена функциональная схема инвариантной системы с координатной компенсацией возмущений.
Fig. 3. The functional scheme of the invariant system
В качестве измеряемой величины возмущения можно использовать косвенный признак: входное сопротивление рельсового четырехполюсника. Функцией приращения напряжения является закон регулирования, обратно пропорциональный изменению входного сопротивления в координате х. В этом случае корректирующее звено Wkg преобразует возмущающее воздействие g(t) (входное сопротивление) в компенсационное воздействие Z'k.
Из уравнения (6) следует, что реализуемая передаточная функция Wkg(p) связана со звеньями тракта передачи информации соотношением:
(7)
Уравнение (7), помноженное на значение возмущения g(t), формирует компенсирующее воздействие Z'k:
(8)
Вид уравнения (8) зависит от закона изменения возмущающего воздействия и является адаптивным звеном [23], следящим за изменением характера возмущающего воздействия.
Авторами статьи предложен аналог технической реализации, подобный рассматриваемой схеме компенсации возмущений [24]. Компаундирующий сигнал Z'k формируется за счет измерения обратного входного сопротивления рельсового четырехполюсника, и с помощью корректирующего звена Wkg, выходная функция которого Z'k = f(g), осуществляется вольтдобавка к сигналу опроса рельсовой линии.
На рис. 4 представлена функциональная схема классификатора с корректирующим звеном, реализующая рассмотренный принцип инвариантности.
ИП – источник питания, управляемый частотой; ИВС – измеритель входного сопротивления;
ПНЧ – преобразователь напряжения в частоту; РУ – решающее устройство классификатора
состояний рельсовой линии
Fig. 4. The functional scheme of the classifier with the correcting link:
PS – power supply controlled by frequency; IRM – input resistance meter;
VFT – voltage-to-frequency transducer; SC – solver of the classifier of states of a rail line
В РЛ с распределенными параметрами измерить основной возмущающий фактор – проводимость изоляции – затруднительно, поэтому в статье реакция системы на изменение проводимости изоляции определяется посредством измерения входного сопротивления РЛ. В классе нормального режима оно зависит от проводимости изоляции; в классе шунтового режима – от проводимости изоляции РЛ и координаты нахождения полезного воздействия – сопротивления поездного шунта; в классе контрольного режима – от проводимости изоляции и величины эквивалентного сопротивления места обрыва РЛ [25]. Во всех классах состояний присутствует проводимость изоляции, поэтому с помощью измерителя входного сопротивления и преобразователя напряжения в частоту на управляющем входе источника питания формируется управляющий сигнал Z'k, зависящий от величины проводимости изоляции. Чем выше проводимость, тем больший сигнал подается на вход РЛ для компенсации снижения уровня сигнала в РЛ вследствие затухания из-за проводимости изоляции. Допускается увеличение входного напряжения до некоторого критического уровня проводимости изоляции, при превышении которого происходит снижение напряжения на входе РЛ. Так обеспечивается инвариантность к возмущающим воздействиям в РЛ в классе нормального режима.
При вступлении поезда на участок контроля входное сопротивление из-за шунтирования рельсов колесами поезда становится ниже критического значения, и напряжение на входе РЛ уменьшается, что помогает фиксировать решающим устройством класс шунтового режима.
При обрыве РЛ, наоборот, происходит увеличение входного сопротивления; как и в предыдущем случае, уменьшается напряжение на входе РЛ и гарантированно фиксируется решающим устройством класс контрольного режима.
Результаты исследования
На рис. 5 приведены графики изменения напряжения U2 = f(g) при отсутствии корректирующего звена в виде совмещенных областей существования напряжений – в классах нормального и – шунтового режимов. В качестве объекта моделирования использован классификатор, построенный по классической схеме, с частотой опроса РЛ 50 Гц и длиной РЛ 1 500 м.
maxU2OKHo – график максимального выходного напряжения в классе шунтового режима;
minU2OKHo – график минимального выходного напряжения в классе шунтового режима;
maxU2No – график максимального выходного напряжения в классе нормального режима;
minU2No – график минимального выходного напряжения в классе нормального режима
Fig. 5. The areas of existence of classes of rail lines states: Ro = 1/g;
maxU2OKHo – graph of the maximum output voltage in the class of shunt mode;
minU2OKHo – graph of the minimum output voltage in the class of shunt mode;
maxU2No – graph of the maximum output voltage in the class of normal mode;
minU2No – graph of the minimum output voltage in the class of normal mode
Из анализа пространства существования классов нормального и шунтового режимов при изменении сопротивления изоляции от 0,08 до 40 Ом/км следует, что области существования классов перекрываются, т. е. классификатор не может достоверно распознавать классы. Максимальное значение информативного признака – напряжения на входе классификатора в классе шунтового режима – составляет = 0,098 В, а минимально возможное значение напряжения в классе нормального режима составляет = 0,06 В. Как следует из графиков, напряжение на приемнике в классе нормального режима из-за воздействия возмущения уменьшается, что приводит к нарушению распознавания класса шунтового режима.
На рис. 6 представлены результаты исследований схемы U2 = f(g) с корректирующим звеном, преобразующим воздействие возмущения g(t) в компенсационный сигнал, с использованием математического программного пакета Mathcad в виде совмещенных областей существования напряжений – в классах нормального и – шунтового режимов.
компенсации возмущающих воздействий: Ro = 1/g;
maxU2OKHo – график максимального выходного напряжения в классе шунтового режима;
minU2OKHo – график минимального выходного напряжения в классе шунтового режима;
maxU2No – график максимального выходного напряжения в классе нормального режима;
minU2No – график минимального выходного напряжения в классе нормального режима
Fig. 6. The areas of existence of classes of rail lines states under coordinate compensation
of disturbing influences: Ro = 1/g;
maxU2OKHo – graph of the maximum output voltage in the class of shunt mode;
minU2OKHo – graph of the minimum output voltage in the class of shunt mode;
maxU2No – graph of the maximum output voltage in the class of normal mode;
minU2No – graph of the minimum output voltage in the class of normal mode
В качестве объекта моделирования использован классификатор, построенный согласно блок-схеме на рис. 4 с корректирующим звеном, с основной частотой опроса рельсовых линий 50 Гц и дополнительной частотой для построения компенсационного канала 475 Гц.
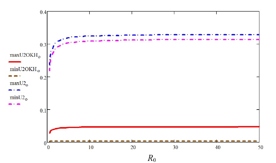
Исследование результатов показывает, что пределы изменения напряжения в классе нормального режима составляют всего 0,36≥≥ 0,20 В, при этом значение динамического диапазона выходного сигнала, представляющего собой отношение максимального значения напряжения к его минимальному значению, существенно уменьшилось и составляет Kd = 1,499. В шунтовом режиме из-за шунтирования рельсов колесными парами поезда (Rш ≤ 0,06 Ом) происходит уменьшение напряжения U2s на входе классифицирующего устройства. Из графиков (рис. 6) следует, что в классе шунтового режима сигнал на выходе РЛ значительно уменьшается, и диапазон его изменения составляет от = 0,0030 В до = 0,05 В, что подтверждает гипотезу о расстройке алгоритма функционирования.
Обсуждение и заключение
В существующих классификаторах без корректирующего звена, преобразующего воздействие возмущения g(t) в компенсирующий сигнал, коэффициент качества, представляемый как отношение минимального значения напряжения в классе нормального режима к максимальному значению напряжения в классе шунтового режима Ks, равен 0,6, т. е. классификатор не разделяет режимы (нормированное минимальное значение Ks должно быть не менее 1,2). Таким образом, воздействие возмущающего фактора – увеличения проводимости изоляции РЛ – отрицательно сказывается на функционировании систем интервального управления движением поездов.
Для уменьшения влияния возмущения на достоверность распознавания классов состояний РЛ разработан классификатор с элементами самонастройки и компенсации затухания напряжения в РЛ.
Исследование разработанного инвариантного классификатора с корректирующим звеном на входе (первая форма инвариантности) показало, что диапазон изменения выходного напряжения в классе нормального режима уменьшился в 4,54 раза, что подтверждает удачную компенсацию возмущающих воздействий.
В классе шунтового режима, при наличии поезда на участке контроля, предельные значения напряжения на выходе РЛ – входе классификатора – минимум в 10 раз меньше предельных значений в классе нормального режима. Совмещение областей существования классов нормального и шунтового режимов на одном графике наглядно доказывает инвариантные возможности классификатора: коэффициент качества Ks равен 4,585, что в 3,8 раза больше, чем необходимый минимум (Ksmin = 1,2), и в 8,5 раз лучше, чем у классического классификатора с жестким алгоритмом (рис. 5).
В результате проведенных исследований показана эффективность применения принципов координатной компенсации возмущений при создании инвариантных классификаторов состояний РЛ. В качестве основного возмущающего воздействия, подлежащего компенсации, рассмотрена изменяющаяся в широком диапазоне проводимость изоляции рельсовых линий, которая в реальных условиях изменяется в 4–5 раз больше, чем нормированные граничные значения. Результаты моделирования инвариантного классификатора состояний с применением математического пакета Mathcad и разработанным принципом достижения инвариантности показали, что при компенсации затухания сигнала на входе рельсовой линии диапазон обеспечения инвариантности увеличивается более чем в 10 раз. Если диапазон правильной классификации режимов у существующих классификаторов сохраняется при воздействии возмущения в виде изменения проводимости изоляции рельсовых линий от 0,025 до 1 См/км, то разработанный принцип инвариантности с корректирующим звеном на входе рельсовой линии позволяет расширить этот диапазон от 0,025 до 12 См/км. Это подтверждает универсальность разработанного принципа для систем, на которые воздействуют значительные возмущения.
1 Скороходов Д. А. Безопасность и риски железнодорожного транспорта // Безопасность движения поездов : тр. XII науч.-практ. конф. М. : МИИТ, 2011.
2 Бобцов А. А., Никифоров В. О., Пыркин А. А. Адаптивное управление возмущенными системами : учеб. пособ. СПб. : Университет ИТМО, 2015. 126 с. URL: https://books.ifmo.ru/file/pdf/1801.pdf
3 Железнов Д. В., Исайчева А. Г., Тарасов Е. М. Принцип инвариантности в задачах контроля сопротивления рельсовых линий // Электрификация, развитие электроэнергетической инфраструктуры и электрического подвижного состава скоростного и высокоскоростного железнодорожного транспорта : мат-лы VIII Междунар. симпозиума. СПб. : ПГУПС, 2015. С. 178–184. URL: http://catalog.viniti.ru/srch_result.aspx?IRL=FETCH+QUERY%3d2440618+OBJ%3d016m9qv6+STYLE%3dFull1&TYP=FULL1
4 Принципы инвариантности в измерительной технике / Б. Н. Петров [и др.] // М. : Наука, 1976. 243 с.
5 Ведяков А. А., Пыркин А. А., Бобцов А. А. Адаптивные системы стабилизации и слежения для объектов управления с запаздыванием : учеб. пособ. СПб. : Университет ИТМО, 2016. 129 с. URL: https://books.ifmo.ru/book/1959/adaptivnye_sistemy_stabilizacii_i_slezheniya_dlya_obektov_upravleniya_s_zapazdyvaniem._uchebnoe_posobie.htm
6 Никифоров В. О. Адаптивное и робастное управление с компенсацией возмущений. СПб. : Наука, 2003. 282 с. URL: http://www.ipme.ru/ipme/labs/ccs/abstracts/book03r.html
7 Там же.
8 Там же; Мирошник И. В., Никифоров В. О., Фрадков А. Л. Нелинейное и адаптивное управление сложными динамическими системами. СПб. : Наука, 2000. 549 с.
9 Рубан А. И. Адаптивные системы управления с идентификацией. Красноярск : CФУ, 2015. 140 с.
10 Могильний П. О., Синицкий О. П. Совершенствование алгоритма функционирования рельсовых цепей // Сборник докладов научно-технической конференции преподавателей, научных работников, аспирантов, студентов факультета авиационных и космических систем. Киев : ФАКС, НТУУ «КПИ», 2011. С. 119–120; EMC for European Railways / Lloyd’s Register Rail Report for ERA. 2010. URL: http://99.51.244.77:823/YourFreeLibrary/EMC%20EMI%20EMP/Rail%20and%20Transportation%20EMC/Reference%20Material/EU%20Railways%20Stds%20Report%2067575_ERA_EMC%202010.pdf
11 Ивахненко А. Г., Чинаев П. И., Чумаков Н. М. Самонастраивающиеся системы : справочник / Под общ. ред. П. И. Чинаева. Киев : Наукова Думка, 1969. 528 с.
12 Тарасов Е. М. Инвариантные системы контроля состояний рельсовых линий. Самара : Изд-во СамГУПС, 2002. 134 с.
13 Сазонов В. В. Принцип инвариантности в преобразовательной технике. М. : Энергоатомиздат, 1990. 168 с.
About the authors
Evgeniy M. Tarasov
Samara State Transport University
Author for correspondence.
Email: tarasov53em@yandex.ru
ORCID iD: 0000-0003-2717-7343
ResearcherId: C-2505-2018
Head of the Chair of Automatics, Telemechanics and Communication on Railway Transport, Dr.Sci. (Engr.), Professor
Russian Federation, 2V Svobody St., Samara 443066Dmitry V. Zheleznov
Samara State Transport University
Email: rektorat@samgups.ru
ORCID iD: 0000-0001-6886-0785
ResearcherId: G-7908-2019
Professor, Chair of Managing Operational Work, D.Sc. (Engineering)
Russian Federation, 2V Svobody St., Samara 443066Nicolay N. Vasin
Povolzhskiy State University of Telecommunications and Informatics
Email: vasin@psati.ru
ORCID iD: 0000-0001-9749-4884
ResearcherId: H-5999-2017
Head, Chair of Communication Systems, D.Sc. (Engineering), Professor
Russian Federation, 23 Lev Tolstoy St., Samara 443010Anna E. Tarasova
Samara State Transport University
Email: tarasova.ann@list.ru
ORCID iD: 0000-0001-6907-6036
ResearcherId: C-2497-2018
Specialist, Department of Organization of Teaching Process
Russian Federation, 2V Svobody St., Samara 443066References
- Kravtsov Yu.A., Antonov A.A., Вakin M.E. Methods of interference immunity checking of tone track circuits receivers. Mir transporta = World of Transport and Transportation. 2015; 13(6):102-109.Available at: https://mirtr.elpub.ru/jour/article/view/554
- Akhmadullin F.R., Leushin V.B., Iusupov R.R. On one method of defining the nominal operating area of rail circuits. Vestnik transporta Povolzhya = Bulletin of Transport of the Volga Region. 2017;3:64-68. Available at: https://www.samgups.ru/science/nauchnye_izdaniya/vestnik-transporta-povolzhya/arkhiv/element.php?SECTION_CODE=vestnik_transporta_povolzhya&ELEMENT_CODE=vestnik_transporta_povolzhya_-3_2017 (In Russ.)
- Tarasov E.M., Isaicheva A.G. Technique of measurement of ultralow resistance of current conductive junction of rail lines as the problem of states object identification. In: Kazanskiy N.L., Kudryashov D.V.,Popov S.B., Sergeev V.V., Skidanov R.V., Sobolev V.A. Proceedings of Information Technology and Nanotechnology (ITNT–2015). CEUR Workshop Proceedings. 2015; 1490:397-401. DOI: https://doi.org/10.18287/1613-0073-2015-1490-397-401
- Kneller V.Yu., Fayans A.M. Methods to ensure the invariance of transformation processes: revealing and systematization. Datchiki i sistemy = Sensors & Systems. 2015; 4:55-67. Available at: http://naukarus.com/metody-obespecheniya-invariantnosti-protsesov-preobrazovaniya-vyyavlenie-i-sistematizatsiya (In Russ.)
- Schipanov G.V. Theory and methods of designing automatic regulators. Avtomatika i telemekhanika =Automation and Remote Control. 1939; 1:49-66. Available at: http://www.mathnet.ru/php/archive.phtml?ws how=paper&jrnid=at&paperid=13892&option_lang=rus (In Russ.)
- Luzin N.N., Kuznetsov P.I. To absolute invariance and invariance up to ε in the theory of differential equations: Part 1. Doklady Akademii nauk SSSR = Proceedings of the USSR Academy of Sciences. 1946; 51(4):247-249. (In Russ.)
- Luzin N.N., Kuznetsov P.I. To absolute invariance and invariance up to ε in the theory of differential equations: Part 2. Doklady Akademii nauk SSSR = Proceedings of the USSR Academy of Sciences. 1946; 51(5):331-333. (In Russ.)
- Kulakov G.T., Kukhorenko A.N., Golinko I.M. Invariant automatic control system, using the intermediate-frequency signals of heat power parameters. Energetika. Izvestiya vysshikh uchebnykh zavedeniy i energeticheskikh obedineniy SNG = Energetika. Proceedings of CIS Higher Education Institutions and Power Engineering Associations. 2015; 1:62-72. Available at: https://rep.bntu.by/handle/data/14921 (In Russ.)
- Pyrkin A.A., Bobtsov A.A., Nikiforov V.O., Kolyubin S.A., Vedyakov A.A., Borisov O.I., et al.Compensation of polyharmonic disturbance of state and output of a linear plant with delay in the control channel. Automation and Remote Control. 2015; 76(12):2124-2142. DOI: https://doi.org/10.1134/S0005117915120036
- Francis B.A., Wonham W.M. The internal model principle for linear multivariable regulators.Applied Mathematics and Optimization. 1975; 2(2):170-194. DOI: https://doi.org/10.1007/BF01447855
- Marino R., Tomei P. Adaptive regulator for uncertain linear minimum phase systems with unknown undermodeled exosystems. IFAC Proceedings Volumes. 2008; 41(2):11293-11298. DOI: https://doi.org/10.3182/20080706-5-KR-1001.01913
- Marino R., Tomei P. Adaptive regulation of uncertain linear minimum phase systems with unknown exosystems. In: Proceedings of the 45th IEEE Conference on Decision and Control. IEEE; 2006.p. 1099-1104. DOI: https://doi.org/10.1109/CDC.2006.377667
- Bodson M., Douglas S.C. Adaptive algorithms for the rejection of sinusoidal disturbances with unknown frequency. Automatica. 1997; 33(12):2213-2221. DOI: https://doi.org/10.1016/S0005-1098(97)00149-0
- Bobtsov A., Pyrkin A. A new approach to MRAC problem with disturbance rejection. IFAC Proceedings Volumes. 2007; 40(13):92-97. DOI: https://doi.org/10.1016/S1474-6670(15)31998-4
- Pyrkin A.A., Bobtsov A.A., Kolyubin S.A. Output controller for nonlinear and MIMO systems with delay. 21st Mediterranean Conference on Control Automation. IEEE, 2013. p. 1063-1068. DOI:https://doi.org/10.1109/MED.2013.6608852
- Gaiduk A.R. Design of selectively invariant control systems. Vestnik IGEU. 2017; 1:46-54. DOI:https://doi.org/10.17588/2072-2672.2017.1.046-055 (In Russ.)
- Wang J., Vedyakov A.A., Vediakova A.O., Pyrkin A.A., Bobtsov A.A., Shavetov S.V. Output adaptive controller for a class of MIMO systems with input delay and multisinusoidal disturbance. IFACPapersOnLine.2015; 48(11):892-899. DOI: https://doi.org/10.1016/j.ifacol.2015.09.304
- Efanov D.V. Development aspects of functional control systems of railway automation and telemechanics devices. Transport Urala = Transport of the Urals. 2015; 1:35-40. Available at: http://www.usurt.ru/transporturala/arxiv/044_1_20_2_1.pdf (In Russ.)
- Tarasov E.M., Zheleznov D.V. Development of an intelligent system of determinating the coordinates and the speed of the train. Transport and Telecommunication. 2016; 17(2):138-143. DOI: https://doi.org/10.1515/ttj-2016-0013
- Tarasov Е.М., Gerus V.L., Tarasova А.Е. Study of informative value of features in rail condition monitoring. Vestnik Mordovskogo universiteta = Mordovia University Bulletin. 2018; 28(2):191-206.DOI: https://doi.org/10.15507/0236-2910.028.201802.191-206 (In Russ.)
- Leushin V.B., Cherezov G.A., Akhmadullin F.R. Method aimed at studying interferences in rail and inductive-rail lines. Vestnik transporta Povolzhya = Bulletin of Transport of the Volga Region. 2016;6:62-65. Available at: https://www.samgups.ru/science/nauchnye_izdaniya/vestnik-transporta-povolzhya/arkhiv/element.php?SECTION_CODE=vestnik_transporta_povolzhya&ELEMENT_CODE=vestnik_transporta_povolzhya_-6_2016_ (In Russ.)
- Rustamov G.A. Design of tracking invariant systems based on the equivalent robust control. Vostochno-Yevropeyskiy zhurnal peredovykh tekhnologiy = Eastern-European Journal of Enterprise Technologies.2015; 1(2):50-55. DOI: https://doi.org/10.15587/1729-4061.2015.37177 (In Russ.)
- Pimanov E.P., Tarasov E.M., Stratilatov V.V. Track circuit. USSR Certificate of Authorship 1111919. 1984 Sep 7. Available at: http://www.findpatent.ru/patent/111/1111919.html (In Russ.)
- Tarasov E.M., Teplyakov V.B., Gumennikov V.B., Tret’yakov G.M., Isaicheva A.G. On ensuring invariance in problems of control of rail-line conduction. Russian Electrical Engineering. 2017; 88(3):105-108.DOI: https://doi.org/10.3103/S1068371217030166
- Kaufman H., Bar-Kana I., Sobel K. Direct adaptive control algorithms: theory and applications.New-York : Springer–Verlag; 1994. DOI: https://doi.org/10.1007/978-1-4684-0217-9
Supplementary files
























