Treatment of Depression with Vortioxetine and Second Generation Antipsychotics During the Period of Remission Formation in Schizophrenia (Interim Data Analysis)
- Authors: Reznik A.M.1,2,3, Syunyakov T.S.1,4,5, Mudrak A.V.1, Zakharov N.B.1, Popova Z.B.1, Khoroshilova A.N.1, Khurbatova I.G.6, Saifulina A.M.7, Eliseenko A.M.8, Matvievskaya T.K.3, Khannanova A.N.2,3
-
Affiliations:
- Mental-health Clinic No. 1 named after N.A. Alexeev
- Russian Biotechnological University (ROSBIOTECH)
- Mental-health Clinic No. 4 named after P.B. Gannushkin
- Republican Specialized Scientific-Practical Medical Center of Narcology
- Samara State Medical University
- Main Military Clinical Hospital named after N.N. Burdenko
- Clinic of Psychiatry and Psychotherapy “Mindset”
- Mental health clinic “Empathy”
- Issue: Vol 4, No 1 (2023)
- Pages: 18-36
- Section: RESEARCH
- URL: https://journal-vniispk.ru/2712-7672/article/view/125999
- DOI: https://doi.org/10.17816/CP3728
- ID: 125999
Cite item
Abstract
BACKGROUND: Depression in patients with schizophrenia worsens the course of the disease by increasing the risk of suicide, by complicating the clinical picture of the disorder, and by reducing the quality of the social functioning; its treatment is difficult, since monotherapy, even when involving modern antipsychotics, does not always prove successful. While the prescription of additional antidepressants (ADs) can improve the likelihood of a better outcome, the effectiveness of such augmentation in many cases is yet to be proven. Therefore, it is still important that one weighs the effectiveness of various combinations between most of the known ADs and some second-generation antipsychotic (SGA) in the treatment of depression that occurs at different stages of schizophrenia. In previous studies, the use of vortioxetine as an adjunct to an antipsychotic yielded a reduction in negative symptoms, a clinically significant improvement in cognitive functions that differed from its antidepressant effect, and good tolerability, which affects how committed to treatment a patient remains.
AIM: To study the changes that occur over time in the clinical manifestations of depression, negative and cognitive impairment, as well as the social adequacy of patients receiving a combination therapy with second-generation antipsychotics and vortioxetine, which were prescribed in real clinical practice at doses approved in the Russian Federation.
METHODS: We performed a comparative analysis of the changes in depression symptoms and negative symptoms, cognitive impairment, as well as function of 78 patients with severe manifestations of depression at the stage of exacerbation reduction and subsequent remission of paranoid schizophrenia. Combination treatment with SGA and vortioxetine was used in 39 patients, and 39 patients who had similar clinical manifestations received just SGA. During the observation period, the mental disorder severity and depression symptom severity were assessed 3 times (before the start of treatment, after three months, and after six months) using the Clinical Global Impression (CGI) scale and Calgary Depression Scale for Schizophrenia (CDSS), respectively; patients were also assessed using the Negative Symptoms Assessment-5 (NSA-5) scale, Perceived Deficits Questionnaire-20 items (PDQ-20) scale, and Personal and Social Performance (PSP) scale.
RESULTS: According to the ANOVA results, by the end of the observation period, patients, regardless of their therapeutic group, showed a statistically significant decrease in the level of depression on the CDSS scale, the severity of negative symptoms on the NSA-5 scale, cognitive symptoms on the PDQ-20 scale, as well as an improvement in personality and society, judging by the increase in the total PSP scores. There were also significant differences between the compared main (SGA + vortioxetine) and control (SGA) groups in terms of the changes in the total score on the CDSS and PSP scales. An interesting aspect of the changes in the clinical scores was a noticeable improvement in the SGA + vortioxetine group after 3 months of treatment, in the absence of a similar improvement in the control group, and the achievement of approximately the same scores in both groups after 6 months. In particular, there were significant differences between the SGA + vortioxetine and SGA groups in terms of the mean CDSS (p <0.001), NSA-5 (p=0.003), PDQ-20 (p <0.001), and PSP (p=0.004) scores after 3 months. Analysis of the time before early withdrawal from the study showed that significantly more patients in the SGA + vortioxetine group completed the study program (n=27, 69.23%) compared with the SGA group (n=13, 33.33%) (χ2 =14.618, df=1, p <0.001, log-rank test. The mean survival time in the SGA group was significantly (p <0.001) less and amounted to 101.436 days (95% CI: 81.518–121.354), and in the SGA + vortioxetine group it amounted to 161.744 days (147.981–175.506). The relative risk of full study completion in the vortioxetine + SGA group compared with that in SGA was 3.618 (1.871–6.994).
CONCLUSION: The addition of vortioxetine to the SGA therapy accelerates the reduction of the depression symptoms that occur at the stage of psychosis regression and early remission, contributes to the accelerated reduction in negative symptoms, positively affects the subjective assessment of cognitive impairment severity, and has a significant positive effect on the level of psychosocial functioning.
Full Text
INTRODUCTION
Approximately 80% of patients with schizophrenia suffer from depression or a history of depression [1]. Thus, depression symptoms were recently included amongst the main symptoms to watch for and added as one of the telltale signs of schizophrenia spectrum disorders [1–5]. Affective symptoms in schizophrenia are no longer believed to be signs of a good prognostic, since patients with a high level of affective disorders appear more at the “bipolar” rather than the deficit/autistic extreme of the psychosis continuum [6]. In fact, depression is associated with worse outcomes in schizophrenia [7, 8]. It increases the likelihood of a transition from a state of ultra-high risk of psychosis to the first psychotic episode [9]. Patients with schizophrenia compounded by depression tend to be more susceptible to drug abuse, complain of poorer quality of life, mental condition, frayed family relationships, and are less likely to stick to their treatment regimen; they are significantly more likely to relapse and threaten their own safety and that of others — including through violence — be susceptible to arrest, victimization, and suicide [10]. Depression in schizophrenia is a more significant factor in determining whether a patient is contemplating suicide than even the influence of imperative hallucinations [11], with suicidal thoughts occurring in 63% of such patients [7]. Depression in the prodromal phase of psychosis appears to be the most significant predictor of future depression and cases of self-aggression [7]. The combination of even attenuated psychotic experiences and a mild depressive disorder is associated with suicidal behavior; i.e., a patient does not need to suffer from severe depression or severe psychosis to display suicidal behavior [12].
Depression not only complicates the course of schizophrenia, but it also creates additional difficulties in differential diagnosis. In particular, symptoms of depression in patients with schizophrenia are associated with cognitive impairment [13]. In practice, manifestations of depression are difficult to distinguish from negative symptoms [14, 15]. In particular, it is difficult to determine whether such symptoms as anhedonia, mental anesthesia, and emotional indifference, loss of motivation, anergy, flattened affect, social isolation, ideational retardation, and impoverishment of thinking denote depression or are negative manifestations of schizophrenia [1, 15, 16]. It is often difficult to distinguish between signs of depression and catatonia [17, 18]. It can be difficult to assess the nature of the relationship between depressive and psychotic manifestations: on the one hand, depression often occurs during an exacerbation of schizophrenia; on the other hand, severe depression is characterized by psychotic symptoms [13, 16].
Despite the fact that depression is recognized as one of the aspects of the psychopathology of schizophrenia, its treatment still presents challenges and is not always scientifically justified [1, 19]. Thus, AD has been used on a rather pragmatic basis for many decades [1] and about a third of patients with schizophrenia are treated with AD in an outpatient setting [20]. It has been over 20 years since Samuel G. Siris recommended switching to SGA monotherapy for the treatment of depression in schizophrenia [21], and it can already be argued that the expectations placed in the strategy have not been fully borne out. Despite the widespread use of SGAs, and the proven antidepressant effects of many of them [21, 22], the prevalence of depression in schizophrenia remains high and suicide rates have not changed, indicating the need for more treatment options [1]. The randomized controlled studies (RCSs) conducted so far and a meta-analysis of the effectiveness of AD in the treatment of depression in schizophrenia showed the following: the combination of AD and SGA was moderately more effective than SGA monotherapy in relation to depressive, negative, and even positive symptoms, as well as quality of life; the effect on depressive and negative symptoms was more pronounced when the criterion for prescribing AD was minimum severity of these symptoms; there were no significant differences in the risk of psychosis exacerbation, premature discontinuation of medication, and the number of participants that continued therapy between those receiving a combination therapy of AD and SGA and a control group receiving SGA monotherapy [23]. However, so far, the effectiveness of many ADs in the treatment of depression associated with schizophrenia remains unclear or unproven. Finally, despite the addition of AD to the treatment regimen, depressive symptoms persist in a large proportion of patients [19, 23].
Let’s summarize the above: depression in patients suffering from schizophrenia worsens the outcome of the disease by increasing the risk of suicide, complicating the clinical picture, and reducing the quality of the social functioning; its treatment is difficult, since monotherapy, even with modern antipsychotics, is not always successful and prescription of AD can improve the outcome, but the effectiveness of such augmentation in many cases is yet to be proven. Therefore, it is important to analyze the effectiveness of combinations of most ADs and SGA in the treatment of the depression that occurs at different stages of schizophrenia. Vortioxetine was chosen for this study, because, in previous studies, the use of vortioxetine as an adjunct to an antipsychotic showed a reduction in negative symptoms [24], a clinically significant improvement in cognitive functions that differed from its antidepressant effect [25], the ability to improve the condition of patients resistant to treatment [26], and good tolerability, which affects adherence to treatment [25]. In addition, even earlier, in numerous RCSs with the inclusion of large samples of patients and in a meta-analysis, vortioxetine, along with its antidepressant effects, showed a direct pro-cognitive effect and, according to some data, an associated beneficial effect on social functioning and quality of life during treatment of the major depressive disorder [27–40]. Its ability to clearly improve a number of cognitive parameters (quality of attention, concentration, orientation, executive functions, speed of psychomotor reactions, delayed recall) makes vortioxetine different from most ADs [33, 41–43]. The cognitive improvement is supposed to be due to both a vortioxetine-induced increase in serotonin (due to inhibition of the serotonin transporter) and direct modulation of serotonin receptors, especially the 5-HT3 block, which causes an increase in the hippocampal transmitters: glutamate, acetylcholine, and norepinephrine [32, 41].
The aim of the study was to assess the changes in the psychosocial functioning of schizophrenic patients with early remission during vortioxetine therapy, which was prescribed in addition to the main therapy with one of the SGAs: quetiapine, olanzapine, paliperidone, or risperidone.
The objectives of the monitoring program included:
– tracking the overall changes in schizophrenia exacerbation symptoms accompanied by manifestations of depression using the Clinical Global Impression Severity (CGI-S) and Clinical Global Impression Improvement (CGI-I) scales [44];
– determining the changes (reduction) in depressive disorders on the CDSS scale [45, 46];
– determining the changes in negative symptoms using the five-item NSA-5 scale [47];
– studying the changes in the subjective assessment of cognitive impairment using the PDQ-20 questionnaire [48]; and
– conducting a dynamic assessment of social functioning using the PSP scale [47, 50–52].
METHODS
Study design
Observational cohort prospective study of the changes in schizophrenia exacerbations occurring with a combination of psychotic and depressive symptoms.
Clinical study conditions
The study was conducted at state budgetary institutions in Moscow: Mental-health Clinic No. 1 named after N. A. Alexeev and Mental-health Clinic No. 4 named after P. B. Gannushkin. In the study, the sample included men and women with a confirmed diagnosis of paranoid schizophrenia who had completed the exacerbation relief therapy and displayed depressive symptoms during early remission (stabilization) and who, in the opinion of their attending physicians, had indications for treatment with a combination of one of the SGAs (quetiapine, olanzapine, risperidone, or paliperidone) and the AD vortioxetine, all prescribed at the recommended doses. The attending physician chose a treatment regimen for each patient in real clinical practice based on the interests of the patient, therapeutic indications, and safety.
The conduct of this study and data collection included a total observation period for patients with schizophrenia and comorbid depressive disorders from December 3, 2020, to September 1, 2022.
All the patients whose mental state and social functioning were monitored received full information about the study and gave written consent to participate in it. The study protocol, patient information, and informed consent form, as well as the case report form, were reviewed, and the study was approved at a meeting of the Ethics Committee of Mental-health Clinic No. 1 named after N. A. Alexeev (Minutes of meeting No. 3 dated November 19, 2020).
Study participants
Inclusion criteria for the observational study:
– written informed consent of the patient to the collection of his/her socio-demographic and medical data and answers to the questions in psychometric scales, as well as to the processing of anonymized personal socio-demographic and medical data;
– age of the patient from 18 to 60 years (inclusive);
– paranoid schizophrenia (F20) diagnosed according to the ICD-10, including (F20.00 continuous; F20.01 episodic with a progressive defect; F20.02 episodic with a stable defect; F20.03 episodic relapsing (recurrent); F20.09 observation period of less than a year);
– the patient suffered schizophrenia exacerbation, which caused a change in the organizational form of the psychiatric care (treatment in a psychiatric hospital or day hospital), completed the relief therapy stage no more than a week prior and continues treatment in a day hospital, or has just started outpatient treatment aimed at stabilizing the disease;
– during early remission (stabilization), the patient retains symptoms of depression that cannot be eliminated by SGA monotherapy, and, therefore, the physician made the decision to prescribe a combination of SGA and the AD vortioxetine;
– quite effective, according to the physician, therapy of psychotic symptoms with one of the common SGAs (quetiapine, olanzapine, risperidone or paliperidone) that should be continued in future pursuant to clinical indications; and
– prescription of vortioxetine as an adjuvant treatment for depression by the attending physician (the physician’s decision to use this drug was not determined by the program design and was made regardless of the goals of this study).
Non-inclusion criteria:
– refusal of patients to participate in the observation and examination using the psychometric scales;
– participation of patients in any other clinical or observational study of the effectiveness of medicinal products;
– contraindications to vortioxetine, which were determined by the attending physician on the basis of the clinical picture of the disease, existing concomitant diseases, and other individual risks, as well as contraindications specified in the instructions for the use of vortioxetine approved by the Ministry of Health of the Russian Federation;
– clinically significant medical diseases of the kidneys, liver, cardiovascular system, respiratory system, cerebrovascular disorders in the decompensation stage, oncological and other progressive diseases;
– a history of epilepsy or convulsive states;
– a history of severe drug allergy or hypersensitivity to vortioxetine or its ingredients; and
– dependence on a psychoactive substance (diagnosis or clinical manifestations within 6 months prior to inclusion in the study).
The patient was excluded from the program in the following cases:
– withdrawn informed consent, refusal to take medications prescribed within the program, or refusal to follow the procedures of the observational program;
– failure to take vortioxetine or an antipsychotic for 5 consecutive days;
– the need to stop one of the prescribed drugs (vortioxetine or antipsychotics) due to side effects or the risk of deterioration of the medical condition; the need to stop one of the prescribed drugs (vortioxetine or antipsychotics) due to a deterioration of the mental state;
– if, according to the physician, there was a need to change the treatment regimen, for example, changing the antipsychotic, prescribing a second antipsychotic with a pronounced selective antipsychotic effect, the apparent needed to prescribe another AD;
– any other situations where discontinuation, change of therapy or the decision to terminate observation was made by the attending physician or the patient in the interests of the latter; or
– other circumstances interfering with proper treatment and monitoring of the patient.
All patients received SGA and vortioxetine therapy based on clinical need and in accordance with the Russian Clinical Guidelines for the Treatment of Schizophrenia and Depressive Disorders. The treatment regimen for SGA and vortioxetine suggested the possibility of single or double oral administration of the drug at doses permitted by clinical guidelines and the approved instructions for the drugs. Since the observed patients had individually pronounced symptoms, course, and history of schizophrenia, concomitant therapy was allowed (mood stabilizers, tranquilizers and other drugs with a predominantly sedative effect, correctors of adverse neurological symptoms), which was prescribed by the attending physician according to indications: due to existing affective fluctuations, anxiety or the side effects of the psychopharmacotherapy. Treatment with SGA, vortioxetine, and other concomitant drugs, their prescription, discontinuation, selection, and dose modification were determined by the therapeutic indications of these drugs and the doses recommended in the instructions, clinical need, and the interests of patients, but not the goals of the study.
The patients whose mental state changes were monitored formed five observation groups:
1) Receiving combination treatment with quetiapine and vortioxetine;
2) Receiving combination treatment with olanzapine and vortioxetine;
3) Receiving combination treatment with risperidone and vortioxetine;
4) Receiving combination treatment with paliperidone and vortioxetine; and
5) Receiving monotherapy with one of the SGAs (quetiapine, olanzapine, risperidone or paliperidone) without AD.
The program is planned to include 250 patients. To date, the analysis has included 160 patients who have completed the observation program or have withdrawn from the observation for various reasons.
A qualitative determination of psychopathological manifestations and an ordinal assessment of the severity of symptoms were carried out at baseline (before the start of treatment, on Day 1, Visit 1) and then on Day 90 (Visit 2) and Day 180 (Visit 3) of outpatient treatment with an acceptable interval of ± 10 days. Thus, the maximum duration of the observation period for each patient was 180 days (25 weeks or 6 months).
Assessment tools
The main method of data collection was the clinical and descriptive method, which included the study of the medical history, clarification of patient complaints, monitoring of the changes in their mental and physical state, and clarification of the peculiarities of their social functioning. A case report form was developed for the study, which included depersonalized data on age, diagnosis, concomitant therapy, the presence or absence of adverse effects of therapy, and the predominant symptoms and their severity. The time between the beginning and end of the study was recorded, indicating the reasons for the latter. Ordinal scales were used to quantify the changes in psychotic, depressive, negative symptoms, and the quality of social functioning at all visits:
1) The CDSS scale [45, 46] consisting of 9 items, each rated on a scale of 0 to 3. The scale showed high internal and inter-rating reliability in assessing depressive states in schizophrenia. [46];
2) The CGI-S and CGI-I scales, which allow for the most general assessment of the severity of a mental disorder based on the clinical impression of the physician [44, 53, 54];
3) The NSA-5 scale consisting of 5 items, each rated on a scale of 0 to 4. The scale was developed and tested for validity and reliability in determining the severity of negative symptoms in patients with schizophrenia [47];
4) The PDQ-20 questionnaire, consisting of 20 items, each rated on a scale of 0 to 4, and the scale result being the sum of the scores of all 20 items. The questionnaire showed its effectiveness in studying the subjective experience of deficiencies in cognitive functioning by patients during remission of schizophrenia [48]; and
5) The PSP scale, developed as a result of integrating the DSM-IV Social and Occupational Functioning Assessment Scale (SOFAS) and the Global Assessment Functioning (GAF) scale. PSP is a scale with a maximum score of one hundred, which is divided into 10 equal intervals with an ordinal designation [49]. The assessment takes into account four categories of functioning: potentially rewarding activities, relationships with loved ones and other social relationships, self-care, and harassing and aggressive behavior. The scale has proven to be a reliable and fast way to measure personal and social functioning, with a number of advantages over other tools [49, 50–52, 55].
The main indicator of effectiveness in the observational program was a significant increase in the average final score on the PSP scale and an increase in its final score of at least 10.7 (17.1%), which is consistent with the calculated Minimum Detectable Change (MDC) [52]. Secondary efficacy endpoints were a decrease in the manifestations of depression expressed as a decrease of at least 1.3 points on the CDSS scale, which is consistent with the calculated Minimum Clinically Important Difference (MCID) [45], a significant decrease in the mean CGI-S score and mean PDQ-2 total score.
Statistical analysis
Given that the general group of patients taking combination therapy with SGA + vortioxetine and SGA monotherapy had significant differences in the distribution of the leading syndrome, a 1 : 1 case-control match was created according to the criteria for complete matching by sex and the leading syndrome and an age limit of 2 years. The final sample of the study consisted of patients from both groups who met the criteria for the case-control search. The primary endpoint was the treatment-induced change in the total score on depression, assessed on the CDSS scale, and secondary endpoints were the total scores on the PDQ-20, NSA-5, and PSP scales, reflecting the severity of negative disorders assessed by the clinician and the patient and overall functioning, respectively. The time to early withdrawal from the study in both groups was studied as an exploratory endpoint.
The general characteristics of the population are presented by the methods of descriptive statistics with the presentation of continuous data in the form of mean and standard deviations (SD) of medians and first and third quartiles (Q1 and Q3). Categorical data are presented as absolute and relative frequencies. Comparison of the baseline parameters of the representation of various clinical variants of schizophrenia and psychopathological syndromes in independent samples was carried out using Pearson’s χ2 test.
The primary and secondary endpoints were examined in a separate repeated measures ANOVA model with a fixed group factor assessing between-group contrasts by the changes in the respective scores between Visit 1 and Visits 2 and 3.
The last observation carried forward (LOCF) approach was used to fill in the missing values. Differences in early withdrawal times were analyzed using the Kaplan-Meier survival curve analysis comparing the differences between groups using the log-rank test, calculating the mean duration of study participation for each group, and the relative risk score for full study completion.
All analyses were performed using the GraphPad software (GraphPad Prism version 9.3.1 for Windows, GraphPad Software, San Diego, California USA, www.graphpad.com), except for the survival analysis, which was performed using the NCSS software (NCSS 2021 Statistical Software (2021)). NCSS, LLC. Kaysville, Utah, USA, ncss.com/software/ncss).
The analysis included all patients who had completed observation by September 1, 2022, including those who withdrew from the study early. The LOCF approach was used for patients who withdrew from the study early.
RESULTS
Participant characteristics
The analysis included 160 patients (Table 1) who completed the observation program or withdrew from the observation for various reasons.
Table 1. Number of study patients by drug therapy regimen
No. | Compared groups of patients receiving different therapy options | Target number of patients | Number of patients included in the analysis (who completed or withdrew from the study by November 1, 2022) | Number of patients included in the case-control analysis |
1. | Combination treatment with one of the SGAs and vortioxetine | 200 | 110 | 39 |
1.1. | Combination treatment with quetiapine and vortioxetine | 50 | 32 | 10 |
1.2. | Combination treatment with olanzapine and vortioxetine | 50 | 28 | 9 |
1.3. | Combination treatment with risperidone and vortioxetine | 50 | 17 | 12 |
1.4. | Combination treatment with paliperidone and vortioxetine | 50 | 33 | 8 |
2. | Monotherapy with one of the SGAs (quetiapine, olanzapine, risperidone or paliperidone) without AD | 60 | 50 | 39 |
Total number of patients | 250 | 160 | 78 |
Descriptive statistics for the total sample are shown in Table 2. The total sample consisted of 110 patients who received SGA + vortioxetine and 50 patients who received SGA alone.
Table 2. Descriptive data from the total sample of patients receiving combination therapy with SGA + vortioxetine and SGA monotherapy
Vortioxetine n=110 | Control n=50 | [ALL] n=160 | p-value | |
Age1 | 34.0 (26.2; 44.0) | 36.0 (31.2; 42.8) | 34.0 (27.8; 44.0) | U=2455, p=0.277 |
Gender2: | χ2 =0.357, df=1, p=0.550 | |||
Female | 56 (50.9%) | 28 (56.0%) | 84 (52.5%) | |
Male | 54 (49.1%) | 22 (44.0%) | 76 (47.5%) | |
Education2: | χ2=7.322, df=3, p=0.062 | |||
Incomplete secondary education | 7 (6.36%) | 0 (0.00%) | 7 (4.38%) | |
Secondary education | 39 (35.5%) | 11 (22.0%) | 50 (31.2%) | |
Specialized secondary education | 26 (23.6%) | 15 (30.0%) | 41 (25.6%) | |
Postgraduate | 38 (34.5%) | 24 (48.0%) | 62 (38.8%) | |
Occupation2: | χ2=4.355, df=3, p=0.226 | |||
Employed | 26 (23.6%) | 19 (38.0%) | 45 (28.1%) | |
Student | 6 (5.45%) | 3 (6.00%) | 9 (5.62%) | |
Student and employed | 2 (1.82%) | 0 (0.00%) | 2 (1.25%) | |
Unemployed | 76 (69.1%) | 28 (56.0%) | 104 (65.0%) | |
Living with2: | χ2=1.346, df=1, p=0.246 | |||
Alone | 16 (14.5%) | 4 (8.00%) | 20 (12.5%) | |
With relatives | 94 (85.5%) | 46 (92.0%) | 140 (87.5%) | |
Diagnosis2: | χ2 =17.576, df=3, p <0.001 | |||
F20.00 | 19 (17.4%) | 6 (12.0%) | 25 (15.7%) | |
F20.01 | 72 (66.1%) | 20 (40.0%) | 92 (57.9%) | |
F20.03 | 13 (11.9%) | 18 (36.0%) | 31 (19.5%) | |
F20.09 | 5 (4.59%) | 6 (12.0%) | 11 (6.92%) | |
Leading syndrome2: | χ2 =18.729, df=5, p=0.002 | |||
Affective-delusional | 17 (15.5%) | 20 (40.0%) | 37 (23.1%) | |
Apathic-abulic | 15 (13.6%) | 4 (8.00%) | 19 (11.9%) | |
Depressive | 36 (32.7%) | 6 (12.0%) | 42 (26.2%) | |
Hallucinatory-paranoid | 22 (20.0%) | 15 (30.0%) | 37 (23.1%) | |
Neurosis-like | 9 (8.18%) | 3 (6.00%) | 12 (7.50%) | |
Psychopatic-like | 11 (10.0%) | 2 (4.00%) | 13 (8.12%) | |
Disease duration1 | 7.00 [3.00; 15.0] | 8.00 [4.00; 14.0] | 8.00 [4.00;15.0] | U=2701, p=0,858 |
Number of hospitalizations1 | 3.00 [1.00; 5.00] | 2.00 [1.25; 5.00] | 2.00 [1.00;5.00] | U=2688, p=0.816 |
Disability grade2,*: | χ2=1.625, df=3, p=0.654 | |||
No disability | 42 (38.2%) | 23 (46.0%) | 65 (40.6%) | |
The first group of disability | 1 (0.91%) | 0 (0.00%) | 1 (0.62%) | |
The second group of disability | 58 (52.7%) | 22 (44.0%) | 80 (50.0%) | |
The third group of disability | 9 (8.18%) | 5 (10.0%) | 14 (8.75%) | |
Antipsychotic2: | χ2=1.321, df=3, p=0.724 | |||
Olanzapine | 32 (29.1%) | 17 (34.0%) | 49 (30.6%) | |
Paliperidone | 17 (15.5%) | 7 (14.0%) | 24 (15.0%) | |
Quetiapine | 33 (30.0%) | 17 (34.0%) | 50 (31.2%) | |
Risperidone | 28 (25.5%) | 9 (18.0%) | 37 (23.1%) |
Note: 1 Median (1st and 3rd quartile), Mann–Whitney U-test; 2 Frequency (Percentage), Pearson χ2-test. (*) — the first group is the heaviest, the third is the lightest.
All patients participating in the observational program were diagnosed with paranoid schizophrenia with various course variants (Table 2). The mean age in the entire sample and in patients of different sexes did not have significant differences. There were no differences in the level of education or employment rates. There were more cases with schizophrenia characterized by an episodic course with a progressive defect in the general sample of patients included in the general observational arm with combination therapy (SGA + vortioxetine), while the control group (SGA monotherapy), on the contrary, included more cases with recurrent schizophrenia (p <0.001). Significant differences were also found in in relation to what syndrome was detected at the time of inclusion of patients in the study: the general sample of combination therapy included more patients with a predominance of depression, while the control group included more patients with an affective-delusional syndrome (p=0.002).
Case-control matching was conducted for sex (full match), leading syndrome (full match), and age (2 years tolerance) to obtain comparable groups. As a result, in each compared cohort (the cohort receiving combination therapy with SGA with the addition of vortioxetine and the cohort receiving SGA monotherapy), 39 cases were selected with established syndromes reflected in the medical documentation: affective-delusional syndrome in 15 (38.5%) cases, hallucinatory-paranoid syndrome in 13 cases (33.3%), depressive syndrome in 6 cases (14.4%), apathetic-abulic syndrome in 3 cases (7.7%), neurosis-like syndrome in 1 cases (2.6%), and psychopathic syndrome in 1 case (2.6%) in each group. Thus, the two cohorts did not differ in terms of predominant psychopathological symptoms and dominant syndrome (p=1.0). Their detailed characteristics are presented in Table 3. Significant differences in the established diagnostic codes remained between the groups; however, all diagnoses were within the F20.0 section and differed only in the course type, but not in the leading syndrome. In all other parameters, both groups were comparable. All subsequent analyses of observed changes in depression scores in patients with schizophrenia treated with SGA + vortioxetine and SGA monotherapy were performed in equivalent case-control groups. At the interim analysis stage, due to the small number of patients who had received each specific SGA, the comparison of the effectiveness of their combinations with vortioxetine and monotherapy did not yield reliable data.
Table 3. Descriptive data from the groups of patients receiving combination therapy with SGA + vortioxetine and SGA monotherapy formed by case-control matching
Vortioxetine n=39 | Control n=39 | [ALL] n=78 | p-value | |
Age1 | 35.0 (30.5;39.0) | 36.0 (31.0; 40.0) | 35.5 (31.0; 40.0) | U=726.5, p=0.734 |
Gender2: | χ2 =0.0, df=1, p=1.0 | |||
Female | 23 (59.0%) | 23 (59.0%) | 46 (59.0%) | |
Male | 16 (41.0%) | 16 (41.0%) | 32 (41.0%) | |
Education2: | χ2 =8.70, df=3, p=0.03 | |||
Incomplete secondary education | 3 (7.69%) | 0 (0.00%) | 3 (3.85%) | |
Secondary education | 17 (43.6%) | 9 (23.1%) | 26 (33.3%) | |
Specialized secondary education | 7 (17.9%) | 15 (38.5%) | 22 (28.2%) | |
Postgraduate | 12 (30.8%) | 15 (38.5%) | 27 (34.6%) | |
Occupation2: | χ2 =3.73, df=3, p=0.29 | |||
Employed | 10 (25.6%) | 16 (41.0%) | 26 (33.3%) | |
Learning | 2 (5.13%) | 2 (5.13%) | 4 (5.13%) | |
Learning and employed | 2 (5.13%) | 0 (0.00%) | 2 (2.56%) | |
Unemployed | 25 (64.1%) | 21 (53.8%) | 46 (59.0%) | |
Living with2: | χ2 =3.14, df=1, p=0.08 | |||
Alone | 7 (17.9%) | 2 (5.13%) | 9 (11.5%) | |
With relatives | 32 (82.1%) | 37 (94.9%) | 69 (88.5%) | |
Diagnosis2: | χ2 =11.73, df=3, p=0.008 | |||
F20.00 | 4 (10.3%) | 3 (7.69%) | 7 (8.97%) | |
F20.01 | 29 (74.4%) | 16 (41.0%) | 45 (57.7%) | |
F20.03 | 5 (12.8%) | 14 (35.9%) | 19 (24.4%) | |
F20.09 | 1 (2.56%) | 6 (15.4%) | 7 (8.97%) | |
Leading syndrome2: | χ2 =0.0, df=5, p=1.0 | |||
Affective-delusional | 15 (38.5%) | 15 (38.5%) | 30 (38.5%) | |
Apathic-abulic | 3 (7.69%) | 3 (7.69%) | 6 (7.69%) | |
Depressive | 6 (15.4%) | 6 (15.4%) | 12 (15.4%) | |
Hallucinatory-paranoid | 13 (33.3%) | 13 (33.3%) | 26 (33.3%) | |
Neurosis-like | 1 (2.56%) | 1 (2.56%) | 2 (2.56%) | |
Psychopatic-like | 1 (2.56%) | 1 (2.56%) | 2 (2.56%) | |
Disease duration1 | 10.0 [4.50; 16.5] | 8.00 [4.50; 13.5] | 8.50 [4.25; 14.8] | U=690.5, p=0.484 |
Number of hospitalizations1 | 2.00 [1.00; 4.50] | 2.00 [2.00; 5.00] | 2.00 [1.00; 5.00] | U=695, p=0.503 |
Disability grade2,*: | χ2 =1.43, df=2, p=0.49 | |||
No disability | 14 (35.9%) | 19 (48.7%) | 33 (42.3%) | |
The first group of disability | 21 (53.8%) | 16 (41.0%) | 37 (47.4%) | |
The second group of disability | 4 (10.3%) | 4 (10.3%) | 8 (10.3%) | |
The third group of disability | ||||
Antipsychotic1: | χ2 =4.34, df=3, p=0.227 | |||
Olanzapine | 9 (23.1%) | 13 (33.3%) | 22 (28.2%) | |
Paliperidone | 8 (20.5%) | 7 (17.9%) | 15 (19.2%) | |
Quetiapine | 10 (25.6%) | 14 (35.9%) | 24 (30.8%) | |
Risperidone | 12 (30.8%) | 5 (12.8%) | 17 (21.8%) |
Note: 1 Median (1st and 3rd quartile), Mann–Whitney U-test; 2 Frequency (Percentage), Pearson χ2-test. (*) — the first group is the heaviest, the third is the lightest.
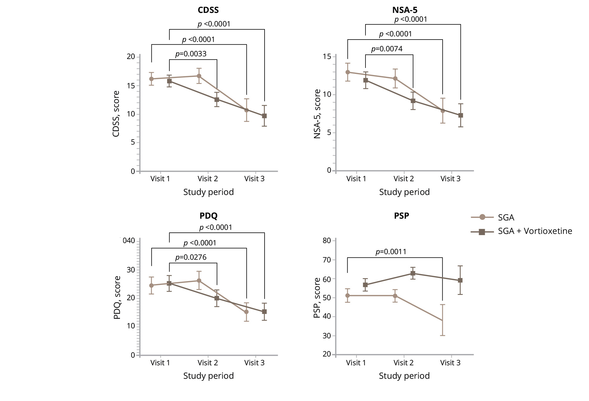
Changes in symptoms and social functioning parameters
ANOVA test results for repeated measures of the total score on the CDSS, NSA-5, and PDQ-20 scales and the final score on the PSP scale revealed a statistically significant effect of the interaction between the visit and group variables on the CDSS and PSP scales, as well as a statistically significant effect of the visit variable in relation to the total score for each of the scales (Table 4, Figure 1). Detailed statistics on the differences between the groups are presented in Table S1 (in the Supplementary). These results suggest that, regardless of the therapeutic group, patients at the end of the observation period showed a significant decrease in the level of depression assessed based on the CDSS scale, as well as the severity of negative symptoms assessed by the clinician (NSA-5 scale), and cognitive symptoms based on subjective assessment (PDQ-20 scale), as well as an improvement in personal and social functioning (increased final score on the PSP scale). The size of the η²p effect for the visit factor in all scales measuring clinical parameters turned out to be higher than that for the interaction of the visit and group factors. In other words, as a result, depressive and negative symptoms, cognitive impairment, and the level of social functioning tended to improve after six months of early remission regardless of whether the combination therapy or monotherapy was used.
Table 4. Two-way Repeated-measures ANOVA results in changes of CDSS, NSA-5, PDQ-20 and PSP total scores between SGA and SGA + vortioxetine study groups
Source of variation | Sum of Squares | df | Mean Square | f | p | η²p | |
CDSS | Visit | 1116.009 | 2 | 558.004 | 31.062 | <0.001 | 0.29 |
Visit × Group | 143.859 | 2 | 71.930 | 4.896 | 0.009 | 0.065 | |
Residual | 2730.547 | 152 | 17.964 | ||||
NSA-5 | Visit | 797.598 | 2 | 398.799 | 39.606 | <0.001 | 0.343 |
Visit × Group | 37.872 | 2 | 18.936 | 1.881 | 0.156 | 0.024 | |
Residual | 1530.53 | 152 | 10.069 | ||||
PQD-20 | Visit | 3578.88 | 2 | 1789.44 | 31.775 | <0.001 | 0.295 |
Visit × Group | 328.368 | 2 | 164.184 | 2.915 | 0.057 | 0.037 | |
Residual | 8560.085 | 152 | 56.316 | ||||
PSP | Visit | 2206.778 | 2 | 1103.389 | 5.569 | 0.005 | 0.068 |
Visit × Group | 1451.444 | 2 | 725.722 | 3.663 | 0.028 | 0.046 | |
Residual | 30115.778 | 152 | 198.13 |
There were also significant differences between the compared main (SGA + vortioxetine) and control (SGA) groups in terms of the changes in the total score on the CDSS and PSP scales, which is presented in Table 5. Thus, the mean CDSS score decreased significantly from 15.749 (95% CI: 14.733–16.765) to 12.501 (11.28–13.722) at Visit 2 and to 9.649 (7.854–11.445) at Visit 3 (all p <0.01) in the SGA + vortioxetine group, and it increased from 16.12 (15.02–17.219) to 16.645 (15.324–17.966) at Visit 2 and decreased significantly to 10.642 (8.699–12.585) at Visit 3 (p <0.001) in the SGA group. Figure 1 shows an interesting aspect of the changes in the clinical scores: a noticeable improvement in the SGA + vortioxetine group by Visit 2 in the absence of a similar improvement in the control group, and the achievement of approximately the same scores in both groups by Visit 3. In particular, the mean CDSS score at Visit 2 in the SGA + vortioxetine group was significantly lower than that in the SGA group (p <0.001, Table 5). Parameters η²p=0.235 for intergroup differences of the changes in the total CDSS score at Visit 2 indicate a large contribution of vortioxetine to the changes in depressive symptoms for this period. There were also significant differences at Visit 2 in the total NSA-5 score (p=0.003) at η²p=0.121, that is, with a moderate contribution of vortioxetine to the changes in negative symptoms, as well as differences in the total PDQ score (p=0.046) at η²p=0.212, which indicates a large contribution of vortioxetine to the changes in the subjective assessment of cognitive function.
Table 5. CDSS, NSA-5, PDQ-20 and PSP total scores across the study in SGA and SGA + vortioxetine groups
Measure | Visit | SGA | Vortioxetine + SGA | Between-group contrast in comparison with visit 1 statistics | ||||||
Mean | LCL 95% | UCL 95% | Mean | LCL 95% | UCL 95% | f | p-value | η²p | ||
CDSS | 1 | 16.12 | 15.02 | 17.219 | 15.749 | 14.733 | 16.765 | - | - | - |
2 | 16.645 | 15.324 | 17.966 | 12.501 | 11.28 | 13.722 | 21.535 | < 0.001 | 0.235 | |
3 | 10.642 | 8.699 | 12.585 | 9.649 | 7.854 | 11.445 | 0.197 | 0.659 | 0.003 | |
NSA5 | 1 | 12.984 | 11.819 | 14.15 | 11.919 | 10.842 | 12.996 | - | - | - |
2 | 12.133 | 10.904 | 13.361 | 9.209 | 8.074 | 10.344 | 9.663 | 0.003 | 0.121 | |
3 | 7.905 | 6.283 | 9.527 | 7.308 | 5.81 | 8.807 | 0.159 | 0.692 | 0.002 | |
PDQ | 1 | 24.36 | 21.399 | 27.321 | 25.105 | 22.369 | 27.841 | - | - | - |
2 | 26.139 | 23.017 | 29.261 | 19.901 | 17.016 | 22.786 | 18.839 | < 0.001 | 0.212 | |
3 | 15.065 | 11.855 | 18.276 | 15.193 | 12.226 | 18.16 | 0.057 | 0.812 | 0.001 | |
PSP | 1 | 51.252 | 47.756 | 54.749 | 56.859 | 53.628 | 60.09 | - | - | - |
2 | 51.042 | 47.773 | 54.311 | 62.929 | 59.909 | 65.95 | 8.833 | 0.004 | 0.112 | |
3 | 38.334 | 30.287 | 46.382 | 59.338 | 51.902 | 66.775 | 7.091 | 0.01 | 0.092 | |
By Visit 3, the differences in the scores for the severity of depressive, negative symptoms, and cognitive impairment smoothed out. The small effect size (η²p) of vortioxetine in the score differences at Visit 3 indicate the influence of other factors not related to the action of adjuvant AD (Table 5).
This observation shows multidirectional changes of social functioning in the compared groups, assessed based on the total PSP score. The mean PSP score in the SGA + vortioxetine group increased not significantly compared to Visit 1; from 56.859 (53.628–60.09) to 59.338 (51.902–66.775). In the SGA control group, on the contrary, the mean final PSP score at Visit 2 remained almost unchanged. But by the end of the observation period, it had decreased significantly, from 51.252 (47.756–54.749) to 38.334 (30.287–46.382) (p=0.0011). The PSP scores had significant intergroup differences at Visits 2 and 3 (p=0.004 and p=0.01, respectively), which shows the resulting significant effect of the combination therapy with SGA + vortioxetine on the level of social functioning of patients with schizophrenia with depressive symptoms that persist during early remission.
Study withdrawal analysis
Analysis of the time to early withdrawal from the study (Figure 2) showed that significantly more patients in the SGA + vortioxetine group completed the study program (n=27, 69.23%) compared with the SGA group (n=13, 33.33%) (χ2 =14.618, df=1, p <0.001, log-rank test ). The mean survival time in the SGA group was significantly less (p <0.001) and amounted to 101.436 436 days (95% CI: 81.518–121.354), and in the SGA + vortioxetine group it was 161.744 days (147.981–175.506). The relative likelihood of full study completion in the vortioxetine + SGA group compared with SGA was 3.618 (1.871–6.994).
Drug tolerability analysis
Sixty-two (62) adverse events (AEs) were reported in the SGA + vortioxetine group, and 67 AEs were reported in the SGA group. A complete list of AEs is presented in Table S2 in the Supplementary. Among the AEs reported in the SGA + vortioxetine group, 11 occurred in 5% of patients, drowsiness in 6 (15.4%), tremor in 5 (12.8%), akathisia in 5 (12.8%), impaired attention in 5 (12.8%), weight gain in 5 (12.8%), nausea in 5 (12.8%), dizziness in 4 (10.3%), anxiety in 4 (10.3%), weakness in 3 (7.8%), irritability in 3 (7.8%), and pruritus in 3 (7.8%). The remaining AEs were reported in isolated cases. These 11 AEs were also reported in more than 5% of the SGA group: worsening depression in 10 patients (25.6%), drowsiness in 6 (15.4%), tremor in 6 (15.4%), weight gain in 6 (15.4%), anxiety in 6 (15.4%), akathisia in 5 (12.8%), impaired attention in 5 (12.8%), weakness in 4 (10.3%), tachycardia in 3 (7.8%), and hyperprolactinemia in 3 (7.8%). In the absence of significant differences due to the sample size, it is interesting that nausea and pruritus were more common in the SGA + vortioxetine group, as these AEs are quite typical for vortioxetine. An increase in depression was the most common and an exacerbation of psychotic symptoms was somewhat more common in the control group. In general, the composition of AE was similar and quite typical for the main basic antipsychotic therapy: in both groups, the most common were mild extrapyramidal symptoms (EPS), as well as drowsiness, weight gain, and impaired concentration.
DISCUSSION
We report here the results of Russia’s first observational study of the psychosocial functioning of schizophrenic patients with depressive symptoms during early remission receiving combination therapy with vortioxetine and second-generation antipsychotics. This study showed that a 6-month course of treatment with a combination of SGA and vortioxetine prescribed according to clinical need at flexible doses provides significant improvement in the PSP final score (primary endpoint), CDSS total score (key secondary endpoint), and other secondary endpoints (CGI-S score and NSA-5 score). The results of this study confirm that the addition of vortioxetine to basic therapy with a second-generation antipsychotic is an effective and well-tolerated treatment option for schizophrenia with concomitant depressive symptoms during early remission. The 6-month prospective observational study of the changes in depressive symptoms and social functioning of patients during early remission of paranoid schizophrenia for patients receiving combination therapy with SGA and vortioxetine and SGA monotherapy after case-control matching showed a significant and clinically relevant improvement in depressive, negative symptoms, self-assessment of cognitive abilities, and especially pronounced improvement in the quality of personal and social functioning.
A comparative analysis of the changes in clinical scale scores shows that the addition of vortioxetine to SGA therapy accelerates the reduction in the acuity of the symptoms of depression that persist or occur during regression of psychosis and early remission. The antidepressant effect in patients with schizophrenia is consistent with the available data on the efficacy of vortioxetine in the treatment of major depressive disorders [32, 35, 38, 40].
Moreover, the addition of vortioxetine to baseline SGA therapy contributes to an accelerated reduction in negative symptoms, regardless of how they are viewed, whether they are “transient” negative disorders that are inherent to a relapse and persist longer than positive symptoms, or depression-related negative symptoms; for example, “negative affectivity” [56] or negative symptoms due to developmental mechanisms common to depression, or an error inherent in the scale, when depressive symptoms fall under the assessment of the negative symptoms scale.
The study of patients’ subjective assessment of their cognitive abilities showed that treatment with a combination of SGA + vortioxetine leads to a consistent and significant improvement in the average PDQ score, with a significant contribution of vortioxetine to its changes, while SGA monotherapy achieves improvement only after six months.
Vortioxetine adjunction has the greatest effect on the level of psychosocial functioning: by the second visit in the main group, the final PSP score had increased significantly and was significantly different from the control; this difference also persisted subsequently. The pronounced improvement in psychosocial functioning in the SGA + vortioxetine group coincides with a distinct antidepressant effect, a decrease in negative symptoms, and an increase in the self-assessment of cognitive abilities.
The fact that by the third visit, the differences in the scores assessing the severity of depressive, negative symptoms, and cognitive impairment had smoothed out can be explained by three circumstances: 1) spontaneous reduction in depressive symptoms as remission develops in a significant proportion of patients receiving any therapy regimens; 2) relatively delayed onset of the antidepressant effect of some SGAs; and, finally, 3) the achievement of the greatest possible improvement in the mental state and/or scores approaching the minimum possible values, when the probability of differences decreases.
A combination therapy with SGA and vortioxetine is characterized by a high rate of continuation of treatment (using statistical terminology, on-treatment survival) that is twice as high as that with SGA monotherapy: after a month and a half, the difference in the number of patients participating in the main and control groups reached statistical significance and persisted until the end of the observation period.
The addition of vortioxetine showed not only the effectiveness, but also the safety of this combination: patients do not experience the increase in the frequency or severity of AEs typical for SGA. AEs typical for the combination regimen of SGA + vortioxetine were pruritus and nausea. In contrast, the use of vortioxetine reduced the risk of worsening depression, which is often observed in cases of SGA monotherapy. The good safety profile of vortioxetine is consistent with RCS data [32, 34].
Limitations of the study
Distinguishing between the negative symptoms of schizophrenia and the actual symptoms of depression, especially manifestations of the so-called “negative affectivity”, remains difficult. Accepted diagnostic criteria and existing clinical scales do not solve this problem. Therefore, throughout the study, there was a risk of including heterogeneous cases with different psychopathological structures of depression itself and affective-delusional attacks, and an unequal relationship between delusional and depressive manifestations.
The study was observational and as close as possible to real clinical practice; it was not blind and did not use randomization. The observational design of the study led to selectivity of inclusion in different branches of observation: the control group, where patients received SGA monotherapy, included mainly patients with a relatively uniform regression of depressive-delusional attacks of schizophrenia and a lesser severity of depression, while patients with schizophrenia were much more likely to be in the main group where symptoms of depression were the primary manifestations during early remission. This is probably due to the fact that psychiatrists in real clinical practice, seeing a favorable regression of the affective-delusional (depressive-delusional) syndrome with a simultaneous reduction in its psychotic and depressive components, most often continued SGA monotherapy. On the contrary, when depressive manifestations persisted or increased in patients despite the reduction in psychotic symptoms, physicians usually diagnosed depressive syndrome instead of delusional and affective-delusional syndromes and vortioxetine was more often prescribed in addition to SGA. Such selectivity in the choice of treatment, explained by the physician’s desire to reduce the patient’s suffering and avoid the risks associated with insufficient therapy for depression, in our opinion, caused the significant differences in the distribution of the leading syndrome between the main sample of SGA + vortioxetine and the control group of SGA monotherapy. To level out this effect, a departure from the cohort study was made at the stage of intermediate analysis of the obtained data and case-control matching was used on the obtained material. This method allowed for a comparison in a clinically (syndromic) homogeneous sample, but also reduced the chances of identifying and, all the more so, proving more reliable differences.
CONCLUSION
In a 6-month observational study of the changes in the psychosocial functioning of schizophrenic patients with symptoms of depression during early remission receiving combination therapy with vortioxetine and second-generation antipsychotics in real clinical practice, the addition of vortioxetine to the basic therapy with SGA showed significant and clinically relevant improvement in depressive symptoms, negative symptoms, and the quality of social functioning. Combination therapy with vortioxetine and SGA, including quetiapine, olanzapine, paliperidone or risperidone, was well tolerated, and the main side effects of the treatment were weight gain, EPS, and sedative effects; these AEs are inherent to antipsychotics, and their frequency in combination therapy does not exceed that with monotherapy.
Authors’ contribution:
Aleksandr Reznik designed the project and acted as the chief coordinator for the data collection from investigators; Aleksandr Mudrak, Nikolay Zakharov, Zhanna Popova, Anastasia Khoroshilova, Ilona Khurbatova, Alina Saifulina, Anton Eliseenko, Tatiana Matvievskaya, Angelina Khannanova collected the data; Timur Syunyakov analyzed the data; Aleksandr Reznik and Timur Syunyakov wrote the first draft of the manuscript, which has been revised by Aleksandr Reznik and upon input from the other co-authors.
Funding: This article was written without additional financial funding.
Conflict of interest: The authors declare no conflicts of interest.
Supplementary data
Supplementary material related to this article can be found in the online version at doi: 10.17816/CP3728
About the authors
Aleksandr M. Reznik
Mental-health Clinic No. 1 named after N.A. Alexeev; Russian Biotechnological University (ROSBIOTECH); Mental-health Clinic No. 4 named after P.B. Gannushkin
Author for correspondence.
Email: a.m.reznik1969@gmail.com
ORCID iD: 0000-0002-7076-5901
SPIN-code: 4955-8297
Cand. Sci (Med.), Assistant Professor, Head of the Department of Psychiatry, Senior Researcher
Russian Federation, Moscow; Moscow; MoscowTimur S. Syunyakov
Mental-health Clinic No. 1 named after N.A. Alexeev; Republican Specialized Scientific-Practical Medical Center of Narcology; Samara State Medical University
Email: sjunja@bk.ru
ORCID iD: 0000-0002-4334-1601
Cand. Sci (Med.), Senior Researcher, Chief advisor on R&D, Leading Expert (Coordinator on Statistical Data Analysis), International Centre for Education and Research in Neuropsychiatry
Russian Federation, Moscow; Tashkent; SamaraAleksandr V. Mudrak
Mental-health Clinic No. 1 named after N.A. Alexeev
Email: mudrik_ne@mail.ru
ORCID iD: 0000-0003-1315-516X
Psychiatrist
Russian Federation, MoscowNikolay B. Zakharov
Mental-health Clinic No. 1 named after N.A. Alexeev
Email: a.m.reznik1969@gmail.com
ORCID iD: 0000-0002-4733-5233
Head of the Day Hospital
Russian Federation, MoscowZhanna B. Popova
Mental-health Clinic No. 1 named after N.A. Alexeev
Email: a.m.reznik1969@gmail.com
Head of the Day Hospital, Psychiatrist
Russian Federation, MoscowAnastasia N. Khoroshilova
Mental-health Clinic No. 1 named after N.A. Alexeev
Email: a.m.reznik1969@gmail.com
Psychiatrist
Russian Federation, MoscowIlona G. Khurbatova
Main Military Clinical Hospital named after N.N. Burdenko
Email: a.m.reznik1969@gmail.com
Psychiatrist
Russian Federation, MoscowAlina M. Saifulina
Clinic of Psychiatry and Psychotherapy “Mindset”
Email: a.m.reznik1969@gmail.com
ORCID iD: 0000-0002-5867-7116
Psychiatrist
Russian Federation, MoscowAnton M. Eliseenko
Mental health clinic “Empathy”
Email: a.m.reznik1969@gmail.com
ORCID iD: 0000-0003-4148-3216
Psychiatrist
Russian Federation, MoscowTatiana K. Matvievskaya
Mental-health Clinic No. 4 named after P.B. Gannushkin
Email: a.m.reznik1969@gmail.com
Psychiatrist
Russian Federation, MoscowAngelina N. Khannanova
Russian Biotechnological University (ROSBIOTECH); Mental-health Clinic No. 4 named after P.B. Gannushkin
Email: a.khannanova@gmail.com
ORCID iD: 0000-0002-5765-2259
SPIN-code: 7247-6175
Cand. Sci (Med.), Deputy Chief Doctor, Assistant
Russian Federation, Moscow; MoscowReferences
- Upthegrove R, Marwaha S, Birchwood M. Depression and Schizophrenia: Cause, Consequence, or Trans-diagnostic Issue? Schizophrenia bulletin. 2017;43(2):240–244. doi: 10.1093/schbul/sbw097.
- Liu R, Fang X, Yu L, Wang D, Wu Z, Guo C, Teng X, Ren J, Zhang C. Gender Differences of Schizophrenia Patients With and Without Depressive Symptoms in Clinical Characteristics. Frontiers in psychiatry. 2022;12:792019. doi: 10.3389/fpsyt.2021.792019.
- Majadas S, Olivares J, Galan J, Diez T. Prevalence of depression and its relationship with other clinical characteristics in a sample of patients with stable schizophrenia. Comprehensive psychiatry. 2012;53(2):145–151. doi: 10.1016/j.comppsych.2011.03.009.
- Miura I, Nosaka T, Yabe H, Hagi K. Antidepressive Effect of Antipsychotics in the Treatment of Schizophrenia: Meta-Regression Analysis of Randomized Placebo-Controlled Trials. The international journal of neuropsychopharmacology. 2021;24(3):200–215. doi: 10.1093/ijnp/pyaa082.
- Tandon R, Gaebel W, Barch DM, Bustillo J, Gur RE, Heckers S, Malaspina D, Owen MJ, Schultz S, Tsuang M, Van OsJ, Carpenter W. Definition and description of schizophrenia in the DSM-5. Schizophrenia research. 2013;150(1):3–10. doi: 10.1016/j.schres.2013.05.028.
- Craddock N, Owen MJ. The Kraepelinian dichotomy — going, going... but still not gone. The British journal of psychiatry: the journal of mental science. 2010;196(2):92–95. doi: 10.1192/bjp.bp.109.073429.
- Upthegrove R, Birchwood M, Ross K, Brunett K, McCollum R, Jones L. The evolution of depression and suicidality in first episode psychosis. Acta psychiatrica Scandinavica. 2010;122(3):211–218. doi: 10.1111/j.1600-0447.2009.01506.x.
- Gardsjord ES, Romm KL, Friis S, Barder HE, Evensen J, Haahr U, ten Velden Hegelstad W, Joa I, Johannessen JO, Langeveld J, Larsen TK, Opjordsmoen S, Rund BR, Simonsen E, Vaglum P, McGlashan T, Melle I, Røssberg JI. Subjective quality of life in first-episode psychosis. A ten year follow-up study. Schizophrenia research. 2016;172(1-3):23–28. doi: 10.1016/j.schres.2016.02.034.
- Velthorst E, Nieman DH, Becker HE, van de Fliert R, Dingemans PM, Klaassen R, de Haan L, van Amelsvoort T, Linszen DH. Baseline differences in clinical symptomatology between ultra high risk subjects with and without a transition to psychosis. Schizophrenia research. 2009;109(1–3):60–65. doi: 10.1016/j.schres.2009.02.002.
- Conley RR, Ascher-Svanum H, Zhu B, Faries DE, Kinon BJ. The burden of depressive symptoms in the long-term treatment of patients with schizophrenia. Schizophrenia research. 2007;90(1–3):186–197. doi: 10.1016/j.schres.2006.09.027.
- Dutta R, Murray RM, Allardyce J, Jones PB, Boydell J. Early risk factors for suicide in an epidemiological first episode psychosis cohort. Schizophrenia research. 2011;126(1–3):11–19. doi: 10.1016/j.schres.2010.11.021.
- Kelleher I, Corcoran P, Keeley H, Wigman JT, Devlin N, Ramsay H, Wasserman C, Carli V, Sarchiapone M, Hoven C, Wasserman D, Cannon M. Psychotic symptoms and population risk for suicide attempt: a prospective cohort study. JAMA psychiatry. 2013;70(9):940–948. doi: 10.1001/jamapsychiatry.2013.140.
- Lindenmayer JP, Grochowski S, Kay SR. Schizophrenic patients with depression: psychopathological profiles and relationship with negative symptoms. Compr Psychiatry. 1991;32(6):528–533. doi: 10.1016/0010-440x(91)90032-8.
- An der Heiden W, Leber A, Hafner H. Negative symptoms and their association with depressive symptoms in the long-term course of schizophrenia. Eur Arch Psychiatry Clin Neurosci. 2016;266(5):387–396. doi: 10.1007/s00406-016-0697-2.
- Krynicki CR, Upthegrove R, Deakin JFW, Barnes TRE. The relationship between negative symptoms and depression in schizophrenia: a systematic review. Acta psychiatrica Scandinavica. 2018;137(5):380–390. doi: 10.1111/acps.12873.
- Felmet K, Zisook S, Kasckow JW. Elderly patients with schizophrenia and depression: diagnosis and treatment. Clinical schizophrenia & related psychoses. 2011;4(4):239–250. doi: 10.3371/CSRP.4.4.4.
- Jhawer H, Sidhu M, Patel RS. Missed Diagnosis of Major Depressive Disorder with Catatonia Features. Brain sciences. 2019;9(2):31. doi: 10.3390/brainsci9020031.
- Borisova PO. Nosological Dilemma and Clinical Polymorphism of the Catatonia Phenomenon. Psychiatry. 2020;18(2):61–70. doi: 10.30629/2618-6667-2020-18-2-61-70.
- Lako IM, Taxis K, Bruggeman R, Knegtering H, Burger H, Wiersma D, Slooff CJ. The course of depressive symptoms and prescribing patterns of antidepressants in schizophrenia in a one-year follow-up study. European psychiatry: the journal of the Association of European Psychiatrists. 2012;27(4):240–244. doi: 10.1016/j.eurpsy.2010.10.007.
- Vahia IV, Lanouette NM, Golshan S, Fellows I, Mohamed S, Kasckow JW, Zisook S. Adding antidepressants to antipsychotics for treatment of subsyndromal depressive symptoms in schizophrenia: Impact on positive and negative symptoms. Indian journal of psychiatry. 2013;55(2):144–148. doi: 10.4103/0019-5545.111452.
- Siris SG. Depression in schizophrenia: perspective in the era of “Atypical” antipsychotic agents. The American journal of psychiatry. 2000;157(9):1379–1389. doi: 10.1176/appi.ajp.157.9.1379.
- Huhn M, Nikolakopoulou A, Schneider-Thoma J, Krause M, Samara M, Peter N, Arndt T, Bäckers L, Rothe P, Cipriani A, Davis J, Salanti G, Leucht S. Comparative efficacy and tolerability of 32 oral antipsychotics for the acute treatment of adults with multi-episode schizophrenia: a systematic review and network meta-analysis. Lancet. 2019;394(10202):939–951. doi: 10.1016/S0140-6736(19)31135-3.
- Helfer B, Samara MT, Huhn M, Klupp E, Leucht C, Zhu Y, Engel RR, Leucht S. Efficacy and Safety of Antidepressants Added to Antipsychotics for Schizophrenia: A Systematic Review and Meta-Analysis. Am J Psychiatry. 2016;173(9):876–86. doi: 10.1176/appi.ajp.2016.15081035.
- Moazen-Zadeh E, Bayanati S, Ziafat K, Rezaei F, Mesgarpour B, Akhondzadeh S. Vortioxetine as adjunctive therapy to risperidone for treatment of patients with chronic schizophrenia: A randomised, double-blind, placebo-controlled clinical trial. J Psychopharmacol. 2020;34(5):506–513. doi: 10.1177/0269881120909416.
- Redaelli S, Porffy L, Oloyede E, Dzahini O, Lewis G, Lobo M, Whiskey E, Shergill SS. Vortioxetine as adjunctive therapy in the treatment of schizophrenia. Ther Adv Psychopharmacol. 2022;12:20451253221110014. doi: 10.1177/20451253221110014.
- Lowe P, Krivoy A, Porffy L, Henriksdottir E, Eromona W, Shergill SS. When the drugs don’t work: treatment-resistant schizophrenia, serotonin and serendipity. Ther Adv Psychopharmacol. 2018;8(1):63–70. doi: 10.1177/2045125317737003.
- Al-Sukhni M, Maruschak NA, McIntyre RS. Vortioxetine: a review of efficacy, safety and tolerability with a focus on cognitive symptoms in major depressive disorder. Expert opinion on drug safety. 2015;14(8):1291–1304. doi: 10.1517/14740338.2015.1046836.
- Baune BT, Sluth LB, Olsen CK. The effects of vortioxetine on cognitive performance in working patients with major depressive disorder: A short-term, randomized, double-blind, exploratory study. Journal of affective disorders. 2018;229:421–428. doi: 10.1016/j.jad.2017.12.056.
- Chokka P, Tvistholm AH, Bougie J, Clerzius G, Ettrup A. Improvements in Workplace Productivity in Working Patients With Major Depressive Disorder: Results From the AtWoRC Study. Journal of occupational and environmental medicine. 2020;62(3):e94–e101. doi: 10.1097/JOM.0000000000001805.
- Florea I, Danchenko N, Brignone M, Loft H, Rive B, Abetz-Webb L. The effect of vortioxetine on health-related quality of life in patients with major depressive disorder. Clinical therapeutics. 2015;37(10):2309–2323.e6. doi: 10.1016/j.clinthera.2015.08.008.
- Florea I, Loft H, Danchenko N, Rive B, Brignone M, Merikle E, Jacobsen PL, Sheehan DV. The effect of vortioxetine on overall patient functioning in patients with major depressive disorder. Brain and behavior. 2017;7(3):e00622. doi: 10.1002/brb3.622.
- Garnock-Jones KP. Vortioxetine: a review of its use in major depressive disorder. CNS drugs. 2014;28(9):855–874. doi: 10.1007/s40263-014-0195-x.
- Huang IC, Chang TS, Chen C, Sung JY. Effect of vortioxetine on cognitive impairment in patients with major depressive disorder: a systematic review and meta-analysis of randomized controlled trials. The international journal of neuropsychopharmacology. 2022;25(12):969–978. doi: 10.1093/ijnp/pyac054.
- Mahableshwarkar AR, Zajecka J, Jacobson W, Chen Y, Keefe RS. A randomized, placebo-controlled, active-reference, double-blind, flexible-dose study of the efficacy of vortioxetine on cognitive function in major depressive disorder. Neuropsychopharmacology: official publication of the American College of Neuropsychopharmacology. 2015;40(8):2025–2037. doi: 10.1038/npp.2015.52.
- Mattingly GW, Ren H, Christensen MC, Katzman MA, Polosan M, Simonsen K, Hammer-Helmich L. Effectiveness of vortioxetine in patients with major depressive disorder in real-world clinical practice: results of the RELIEVE study. Frontiers in psychiatry. 2022;13:824–831. doi: 10.3389/fpsyt.2022.824831.
- McIntyre RS, Lophaven S, Olsen CK. A randomized, double-blind, placebo-controlled study of vortioxetine on cognitive function in depressed adults. The international journal of neuropsychopharmacology. 2014;17(10):1557–1567. doi: 10.1017/S1461145714000546.
- McIntyre RS, Florea I, Tonnoir B, Loft H, Lam RW, Christensen MC. Efficacy of vortioxetine on cognitive functioning in working patients with major depressive disorder. The Journal of clinical psychiatry. 2017;78(1):115–121. doi: 10.4088/JCP.16m10744.
- Polosan M, Rabbani M, Christensen MC, Simonsen K, Ren H. Effectiveness of vortioxetine in patients with major depressive disorder in real-world clinical practice: French cohort results from the global RELIEVE study. Neuropsychiatric disease and treatment. 2022;18:1963–1974. doi: 10.2147/NDT.S374635.
- Smith J, Browning M, Conen S, Smallman R, Buchbjerg J, Larsen KG, Olsen CK, Christensen SR, Dawson GR, Deakin JF, Hawkins P, Morris R, Goodwin G, Harmer CJ. Vortioxetine reduces BOLD signal during performance of the N-back working memory task: a randomised neuroimaging trial in remitted depressed patients and healthy controls. Molecular psychiatry. 2018;23(5):1127–1133. doi: 10.1038/mp.2017.104.
- Wang G, Xiao L, Ren H, Simonsen K, Ma J, Xu X, Guo P, Wang Z, Bai L, Heldbo Reines E, Hammer-Helmich L. Effectiveness and safety of vortioxetine for major depressive disorder in real-world clinical practice: results from the single-arm RELIEVE China study. Neuropsychiatric disease and treatment. 2022;18:1939–1950. doi: 10.2147/NDT.S358253.
- Jensen JB, du Jardin KG, Song D, Budac D, Smagin G, Sanchez C, Pehrson AL. Vortioxetine, but not escitalopram or duloxetine, reverses memory impairment induced by central 5-HT depletion in rats: evidence for direct 5-HT receptor modulation. European neuropsychopharmacology: the journal of the European College of Neuropsychopharmacology. 2014;24(1):148–159. doi: 10.1016/j.euroneuro.2013.10.011.
- McIntyre RS, Xiao HX, Syeda K, Vinberg M, Carvalho AF, Mansur RB, Maruschak, Cha D S. The prevalence, measurement, and treatment of the cognitive dimension/domain in major depressive disorder. CNS drugs. 2015;29(7):577–589. doi: 10.1007/s40263-015-0263-x.
- Harrison JE, Lophaven S, Olsen CK. Which cognitive domains are improved by treatment with vortioxetine? The international journal of neuropsychopharmacology. 2016;19(10):pyw054. doi: 10.1093/ijnp/pyw054.
- Guy W. Clinical global impressions, ECDEU assessment manual for psychopharmacology, revised. Rockville: National Institute of Mental Health; 1976.
- Amri I, Millier A, Toumi M. Minimum clinically important difference in the Calgary Depression Scale for Schizophrenia. Value in health: the journal of the International Society for Pharmacoeconomics and Outcomes Research. 2014;17(7):A766. doi: 10.1016/j.jval.2014.08.288.
- Addington J, Shah H, Liu L, Addington D. Reliability and validity of the Calgary Depression Scale for Schizophrenia (CDSS) in youth at clinical high risk for psychosis. Schizophrenia research. 2014;153(1–3):64–67. doi: 10.1016/j.schres.2013.12.014.
- Assanovich МV. [Psychimetric properties and diagnostic criteria of Negative Symptoms Assessment-5 (NSA-5) in schizophrenia]. V.M. Bekhterev review of psychiatry and medical psychology. 2020:1:83–92. doi: 10.31363/2313-7053-2020-1-83-92. Russian.
- Strober LB, Binder A, Nikelshpur OM, Chiaravalloti N, DeLuca J. The perceived deficits questionnaire: perception, deficit, or distress? International journal of MS care. 2016;18(4): 183–190. doi: 10.7224/1537-2073.2015-028.
- Morosini PL, Magliano L, Brambilla L, Ugolini S, Pioli R. Development, reliability and acceptability of a new version of the DSM-IV Social and Occupational Functioning Assessment Scale (SOFAS) to assess routine social functioning. Acta psychiatrica Scandinavica. 2000;101(4):323–329.
- Opler M, Fu DJ. Comments on the scoring guideline of the personal and social performance scale (PSP). Schizophrenia research. 2014;152(1):304. doi: 10.1016/j.schres.2013.10.039.
- Nafees B, van Hanswijck de Jonge P, Stull D, Pascoe K, Price M, Clarke A, Turkington D. Reliability and validity of the Personal and Social Performance scale in patients with schizophrenia. Schizophrenia research. 2012;140(1–3):71–76. doi: 10.1016/j.schres.2012.06.013.
- Lee SC, Tang SF, Lu WS, Huang SL, Deng NY, Lue WC, Hsieh CL. Minimal detectable change of the Personal and Social Performance scale in individuals with schizophrenia. Psychiatry research. 2016;246:725–729. doi: 10.1016/j.psychres.2016.10.058.
- Berk M, Ng F, Dodd S, Callaly T, Campbell S, Bernardo M, Trauer T. The validity of the CGI severity and improvement scales as measures of clinical effectiveness suitable for routine clinical use. Journal of evaluation in clinical practice. 2008;14(6):979–983. doi: 10.1111/j.1365-2753.2007.00921.x.
- Dunlop BW, Gray J, Rapaport MH. Transdiagnostic clinical global impression scoring for routine clinical settings. Behavioral sciences. 2017;7(3):40. doi: 10.3390/bs7030040.
- Jelastopulu E, Giourou E, Merekoulias G, Mestousi A, Moratis E, Alexopoulos EC. Correlation between the Personal and Social Performance scale (PSP) and the Positive and Negative Syndrome Scale (PANSS) in a Greek sample of patients with schizophrenia. BMC psychiatry. 2014;14:197. doi: 10.1186/1471-244X-14-197.
- Smulevich AB. [Depression in general medicine: a guide for doctors]. Moscow: Medical Information Agency; 2007;256. Russian.
Supplementary files



