Сердечно-легочная реанимация новорожденного в родильном зале
- Авторы: Александрович Ю.С.1, Иванов Д.О.1, Пшениснов К.В.1
-
Учреждения:
- ФГБОУ ВО «Санкт-Петербургский государственный педиатрический медицинский университет» Минздрава России
- Выпуск: Том 10, № 4 (2019)
- Страницы: 5-16
- Раздел: Передовая статья
- URL: https://journal-vniispk.ru/pediatr/article/view/18543
- DOI: https://doi.org/10.17816/PED1045-16
- ID: 18543
Цитировать
Аннотация
Улучшение качества сердечно-легочной реанимации в родильном зале является одной из наиболее актуальных проблем современной неонатологии. Несмотря на то что в последние годы число выживших новорожденных с низкой и экстремально низкой массой тела неуклонно растет, исходы выхаживания далеко не всегда благоприятны и не обеспечивают высокое качество жизни. На протяжении двух десятилетий протоколы по сердечно-легочной реанимации регулярно изменяются и дополняются каждые пять лет, что способствует улучшению исходов реанимационных мероприятий. В 2015 г. вышли очередные рекомендации Американской ассоциации сердца и Европейского Совета по реанимации по базисной и расширенной сердечно-легочной реанимации у детей, в том числе и у новорожденных, которые позволят улучшить качество оказания реанимационной помощи в родильном зале и будут способствовать более благоприятному неврологическому исходу.
Полный текст
Большинство новорожденных младенцев не требуют мероприятий, направленных на стабилизацию состояния сразу после рождения, однако 10 % детей необходима респираторная поддержка в минимальном объеме и только 1 % детей нуждается в непрямом массаже сердца и введении медикаментов [1–3].
Однако среди недоношенных новорожденных с низкой и экстремально низкой массой тела (ЭНМТ) приблизительно 90 % детей необходимо проводить первичную стабилизацию состояния после рождения и 4–10 % — расширенную сердечно-легочную реанимацию [4–7].
Прогнозирование необходимости реанимационных мероприятий и показания к ним
Важнейшим условием обеспечения эффективной помощи новорожденному является прогнозирование возможности реанимационных мероприятий еще до рождения, что особенно справедливо для новорожденных с ЭНМТ. Это связано с тем, что большинство детей с ЭНМТ при рождении требуют проведения искусственной вентиляции легких под положительным давлением, в связи с чем требуется как минимум наличие двух подготовленных неонатологов. В случае необходимости проведения полноценной расширенной сердечно-легочной реанимации необходимо участие трех специалистов.
Оценка степени выраженности всего 3 клинических признаков позволяет прогнозировать потребность проведения реанимационных мероприятий (табл. 1).
Таблица 1 / Table 1 Факторы риска необходимости проведения сердечно-легочной реанимации в родильном зале [10] Risk factors for resuscitation in the delivery room [10] | |
Признак / Variable | Оценка, баллы / Score assigned |
Гестационный возраст / Gestational age | |
Более 27 недель / >27 weeks | 0 |
25–27 недель / 25–27 weeks | 2 |
Менее 25 недель / <25 weeks | 3 |
Антенатальное введение стероидов / Antenatal steroid | |
Не было или не завершено / None or incomplete | 1 |
Завершено полностью / Complete | 0 |
Амниотическая жидкость / Amniotic fluid | |
Нормальное количество / Normal | 0 |
Олигогидроамнион / Oligohydramnios | 1 |
Полигидроамнион / Polyhydramnios | 2 |
Чем выше оценка по шкале, тем больше вероятность проведения реанимационных мероприятий в родильном зале.
Состояния перинатального периода с высоким риском проведения реанимационных мероприятий в родильном зале представлены в табл. 2.
Таблица 2 / Table 2 Состояния перинатального периода с высоким риском проведения сердечно-легочной реанимации в родильном зале States of perinatal period with high risk of resuscitation in the delivery room | |
Дородовые факторы риска / Antepartum risk factors | Интранатальные факторы риска / Intrapartum risk factors |
1. Гестационный возраст <36 0/7 недель / Gestational age <36 0/7 weeks 2. Гестационный возраст ≥41 0/7 недель / Gestational age ≥41 0/7 weeks 3. Преэклампсия или эклампсия / Preeclampsia or eclampsia 4. Артериальная гипертензия у матери / Maternal hypertension 5. Многоплодная беременность / Multiple gestation 6. Анемия плода / Fetal anemia 7. Многоводие / Polyhydramnions 8. Маловодие / Oligohydramnions 9. Водянка плода / Fetal hydrops 10. Макросомия плода / Fetal macrosomia 11. Задержка внутриутробного развития / Intrauterine growth restriction 12. Аномалии или врожденные пороки развития плода / Significant fetal malformations or anomalies 13. Отсутствие дородового медицинского наблюдения / No prenatal care | 1. Кесарево сечение по экстренным показаниям / Emergency cesarean delivery 2. Наложение щипцов или вакуум-экстракция / Forceps or vacuum-assisted delivery 3. Тазовые или иные аномальные предлежания / Breech or other abnormal presentation 4. Паттерн частоты сердечных сокращений плода II или III категории / Category II or III fetal heart rate pattern 5. Общая анестезия во время родов / Maternal general anesthesia 6. Назначение магнезии матери ребенка / Maternal magnesium therapy 7. Разрыв плаценты / Placental abruption 8. Значительное кровотечение в родах / Intrapartum bleeding 9. Хориоамнионит / Chorioamnionitis 10. Назначение матери наркотических средств за 4 ч до родов / Narcotics administered to mother within 4 hours of delivery 11. Дистоция плечиков / Shoulder dystocia 12. Мекониальное загрязнение околоплодных вод / Meconium-stained amniotic fluid 13. Выпадение пуповины / Prolapsed umbilical cord |
Присутствие врача-неонатолога при родах обязательно при следующих ситуациях:
- гестационный возраст менее 32 нед.;
- гестационный возраст более 32 нед. с подтвержденными признаками незрелости легких;
- выраженная гипоксия плода;
- врожденные пороки развития, такие как врожденные пороки сердца, врожденная диафрагмальная грыжа или другие врожденные пороки рождения дыхательной системы, кишечная непроходимость, дефекты передней брюшной стенки (гастрошизис и др.), spina bifida.
Что касается показаний для первичной реанимации новорожденных, то она показана всегда, за исключением нескольких случаев, описанных ниже.
Противопоказания для реанимации
В ряде случаев при рождении ребенка в критическом состоянии реанимация не рекомендуется.
В частности, проведение реанимационных мероприятий не показано:
1) при весе новорожденного менее 400 г;
2) гестационном возрасте менее 23 нед.;
3) врожденных пороках рождения центральной нервной системы (анэнцефалия);
4) наличии трисомии по 13 хромосоме;
5) мертворожденном ребенке.
Также реанимационные мероприятия должны быть прекращены, если через 10 мин от начала сердечно-легочной реанимации у ребенка отсутствует сердцебиение 1.
Оценка состояния новорожденного
Оценка состояния новорожденного является основным элементом оказания неотложной помощи, определяющим всю дальнейшую лечебную тактику.
Сразу после рождения ребенка необходимо незамедлительно оценить наличие дыхания, частоту сердечных сокращений (ЧСС) и окраску кожных покровов!
В случае если ЧСС менее 60 уд/мин, дыхание неэффективное или отсутствует, а окраска кожных покровов цианотичная или синюшная, необходимо срочно начать реанимационные мероприятия.
Сердечно-легочная реанимация в родильном зале
Согласно современной концепции оживления выделяют несколько этапов первичной реанимации: обеспечение проходимости верхних дыхательных путей, восстановление эффективного дыхания, поддержание адекватной циркуляции.
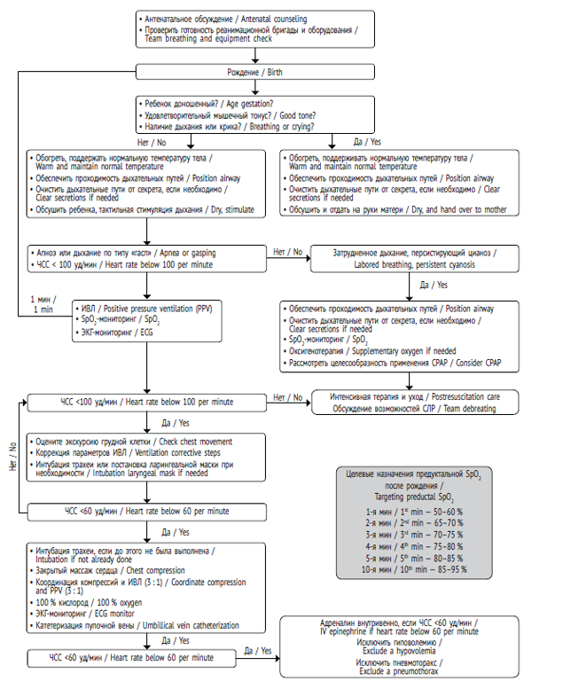
Алгоритм сердечно-легочной реанимации новорожденного в родильном зале, согласно рекомендациям American heart association (AHA) и Европейского союза по реанимации 2015 г. представлен на рис. 1 и 2 [11, 14, 15].
Рис. 1. Сердечно-легочная реанимация новорожденных в родильном зале (рекомендации Американской ассоциации сердца, 2015)
Fig. 1. Neonatal Resuscitation Algorithm at delivery room (American heart association, 2015)
Рис. 2. Сердечно-легочная реанимация новорожденных в родильном зале (рекомендации Европейского совета по реанимации, 2015)
Fig. 2. Neonatal Resuscitation Algorithm at delivery room (European Resuscitation Council Guidelines for Resuscitation, 2015)
Обеспечение проходимости верхних дыхательных путей
Обеспечение проходимости верхних дыхательных путей является основным условием успешной реанимации новорожденного. Сразу после рождения ребенок должен быть помещен под источник лучистого тепла и насухо вытерт теплыми пеленками. Оптимальным положением ребенка при первичной оценке состояния и проведении реанимационных мероприятий является положение на спине со слегка запрокинутой головой («поза для чихания»).
Для создания данного положения очень удобно использовать валик, подложенный под плечевой пояс ребенка. Такое положение ребенка не только удобно для него самого, но и обеспечивает максимальную проходимость верхних дыхательных путей.
Согласно современным представлениям, рутинная санация верхних дыхательных путей и трахеобронхиального дерева в настоящее время не рекомендуется. Единственным показанием для санации является обструкция дыхательных путей при аспирации мекония.
Следует помнить, что при слишком грубой санации, особенно если аспирационный катетер касается задней стенки глотки, возможна стимуляция вагальных рефлексов с развитием брадикардии, что особенно опасно у детей, находящихся в критическом состоянии. Таким образом, санация — это не оптимальный способ обеспечения проходимости верхних дыхательных путей у новорожденного ребенка.
Одним из способов обеспечения проходимости дыхательных путей является интубация трахеи, который наиболее часто используется особенно у детей, которым показана продленная вентиляция легких.
Показания к интубации трахеи в родильном зале
- Необходимость в санации трахеобронхиального дерева у новорожденных с синдромом аспирации мекония.
- Неэффективная или длительная вентиляция легких с помощью дыхательного мешка и маски.
- Необходимость в проведении закрытого массажа сердца.
- Рождение ребенка с ЭНМТ или врожденными пороками развития, требующими экстренного хирургического вмешательства
- Необходимость в профилактическом введении препаратов экзогенного сурфактанта у новорожденных со сроком гестации менее 27 нед.
Характеристики эндотрахеальной трубки, необходимой для обеспечения адекватной вентиляции, представлены в табл. 3.
Таблица 3 / Table 3 Характеристика интубационной трубки Characteristics of the endotracheal tube | ||
Диаметр интубационной трубки / Endotracheal tube size for babies’ various weights and gestational ages | ||
Вес, г / Weight, g | Срок гестации, нед. / Gestational age, wks | Внутренний диаметр интубационной трубки, мм / Endotracheal tube size, mm ID |
<1000 | <28 | 2,5 |
1000–2000 | 28–34 | 3,0 |
>2000 | >34 | 3,5 |
Стартовая глубина введения интубационной трубки / Initial endotracheal tube insertion depth (“tip to lip”) | ||
Вес, г / Weight, g | Срок гестации, нед. / Gestational age, wks | Глубина введения от края губ, см / Endotracheal tube insertion depth at lips, sm |
500–600 | 23–24 | 5,5 |
700–800 | 25–26 | 6,0 |
900–1000 | 27–29 | 6,5 |
1100–1400 | 30–32 | 7,0 |
1500–1800 | 33–34 | 7,5 |
1900–2400 | 35–37 | 8,0 |
2500–3100 | 38–40 | 8,5 |
3200–4200 | 41–43 | 9,0 |
Интубация трахеи должна быть выполнена в течение 30 с!
В некоторых случаях целесообразно использовать орофарингеальный воздуховод, применение которого может быть оправдано при двусторонней атрезии хоан и синдроме Пьера–Робена.
В настоящее время проводится исследование, авторы которого планируют оценить эффективность и безопасность применения различных воздуховодов при проведении сердечно-легочной реанимации в родильном зале, что особенно актуально для стран с низким экономическим уровнем [12].
В случае, если после согревания, тактильной стимуляции и обеспечения проходимости верхних дыхательных путей эффективное дыхание ребенка не восстановилось, показано проведение искусственной вентиляции легких с помощью системы Айра или мешка типа «Амбу» («Penlon»).
Обеспечение адекватного внешнего дыхания
Проведение искусственной вентиляции легких в родильном зале показано в следующих ситуациях:
- отсутствие дыхания;
- нерегулярное дыхание (судорожное дыхание типа «gasping»);
- ЧСС менее 100 уд/мин.
В настоящее время используется несколько способов проведения искусственной вентиляции легких (ИВЛ) у новорожденных. В первую очередь, это ИВЛ через маску с использованием самонаполняющегося мешка типа «Амбу» или «Penlon».
При помощи данных устройств ИВЛ может проводиться как через маску, так и через эндотрахеальную трубку.
У доношенного ребенка при отсутствии дыхания первые два-три вдоха необходимо осуществлять с давлением на вдохе 30–40 см Н2О. В ряде случаев может потребоваться увеличение давления на вдохе до 45–50 см Н2О. При наличии попыток самостоятельного дыхания пиковое давление на вдохе должно составлять около 20–25 см Н2О. Соотношение вдоха к выдоху должно быть 1 : 1. Эффективность ИВЛ оценивается по экскурсии грудной клетки, окраске кожных покровов и показателям сатурации гемоглобина кислородом (SpO2).
В случае, если на фоне проводимой ИВЛ экскурсии грудной клетки отсутствуют, сохраняется цианоз кожи и показатели сатурации не соответствуют норме, необходимо проверить проходимость дыхательных путей. Если ИВЛ проводится через маску, то необходимо обеспечить положение ребенка, описанное выше, если же ИВЛ осуществляется через эндотрахеальную трубку, то, вероятно, возникшие проблемы связаны с ее неправильным положением.
Основным признаком, свидетельствующим о правильном положении эндотрахеальной трубки, является равномерное проведение дыхания над всеми легочными полями. Если же дыхание не проводится, то, вероятнее всего, трубка находится в пищеводе. В данном случае при проведении ИВЛ отмечается вздутие живота в эпигастральной области. Единственный выход из создавшейся ситуации — экстубация и повторная интубация ребенка. Если при аускультации легких отмечается неравномерность проведения дыхания (дыхание слева ослаблено!), то высока вероятность, что трубка прошла в правый главный бронх. В этом случае необходимо подтянуть трубку под контролем аускультации до отметки, указанной в табл. 3.
Правильность положения интубационной трубки можно оценить с помощью капнометрии и капнографии. Мониторинг напряжения углекислого газа в конце выдоха может существенно улучшить перфузию и исходы сердечно-легочной реанимации в родильном зале [13].
Несмотря на то что неравномерное проведение дыхания чаще всего связано с неправильным положением трубки, необходимо помнить о возможности пневмоторакса! Единственным способом дифференцирования данных состояний является выполнение рентгенограммы грудной клетки.
Если же проходимость дыхательных путей восстановлена, а признаки неадекватной вентиляции сохраняются, то это может быть связано как с недостаточными параметрами вентиляции, так и с наличием таких заболеваний, как врожденные пороки сердца синего типа и врожденные диафрагмальные грыжи! В первом случае необходимо изменить параметры ИВЛ, увеличив давление на вдохе и частоту, в случае же подозрения на врожденные пороки сердца или диафрагмальную грыжу показано срочное выполнение рентгенограммы грудной клетки.
При проведении ИВЛ в родильном зале крайне важным является и выполнение маневра рекруитмента, который позволяет обеспечить необходимую функциональную емкость легкого, которая у новорожденного ребенка приблизительно равна 80 мл.
У доношенных маневр рекруитмента осуществляется путем поддержания пикового давления на вдохе, равного 30 см Н2О в течение 5 с. У недоношенных новорожденных маневр осуществляется путем поддержания пикового давления на вдохе, равного 20 см Н2О в течение 5–10 с. Маневр выполняется однократно при отсутствии самостоятельного дыхания до начала ИВЛ.
Обеспечение адекватной циркуляции
В большинстве случаев все расстройства циркуляции у новорожденных вторичны и связаны с респираторными нарушениями, поэтому первым этапом терапии недостаточности кровообращения должно быть обеспечение адекватной вентиляции и оксигенации тканей. Если на фоне проведения ИВЛ сохраняется брадикардия в течение 30 с (ЧСС <60 уд/мин), показано проведение закрытого массажа сердца, который проводится путем компрессии грудной клетки с частотой 120–140 уд/мин. Компрессии осуществляются в области средней трети грудины на одну треть глубины грудной клетки. Для детей первого часа жизни рекомендуется соотношение компрессий и вентиляций 3 : 1. Закрытый массаж сердца и ИВЛ проводятся до тех пор, пока не восстановится адекватные дыхание и ЧСС (>100 уд/мин) или не будет принято решение о прекращении реанимационных мероприятий.
В случае, если на фоне проводимых ИВЛ и закрытого массажа сердца сохраняются признаки недостаточности кровообращения, необходимо прибегнуть к назначению лекарственных средств.
Наиболее частой причиной недостаточности кровообращения у новорожденных является гиповолемия, возникшая вследствие фетоплацентарной трансфузии, синдрома «текучих» капилляров или других патологических состояний.
Диагностика гиповолемии у новорожденных крайне затруднительна, а рутинное введение дополнительных объемов жидкости с целью восполнения объема циркулирующей крови может привести к развитию внутрижелудочковых кровоизлияний, особенно у недоношенных новорожденных. В то же время, в случае рождения ребенка с бледными кожными покровами и тахикардией вероятность наличия дефицита жидкости у него очень высока. Одним из дифференциальных признаков, свидетельствующих о наличии гиповолемии, является величина гематокрита, которая, при отсутствии клинических признаков полицитемии, должна быть не более 55–60 %, поэтому проведение лабораторного обследования ребенка в этом случае обязательно.
Абсолютным показанием к восполнению дефицита объема циркулирующей крови в родильном зале является наличие острой кровопотери или симптомов неадекватной тканевой перфузии (бледность кожи, время наполнения капилляров более 3 с, слабое наполнение пульса на периферических и магистральных артериях).
Лекарственные препараты, используемые при проведении реанимационных мероприятий у новорожденных
В настоящее время вопрос о необходимости назначения лекарственных средств при проведении сердечно-легочной реанимации у новорожденных существенно переоценен, поскольку было доказано, что их эффективность крайне мала или даже отсутствует.
При отсутствии необходимости в введении медикаментов оправдано отсроченное пережатие пуповины, что может существенно улучшить результаты выхаживания недоношенных новорожденных и снизить смертность [7].
Единственным препаратом, эффективность которого не вызывает сомнений при проведении реанимации у новорожденных, является Адреналин. В то же время, применение его оправдано только в крайне редких случаях, когда не удается стабилизировать состояние ребенка и показатели гемодинамики (ЧСС) на фоне адекватной вентиляции легких.
Механизм действия адреналина представлен на рис. 3.
Рис. 3. Механизм действия адреналина у новорожденных [8]
Fig. 3. Mechanism of adrenaline action in newborns [8]
Пути введения, дозы адреналина и наличие доказательств эффективности и безопасности разных методик назначения препарата представлены в табл. 4 [8].
Таблица 4 / Table 4 Пути введения Адреналина и доказательства их эффективности Epinephrine use during newborn resuscitation: route, dose, and summary of evidence | ||
Путь введения / Route | Доза, мг/кг / Dose, mg/kg | Доказательства эффективности / Summary of evidence |
Внутривенно / Intravenous | 0,01–0,03 | 1. Предпочтительный и наиболее эффективный метод введения / Preferred route and appear to be more efficacious than other routes 2. Доза экстраполирована из взрослой практики / Dose extrapolated from adult experience 3. Применение высоких доз адреналина не оправдано, поскольку это может привести к развитию побочных эффектов препарата и увеличению летальности в постреанимационном периоде / High-dose epinephrine offers no advantage and is associated with increased postresuscitation adverse effects and increased mortality |
Эндотрахеально / Endotracheal | 0,05–0,1 | 1. Менее эффективен, чем внутривенный путь введения / Less effective than IV route 2. Концентрация адреналина в плазме крови меньше и пик действия короче по сравнению с внутривенным введением / Achieved plasma concentration is less and it peaks slower with ET epinephrine compared to IV epinephrine 3. Может использоваться при отсутствии венозного доступа / Can be used until IV access is available |
Внутрикостно / Intraosseus | 0,01–0,03 | 1. Ограниченные сведения по сравнению с внутривенным путем введения / Limited evidence compared to IV route 2. Менее удобен по сравнению с катетеризацией пупочной вены / Providers frequently involved in newborn resuscitation feel more comfortable with rapid UVC insertion compared to IO route |
Внутримышечно / Intramascular | Не рекомендуется / Not recommended | 1. Крайне ограниченные сведения / Very limited evidence 2. Значительное повреждение тканей в области инъекции / Significant tissue damage at local site |
Показанием к назначению натрия гидрокарбоната является декомпенсированный метаболический ацидоз (рН < 7,0; BE > –12 ммоль/л) и отсутствие эффекта от непрямого массажа сердца, введения Адреналина и восполнения объема циркулирующей крови на фоне адекватной ИВЛ. Используется только 0,5 М (1 мл = 0,5 мэкв) раствор гидрокарбоната натрия.
При гиповолемии показано восполнение дефицита объема циркулирующей крови 0,9 % раствором хлорида натрия. Если у ребенка имеются признаки геморрагического шока, то необходимо введение препаратов донорской эритроцитарной массы из расчета 15 мл/кг.
Дозы препаратов, используемые во время первичной реанимации новорожденных, представлены в табл. 5.
Таблица 5 / Table 5 Доза и способ введения лекарственных средств, используемых при первичной реанимации новорожденных Dose and route drugs for resuscitation of the newborns in the delivery rooms | |||
Препарат / Drug | Лекарственная форма / Officinal Form | Доза / Dose | Путь введения / Route |
Адреналин / Adrenaline | · 0,1 % раствор 0,1 % раствор должен быть разведен в 10 раз (0,01 % раствор) / · 0,1 % solution 0,1 % solution must be diluted 10 times (0,01 % solution) | 0,01–0,03 мг/кг — в/в / 0,01–0,03 mg/kg — IV 0,1 мг/кг — эндотрахеально / 0,1 mg/kg — ET | Внутривенно / Intravenous Эндотрахеально / Еndotracheal |
Натрия гидрокарбонат / Sodium bicarbonate | · 4,2 % раствор (0,5 ммоль/мл) / 4,2 % solution (0,5 mmol/ml) | 1–2 ммоль/кг / 1–2 mmol/kg | Скорость введения 2 мл/кг в минуту / Rate infusion 2 ml/kg/min Не быстрее чем за 2 мин / Not quicker than in 2 minutes |
Натрия хлорид / Sodium chloride | · 0,9 % раствор / · 0,9 % solution | 10–15 мл/кг / 10–15 ml/kg | Внутривенно медленно, за 10–30 мин / Intravenous, over to 5–10 min (С осторожностью у недоношенных новорожденных со сроком гестации менее 30 нед.) / (Use caution with preterm newborns less than 30 weeks gestation) |
Изменения, внесенные в протокол сердечно-легочной реанимации в 2015 г., представлены ниже и затрагивают основополагающие моменты стабилизации состояния только что родившегося ребенка.
Отсроченное пережатие пуповины
Отсроченное пережатие пуповины спустя более чем 30 с после рождения оправдано у доношенных и недоношенных новорожденных, которые не требуют проведения сердечно-легочной реанимации в родильном зале. Рутинное отсроченное пережатие пуповины у детей, требующих проведение реанимационных мероприятий, и новорожденных со сроком гестации менее 29 нед. в настоящее время не рекомендуется. Поиск доказательств, подтверждающих эффективность этого маневра, продолжается и сейчас. В частности, разработан дизайн крупного мультицентрового исследования по оценке эффективности отстроченного пережатия пуповины у недоношенных новорожденных с интактной пуповиной на основе специально разработанной таблицы [9].
Поддержание нормальной температуры в родильном зале
Температура тела только что родившегося новорожденного должна поддерживаться в диапазоне 36,5–37,5 °C. Для этого можно использовать полиэтиленовую пленку, шапочки, термоматрасы и устройства для согревания и увлажнения кислородно-воздушной смеси. Использование различных устройств может быть целесообразно для предотвращения гипотермии у новорожденных со сроком гестации менее 32 нед. Применение термоматрасов, подогревание дыхательной смеси для проведения реанимационных мероприятий, повышение температуры воздуха в родильном зале и использование шапочек позволяет более эффективно предотвращать гипотермию по сравнению с изолированным обертыванием полиэтиленовой пленкой или использованием только лишь источников лучистого тепла. Гипертермии (повышение температуры тела выше 38,0 °C) следует избегать для предотвращения возможных негативных последствий.
Согревание новорожденных, находящихся в гипотермии
Медленное согревание (менее 0,5 °C/ч) более безопасно по сравнению с быстрым (более 0,5 °C/ч), так как позволяет избежать таких осложнений, как апноэ и аритмии. Для обеспечения нормотермии целесообразно использовать и другие способы поддержания температуры тела ребенка, такие как контакт «кожа к коже» и метод «кенгуру».
Обеспечение проходимости дыхательных путей при наличии мекония
При наличии околоплодных вод, окрашенных меконием, и рождении ребенка с неудовлетворительным мышечным тонусом и неадекватным дыханием первым шагом стабилизации состояния является размещение новорожденного под источником лучистого тепла.
Искусственная вентиляция легких должна быть начата, если ребенок не дышит или ЧСС менее 100 уд/мин. Рутинная интубация трахеи для санации трахеобронхиального дерева в данной ситуации не рекомендуется.
Оценка сердечного ритма
Во время сердечно-легочной реанимации как доношенных, так и недоношенных новорожденных целесообразно максимально раннее использование мониторинга электрокардиографии в трех отведениях для оценки ритма сердца и частоты сердечных сокращений.
Назначение кислорода недоношенным новорожденным
У недоношенных новорожденных со сроком гестации менее 35 нед. при стабилизации состояния следует использовать минимальное содержание кислорода (21–30 %), при этом фракция кислорода в дыхательной смеси должна подбираться таким образом, чтобы достигнуть значений преддуктальной SpO2, соответствующих нормальным показателям здоровых доношенных детей при естественном родоразрешении. При первичной стабилизации состояния новорожденных в родильном зале использование кислородно-воздушной смеси с высоким содержанием кислорода (65 % и выше) не рекомендуется.
Искусственная вентиляция легких
Рутинное использование продленного вдоха в родильном зале длительностью более 5 с в настоящее время не рекомендуется. При проведении ИВЛ у недоношенных новорожденных целесообразно использовать положительное давление в конце выдоха, равное 5 см H2О. Ларингеальные маски могут помочь обеспечить эффективную вентиляцию у доношенных и недоношенных новорожденных со сроком гестации 34 нед. и более. Применение ларингеальных масок у недоношенных детей со сроком гестации менее 34 нед. или весом меньше 2000 г нецелесообразно. Ларингеальную маску можно рассматривать как альтернативу интубации трахеи, если вентиляция через маску неэффективна.
Применение ларингеальной маски во время сердечно-легочной реанимации рекомендуется у доношенных и недоношенных новорожденных со сроком гестации 36 нед. и более, когда интубация трахеи безуспешна или невозможна.
Спонтанное дыхание на фоне применения CPAP (continuous positive airway pressure; постоянное положительное давление в дыхательных путях) у недоношенных новорожденных с респираторным дистрессом в первые часы жизни более оправданно, чем рутинная интубация трахеи для проведения инвазивной ИВЛ.
Компрессии грудной клетки
Компрессии осуществляются в нижней трети грудины на глубину приблизительно 1/3 от передне-заднего размера грудной клетки. Предпочтительнее использовать методику закрытого массажа сердца путем обхвата грудной клетки ребенка, поскольку она способствует более значительному приросту системного и коронарного перфузионного давления и не сопровождается значительной усталостью спасателя. Рекомендуется обеспечивать координацию закрытого массажа сердца и искусственной вентиляции легких. Грудная клетка ребенка должна полностью расправляться во время прекращения компрессии, но руки спасателя должны все время находиться на ней.
При остановке сердца, обусловленной дыхательными расстройствами, оптимальное соотношение компрессий и искусственной вентиляции легких составляет 3 : 1. При наличии кардиальных причин остановки сердца оправдано применять более высокое соотношение, например 15 : 2.
При проведении закрытого массажа сердца необходимо увеличить концентрацию кислорода до 100 %. С целью снижения риска гипероксии дополнительная дотация кислорода должна быть прекращена, как только частота сердечных сокращений восстановится.
Индуцированная терапевтическая гипотермия
Применение терапевтической гипотермии оправданно в условиях ограниченных ресурсов здравоохранения: отсутствия необходимого оборудования и высококвалифицированного медицинского персонала.
Отказ и прекращение сердечно-легочной реанимации
Если прогноз для выживания неблагоприятный и гестационный возраст новорожденного менее 25 нед., при принятии решения о прекращении реанимации необходимо учитывать такие факторы, как корректность определения срока гестации, наличие или отсутствие хориоамнионита и возможности лечебного учреждения, где находится ребенок.
Прекращение реанимационных мероприятий оправданно, если на 10-й минуте жизни сердечный ритм сердца не восстанавливается и оценка по шкале Апгар равна нулю, однако, решение о продолжении или прекращении сердечно-легочной реанимации должно приниматься с учетом индивидуальных особенностей пациента и его родителей.
Основные принципы мониторинга оксигенации в родильном зале
- Обязательно проведение пульсоксиметрии с первой минуты жизни.
- Предупреждение гипероксии (SpO2 не более 95 % на всех этапах проведения мероприятий сердечно-легочной реанимации).
- Предупреждение гипоксии (SpO2 не менее 80 % к пятой минуте жизни и не менее 85 % к 10-й минуте жизни).
- SpO2 в родильном зале у детей с низкой и ЭНМТ, начиная с 10-й минуты жизни, должно быть в пределах 86–92 %.
В заключение хотелось мы отметить, что широкое внедрение представленных рекомендаций в рутинную клиническую практику с использованием симуляционного обучения специалистов, оказывающих реанимационную помощь в родильном зале, позволит значительно улучшить результаты сердечно-легочной реанимации и выхаживания недоношенных новорожденных с экстремально низкой массой тела.
Примечания:
1 Методическое письмо № 15-4/10/2-3204 от 21 апреля 2010 г. Министерства здравоохранения и социального развития Российской Федерации «Первичная и реанимационная помощь новорожденным детям».
Об авторах
Юрий Станиславович Александрович
ФГБОУ ВО «Санкт-Петербургский государственный педиатрический медицинский университет» Минздрава России
Автор, ответственный за переписку.
Email: Jalex1963@mail.ru
д-р мед. наук, профессор, заведующий, кафедра анестезиологии, реаниматологии и неотложной педиатрии ФП и ДПО
Россия, 194100, г. Санкт-Петербург, ул. Литовская д.2Дмитрий Олегович Иванов
ФГБОУ ВО «Санкт-Петербургский государственный педиатрический медицинский университет» Минздрава России
Email: doivanov@yandex.ru
ORCID iD: 0000-0002-0060-4168
д-р мед. наук, профессор, ректор, заслуженный врач РФ, главный внештатный специалист-неонатолог Минздрава России
Россия, 194100, г. Санкт-Петербург, ул. Литовская д.2Константин Викторович Пшениснов
ФГБОУ ВО «Санкт-Петербургский государственный педиатрический медицинский университет» Минздрава России
Email: Psh_k@mail.ru
ORCID iD: 0000-0003-1113-5296
SPIN-код: 8423-4294
канд. мед. наук, доцент. Кафедра анестезиологии, реаниматологии и неотложной педиатрии ФП и ДПО
Россия, 194100, г. Санкт-Петербург, ул. Литовская д.2Список литературы
- Александрович Ю.С., Пшениснов К.В. Сердечно-легочная реанимация в педиатрической практике: основы и изменения 2015 года // Педиатр. - 2016. – Т. 7. – № 1. – С. 5–15. [Alexandrovich YS, Pshenisnov KV. Modern principles of cardiopulmonary resuscitation in pediatric practice. Pediatrician (St. Peterburg). 2016;7(1):5-15. (In Russ.)]. https://doi.org/10.17816/PED715-15.
- Александрович Ю.С., Пшениснов К.В. Сердечно-легочная реанимация у детей. – СПб.: Издательство СПбГПМУ, 2018. - 208 с. [Aleksandrovich YS, Pshenisnov KV. Serdechno-legochnaya reanimatsiya u detey. Saint Petersburg: Izdatel’stvo SPbGPMU; 2018. 208 p. (In Russ.)]
- Arnon S, Dolfin T, Reichman B, et al. Delivery room resuscitation and adverse outcomes among very low birth weight preterm infants. J Perinatol. 2017;37(9): 1010-16. https://doi.org/10.1038/jp.2017.99.
- Ballot DE, Agaba F, Cooper PA, et al. A review of delivery room resuscitation in very low birth weight infants in a middle income country. Matern Health Neonatol Perinatol. 2017;3:9. https://doi.org/10.1186/s40748-017-0048-y.
- Borrhomée S, Merbouche S, Kern-Duciau N, Boize P. Umbilical vein catheterization through Wharton’s jelly: a possibility for a fast and safe way to deliver treatments in the delivery room? Arch Pediatr. 2019;26(6):381-384. https://doi.org/10.1016/j.arcped.2019.05.004.
- Cho SJ, Shin J, Namgung R. Initial resuscitation at delivery and short term neonatal outcomes in very-low-birth-weight infants. J Korean Med Sci. 2015;30(Suppl 1):S45-S51. https://doi.org/10.3346/jkms.2015.30.S1.S45.
- Finer NN, Horbar JD, Carpenter JH. Cardiopulmonary resuscitation in the very low birth weight infant: the Vermont Oxford Network experience. Pediatrics. 1999;104(3 Pt 1):428-434. https://doi.org/10.1542/peds.104.3.428.
- Kapadia VS, Wyckoff MH. Epinephrine use during newborn resuscitation. Front Pediatr. 2017;5:97. https://doi.org/10.3389/fped.2017.00097.
- Knol R, Brouwer E, Klumper FJCM, van den Akker T, et al. Effectiveness of stabilization of preterm infants with intact umbilical cord using a purpose-built resuscitation table-study protocol for a randomized controlled trial. Front Pediatr. 2019;7:134. https://doi.org/10.3389/fped.2019.00134.
- Lee J, Lee JH. A clinical scoring system to predict the need for extensive resuscitation at birth in very low birth weight infants. BMC Pediatr. 2019;19(1):197. https://doi.org/10.1186/s12887-019-1573-9.
- American Heart Association, American Academy of Pediatrics, et al. Textbook of neonatal resuscitation. Ed. by GM Weiner, J Zaichkin. 7th ed. American Academy of Pediatrics; 2016. 328 p.
- Pejovic NJ, Myrnerts Höök S, Byamugisha J, et al. Neonatal resuscitation using a supraglottic airway device for improved mortality and morbidity outcomes in a low-income country: study protocol for a randomized trial. Trials. 2019;20(1):444. https://doi.org/10.1186/s13063-019-3455-8.
- Stine CN, Koch J, Brown LS, et al. Quantitative end-tidal CO2 can predict increase in heart rate during infant cardiopulmonary resuscitation. Heliyon. 2019;5(6):e01871. https://doi.org/10.1016/j.heliyon.2019.e01871.
- Wyckoff MH, Aziz K, Escobedo MB, et al. Part 13: neonatal resuscitation: 2015 American Heart Association guidelines update for cardiopulmonary resuscitation and emergency cardiovascular care. Circulation. 2015;132(Suppl 2):S543-S560. https://doi.org/10.1161/CIR.0000000000000267.
- Wylliea J, Bruinenbergb J, Roehr СС, et al. European Resuscitation Council Guidelines for Resuscitation 2015 Section 7. Resuscitation and support of transition of babies at birth. Resuscitation. 2015;95:249-263. https://doi.org/ 10.1016/j.resuscitation.2015.07.029.
Дополнительные файлы




