Possibilities of Intensification of Spring Wheat Growing Technology in the Western Siberia Forest-Steppe
- 作者: Sharkov I.N.1, Kolbin S.A.2, Vasileva N.V.2
-
隶属关系:
- Institute of Soil Science and Agrochemistry, Siberian Branch, Russian Academy of Sciences
- Siberian Research Institute of Agronomy and Agricultural Chemistry SFSCA RAS
- 期: 编号 6 (2023)
- 页面: 3-11
- 栏目: Articles
- URL: https://journal-vniispk.ru/0002-1881/article/view/139613
- DOI: https://doi.org/10.31857/S0002188123060108
- EDN: https://elibrary.ru/QOYLCY
- ID: 139613
如何引用文章
全文:
详细
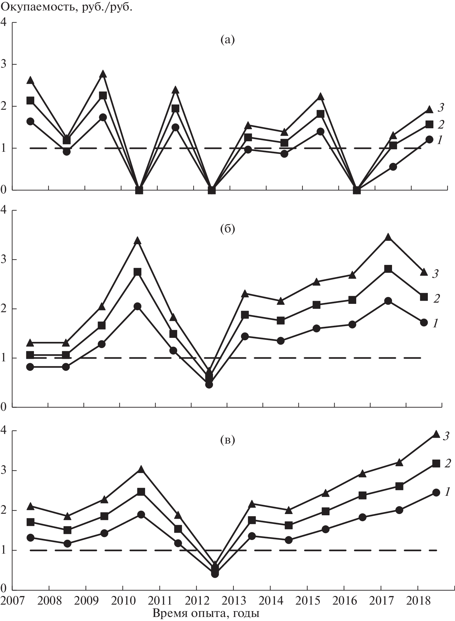
Based on the results of many years of field experience, an agronomic and economic assessment of the effects of the use of chemicals for spring wheat is given in order to determine the attractiveness for farmers of the transition to growing crops using intensive technology. For the analysis, the prices of chemicals and spring wheat grain that are currently relevant for the Siberian region were taken. It is shown that under the influence of a complex of chemicalization agents (fertilizers, herbicides, fungicide), the average annual yield of wheat in a 4-full grain-pair crop rotation increased 1.8 times, reaching 3.8 tons of grain/ha. The increase in yield by 13% was due to the use of herbicides, 18% – fungicides and 69% – mineral fertilizers with a payback of 1 kg active substance 12.4 kg of grain. When calculating the average per year, the means of chemicalization provided income already at the minimum (from the accepted for analysis) grain price of 10 000 rubles/t. Income increased sharply in a number of field experience options: herbicides, herbicides + fertilizers, herbicides + fertilizers + fungicide. However, when assessing the annual effects, income from chemicals in this series was obtained, respectively, only in 42, 75 and 92% of the years. The probability of losses decreased significantly with an increase in the price of grain. But even at prices of 13.000 and 16.000 rubles/ton, the use of the entire complex of chemicals was unprofitable in 8% of the years due to the severe aridity of the growing season. At current prices for fertilizers and pesticides, the minimum sufficient price of grain can be considered 13.000 rubles/ton, which, however, does not exclude losses in severely dry years.
作者简介
I. Sharkov
Institute of Soil Science and Agrochemistry, Siberian Branch, Russian Academy of Sciences
编辑信件的主要联系方式.
Email: humus3@yandex.ru
Russia, 630090, Novosibirsk , prosp. Lavrenteva 8/2
S. Kolbin
Siberian Research Institute of Agronomy and Agricultural Chemistry SFSCA RAS
Email: humus3@yandex.ru
Russia, 630501,
Novosibirsk region, r.p. Krasnoobsk
N. Vasileva
Siberian Research Institute of Agronomy and Agricultural Chemistry SFSCA RAS
Email: humus3@yandex.ru
Russia, 630501,
Novosibirsk region, r.p. Krasnoobsk
参考
- Тю Л.В., Афанасьев Е.В., Быков А.А., Алещенко О.А. Экономическая эффективность и перспективы развития зернового производства в Сибири // Эконом. сел.-хоз. и перерабат. предприятий. 2021. № 1. С. 28–32.
- Межрегиональная схема размещения и специализации сельскохозяйственного производства в субъектах Российской Федерации Сибирского федерального округа: рекомендации. Новосибирск: ФГБУ СО АН, 2016. 255 с.
- Шарков И.Н. Интенсификация агротехнологий – главный приоритет Сибирского земледелия // Наука и технол. Сибири. 2021. № 3. С. 13–19.
- Шарков И.Н. Проблемы интенсификации технологий возделывания зерновых культур в Сибири // Инновации и прод. безопасность. 2016. № 1 (11). С. 24–32.
- Система адаптивного земледелия Омской области. ФГБНУ “Омский АНЦ”. Омск: Изд-во ИП Макшеевой Е.А., 2020. С. 522.
- Гамзиков Г.П. Точное земледелие в Сибири: реальности, проблемы и перспективы // Земледелие. 2022. № 1. С. 3–9. https://doi.org/10.24412/0044-3913-2022-1-3-9
- Гамзиков Г.П. Сибирская современная Геосеть длительных стационарных опытов с удобрениями // Агрохимия. 2022. № 7. С. 3–13.
- Синещеков В.Е. Химизация – ключевой фактор в формировании продуктивности колосовых культур в лесостепи // АПК России. 2018. Т. 25. № 23. С. 455–460.
- Чагина Е.Г., Берхин Ю.И., Головин В.А. Определение нитратов в почве селективным электродом. Метод. рекоменд. Новосибирск, 1980. С. 10.
- Торговая площадка IDK.RU [Электр. ресурс]. URL: https://stat.idk.ru/(дата обращения 23.11.2022).
- Сорокин О.Д. Прикладная статистика на компьютере. Новосибирск: СО РАСХН, 2008. С. 217.
- Красницкий В.М., Бобренко И.А., Шмидт А.Г., Матвейчик О.А. Агротехническая диагностика потребности полевых культур в азотных удобрениях // Плодородие. 2020. № 6. С. 40–44. https://doi.org/10.25680/s19948603.2020.117.12
- Гамзиков Г.П. Практические рекомендации по почвенной диагностике азотного питания полевых культур и применению азотных удобрений в сибирском земледелии. М.: Росинформагротех, 2018. С. 48.
- Шарков И.Н., Колбин С.А. Влияние погодных условий вегетационного периода на урожайность яровой пшеницы и эффективность азотного удобрения в лесостепи Приобья // Вестн. НГАУ. 2020. № 1 (54). С. 33–41. https://doi.org/10.31677/2072-6724-2020-54-1-33-41
- Холмов В.Г., Юшкевич Л.В. Интенсификация и ресурсосбережение в земледелие лесостепи Западной Сибири. Омск: Изд-во ОмГАУ, 2006. С. 396.
- Синещеков В.Е., Васильева Н.В. Факторы, влияющие на численность сорных растений в посевах яровой пшеницы, на примере лесостепи Западной Сибири // Вестн. КрасГАУ. 2020. № 6 (159). С. 62–70. https://doi.org/10.36718/1819-4036-2020-6-62-70
- Захаренко В.А. Современное состояние и перспективы экономики применения пестицидов в агроэкосистемах России // Агрохимия. 2021. № 5. С. 68–83. https://doi.org/10.31857/S0002188121050148
- Шарков И.Н., Колбин С.А., Захаров Г.М. Агротехнологии и возможности интенсификации производства зерна в Сибири // Эконом. сел.-хоз. и перерабат. предприятий. 2022. № 5. С. 14–18. https://doi.org/10.31442/0235-2494-2022-0-5-14-18
- Гилев С.Д., Цымбаленко И.Н., Копылов А.Н. Агроэкологические и экономические показатели возделывания яровой пшеницы с применением средств химизации в Зауралье // Агрохимия. 2020. № 3. С. 49–54. https://doi.org/10.31857/S0002188119120044
- Гатаулина Е.А., Узун Е.А. Сравнительная оценка стоимости ресурсов и условий ведения бизнеса в России и за рубежом с точки зрения конкурентоспособности аграрного сектора // Изв. ТСХА. 2016. № 3. С. 71–93.



