Compositions of Fungicides with Growth Regulators which Reduce the Retarding Effect of Crop Protectants
- Authors: Zorkina O.V.1, Sukhova E.A.2,3, Agapova O.O.3, Nefedieva E.E.2,3, Gribust .R.3, Kolotova O.V.2,3
-
Affiliations:
- Volgograd State University
- Volgograd State Technical University
- Agro Expert Group Limited Liability Company Riga Land
- Issue: No 7 (2023)
- Pages: 37-43
- Section: Пестициды
- URL: https://journal-vniispk.ru/0002-1881/article/view/139626
- DOI: https://doi.org/10.31857/S0002188123070128
- EDN: https://elibrary.ru/OGINND
- ID: 139626
Cite item
Full Text
Abstract
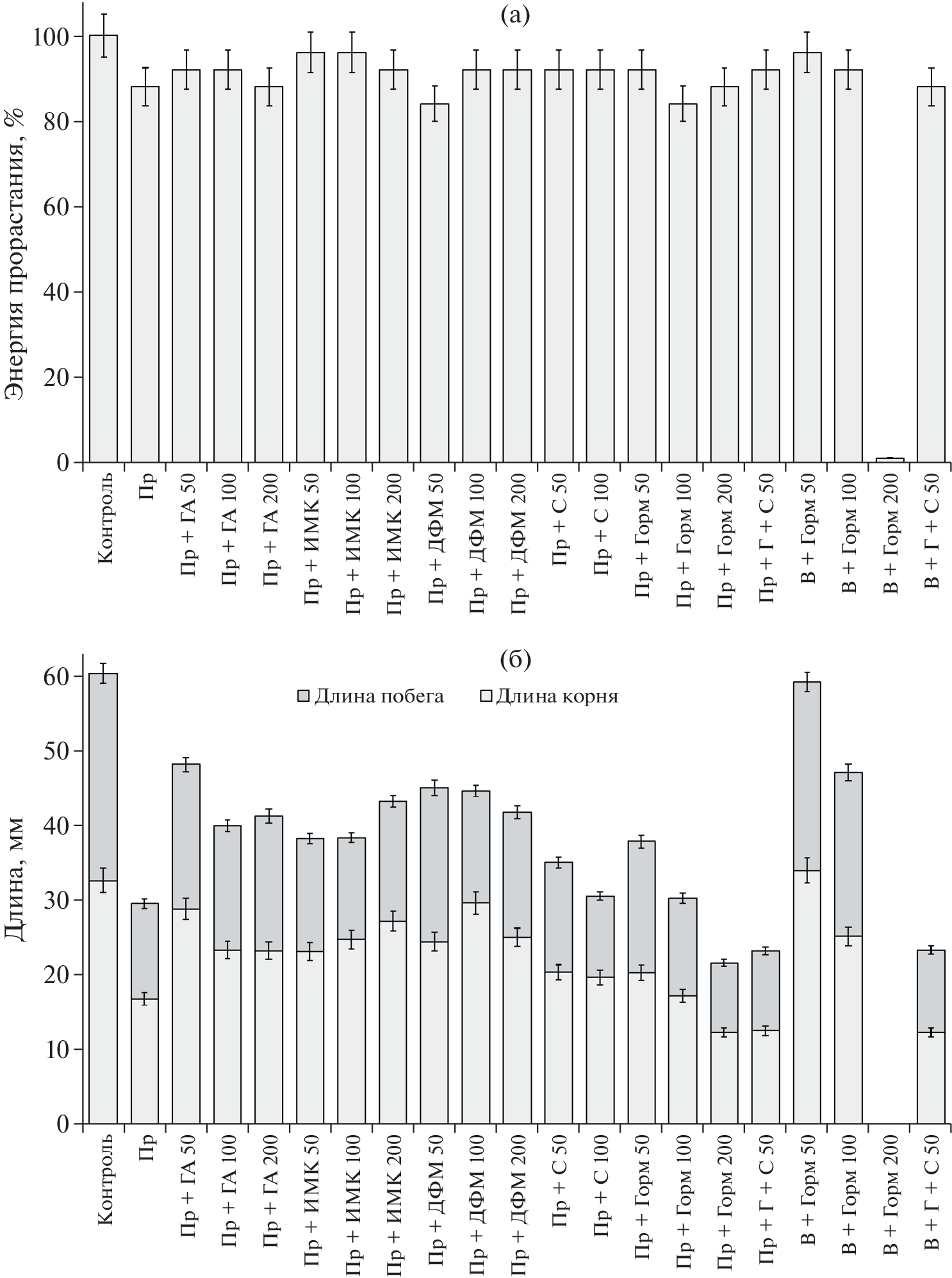
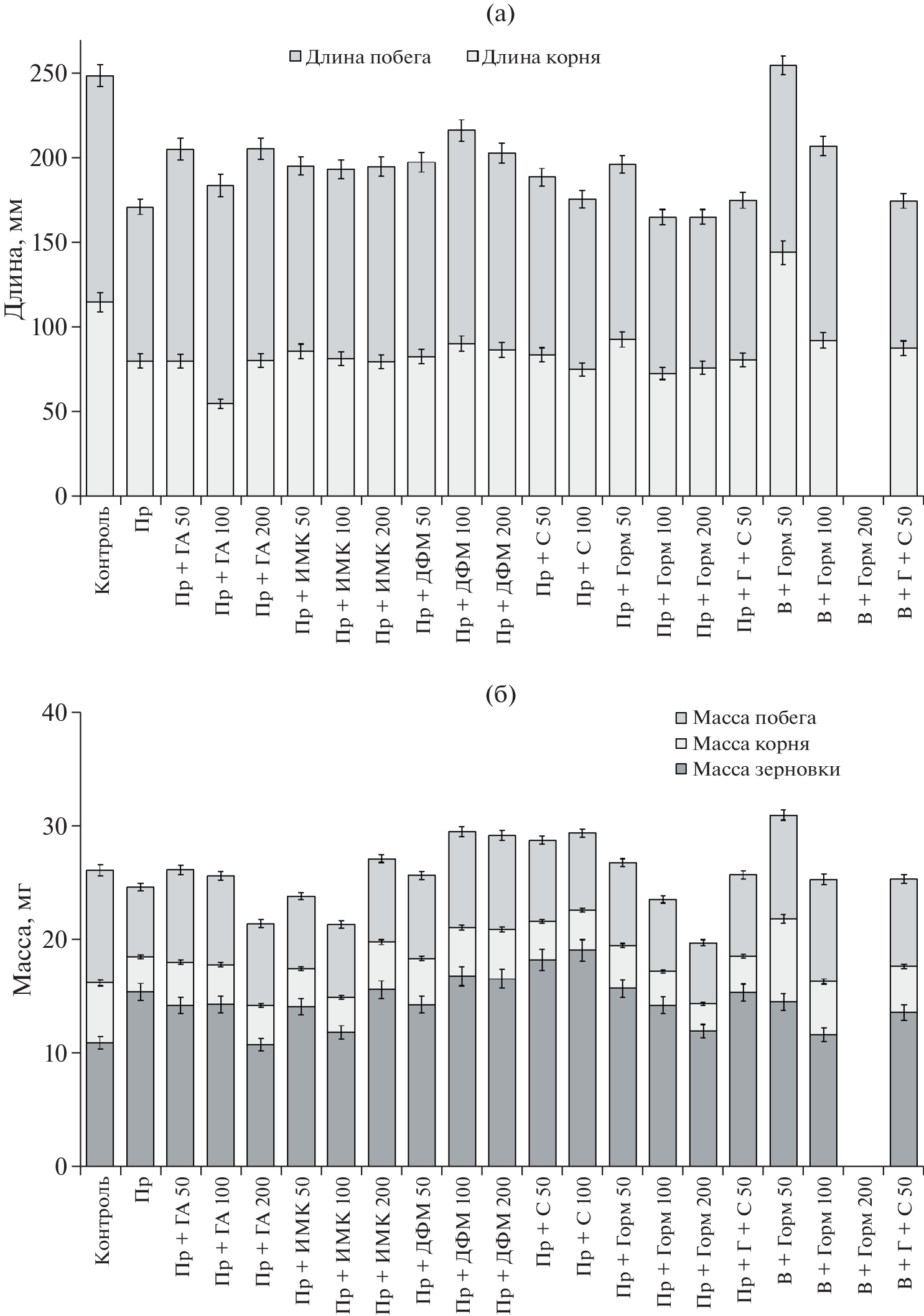
One of the reasons for the decrease in the yield of crops is the retardant effect of fungicides. In addition, many fungicides have a toxigenic effect on the mycelium of the fungus. The combination of a fungicide and a plant growth stimulant in a complex preparation can help to reduce the level of the negative effect of the pesticide. It is proposed to introduce individual growth regulators and their combination into the composition of the seed protectant in doses of 50, 100, 200 g/l. The length and the weight of the root and shoot of seedlings under the influence of the seed protectant were less than in the control, and the weight of the endosperm of grain was greater. Under the influence of the seed protectant and gibberellic acid, the length of the shoots corresponded to the control, but their weight was decreased. Indolylbutyric acid, added to the seed protectant, contributed to the effective consumption of spare substances of the endosperm of grain and root growth. Under the influence of the protectant and diphenylurea, the length and the weight of the shoot increased significantly in a balanced manner. The composition of the protectant and the named growth regulators in minimal doses affected the growth of the roots and shoots in the best way of all variants. Preference should be given to low doses of phytohormones and their combination.
About the authors
O. V. Zorkina
Volgograd State University
Email: nefedieva@rambler.ru
Russia, 400006, Volgograd , Universitetskiy prosp. 10
E. A. Sukhova
Volgograd State Technical University; Agro Expert Group Limited Liability Company Riga Land
Email: nefedieva@rambler.ru
Russia, 400005, Volgograd , prosp. Lenina 28; Russia, 143421, Moscow Region, Krasnogorsky district, d. Mikhalkovo, Business Center
bld. 6
O. O. Agapova
Agro Expert Group Limited Liability Company Riga Land
Email: nefedieva@rambler.ru
Russia, 143421, Moscow Region, Krasnogorsky district, d. Mikhalkovo, Business Center
bld. 6
E. E. Nefedieva
Volgograd State Technical University; Agro Expert Group Limited Liability Company Riga Land
Author for correspondence.
Email: nefedieva@rambler.ru
Russia, 400005, Volgograd , prosp. Lenina 28; Russia, 143421, Moscow Region, Krasnogorsky district, d. Mikhalkovo, Business Center
bld. 6
I. R. Gribust
Agro Expert Group Limited Liability Company Riga Land
Email: nefedieva@rambler.ru
Russia, 143421, Moscow Region, Krasnogorsky district, d. Mikhalkovo, Business Center
bld. 6
O. V. Kolotova
Volgograd State Technical University; Agro Expert Group Limited Liability Company Riga Land
Email: nefedieva@rambler.ru
Russia, 400005, Volgograd , prosp. Lenina 28; Russia, 143421, Moscow Region, Krasnogorsky district, d. Mikhalkovo, Business Center
bld. 6
References
- Долженко В.И., Котикова Г.Ш., Здрожевская С.Д., Гришечкина Л.Д., Буркова Л.А., Герасимова А.В., Силаев А.И., Милютенкова Т.И., Белых Е.Б. Протравливание семенного материала: рекомендации. М. СПб.: Изд-во Агрорус, 2003. 61 с.
- Порсев И.Н., Торопова Е.Ю., Малинников А.А. Эффективность протравителей семян в ограничении корневых гнилей яровой пшеницы // Защита и карантин раст. 2016. № 2. С. 24–25.
- Нефедьева Е.Э., Зорькина О.В., Гераськин С.А., Белопухов С.Л. Влияние различных соотношений азоксистробина, протиоконазола и прохлораза на токсигенные свойства фитопатогенных грибов // Бутлеровские сообщ. 2021. Т. 65. № 1. С. 98–104.
- Байбакова Е.В., Нефедьева E.Э., Белопухов С.Л. Исследование влияния современных протравителей на всхожесть и рост проростков зерновых культур // Изв. вузов. Прикл. хим. и биотехнол. 2016. Т. 6. № 3 (18). С. 57–64.
- Байбакова Е.В., Нефедьева Е.Э., Белицкая М.Н., Грибуст И.Р., Косогорина М.Д., Севрюкова Г.А. Influence of fungicides on toxigenic properties of phytopathogenic fungi // BIO Web of Conf. 2020. Т. 23. С. 6.
- Ellner F.M. Results of long-term field studies into the effect of strobilurin containing fungicides on the production of mycotoxins in several winter wheat varieties // Mycotoxin Res. 2005. № 21. P. 112–115.
- Исаев Р.Ф., Шакирова Ф.М., Безрукова М.В., Сахабутдинова А.Р., Фатхутдинова Р.А., Авальбаев А.М., Аллагулова Ч.Р., Гилязетдинов Ш.Я., Масленникова Д.Р. Использование композиций фунгицидов с регуляторами роста для повышения продуктивности пшеницы // Аграрн. наука. 2005. № 4. С. 26–27.
- Тютерев С.Л. Научные основы индуцированной болезнеустойчивости растений. СПб., 2002. 328 с.
- Халиков С.С., Голубев А.С., Коротов Н.А., Чкаников Н.Д., Спиридонов Ю.Я. Инновационные протравители с антидотным действием // Агрохимия. 2017. № 4. С. 22–25.
- Голубев А.С., Коротов Н.А., Федоровский О.Ю., Спиридонов Ю.Я., Чкаников Н.Д. Фторсодержащие аналоги промышленного антидота фурилазол // Агрохимия. 2017. № 6. С. 62–67.
- Богуславская Н.В. Способы снижения фитотоксического действия фунгицидов на ранних этапах онтогенеза ячменя (снижение фитотоксичности винцита с помощью регуляторов роста Эмистим С и эпибрассинолида) // Экол. безопасность в АПК. Реферат. журн. 2009. № 3. С. 756.
- Дубровская Н.Н. Эффективность баковых композиций фунгицидов и регуляторов роста на яровой пшенице // Международ. научн.-исслед. журн. 2013. № 9–2(16). С. 6–7.
- Спиридонов Ю.Я., Чичварина О.А., Голубев А.С., Чкаников Н.Д., Халиков С.С. Инновационные протравители с антидотным действием. Изучение антистрессового действия фурилазола и его производного // Агрохимия. 2018. № 4. С. 45–49.
- Нефедьева Е.Э., Белопухов С.Л., Верхотуров В.В., Лысак В.И. Роль фитогормонов в регуляции прорастания // Изв. вузов. Прикл. хим. и биотехнол. 2013. № 1. С. 61–66.
- Байбакова Е.В., Нефедьева Е.Э. Изменения интенсивности дыхания проростков пшеницы под действием азоксистробина и регулятора роста // Вестн. науки и образ-я. 2017. № 12(36). С. 29–32.
Supplementary files





