Содержание токсичных элементов при внесении фосфогипса и помета в агрочернозем слабоэродированный
- Авторы: Габбасова И.М.1, Гарипов Т.Т.1, Комиссаров М.А.1, Мелентьева О.А.1
-
Учреждения:
- Уфимский Институт биологии УФИЦ РАН
- Выпуск: № 9 (2023)
- Страницы: 50-55
- Раздел: Экотоксикология
- URL: https://journal-vniispk.ru/0002-1881/article/view/139659
- DOI: https://doi.org/10.31857/S0002188123070050
- EDN: https://elibrary.ru/OFUCYE
- ID: 139659
Цитировать
Полный текст
Аннотация
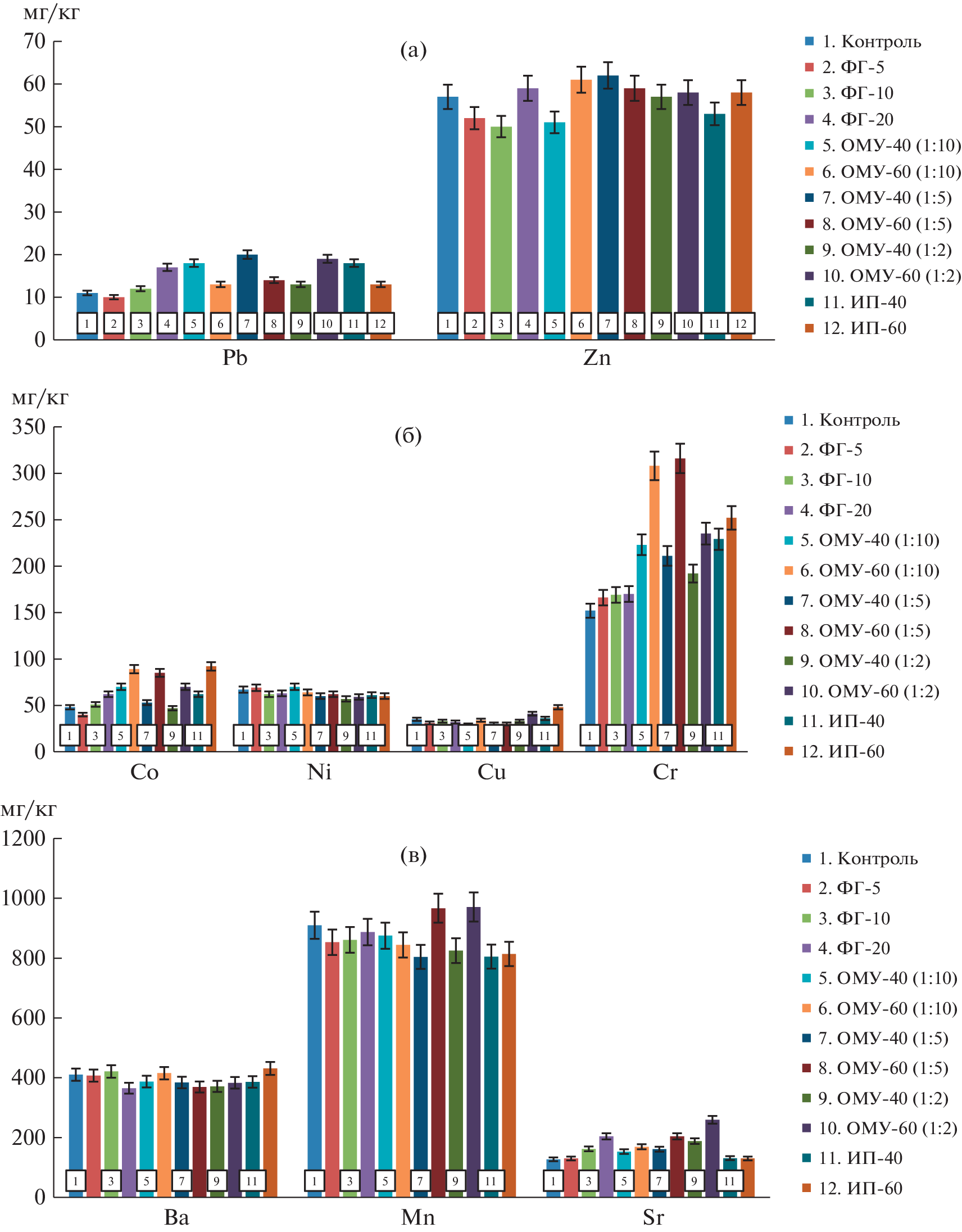
При использовании побочных продуктов и отходов промышленного и сельскохозяйственного производства (фосфогипса (ФГ) и индюшиного помета (ИП)) в качестве удобрения необходимо учитывать не только содержание питательных веществ, но и экологическую безопасность, в том числе наличие токсичных элементов. Мелкоделяночный полевой опыт был заложен на слабоэродированном агрочерноземе в лесостепной зоне Башкирского Предуралья. ФГ вносили однократно в дозах 5, 10 и 20 т/га, ИП – в дозах 40 и 60 т/га, органо-минеральное удобрение (ОМУ) – 40 и 60 т/га при соотношениях ФГ : ИП = 1 : 10, 1 : 5 и 1 : 2. При внесении в почву ФГ, ИП или ОМУ на уровне следов оставалось содержание As, Cd, Hg, Se, Mo, Sb, W и V. Практически не изменилось по сравнению с контрольным вариантом содержание Zn, Ni, Cu, Ba и Mn, содержание которых в почве было значительно больше, чем в исходном ФГ. Содержание Pb и Sr возрастало в основном при добавлении высоких доз ФГ, а Co и Cr – при больших дозах ИП. В целом содержание элементов 3-х классов токсичности не превышало ПДК, суммарный эффект загрязнения оценивался как допустимый.
Ключевые слова
Об авторах
И. М. Габбасова
Уфимский Институт биологии УФИЦ РАН
Email: mkomissarov@mail.ru
Россия, 450054, Уфа, просп. Октября, 69
Т. Т. Гарипов
Уфимский Институт биологии УФИЦ РАН
Email: mkomissarov@mail.ru
Россия, 450054, Уфа, просп. Октября, 69
М. А. Комиссаров
Уфимский Институт биологии УФИЦ РАН
Автор, ответственный за переписку.
Email: mkomissarov@mail.ru
Россия, 450054, Уфа, просп. Октября, 69
О. А. Мелентьева
Уфимский Институт биологии УФИЦ РАН
Email: mkomissarov@mail.ru
Россия, 450054, Уфа, просп. Октября, 69
Список литературы
- Калиниченко В.П. Эффективное использование фосфогипса в земледелии // Вестн. международ. ин-та питания раст. 2017. № 1. С. 1–33.
- Hassoune H., Lahhit M., Khalid A., Lachehab A. Application of leaching tests on phosphogypsum by infiltration-percolation // Water Sci. Technol. 2017. V. 76. № 7. P. 1844–1851. https://doi.org/10.2166/wst.2017.368
- Saadaoui E., Ghazel N., Ben Romdhane C., Massoudi N. Phosphogypsum: potential uses and problems – a review // Inter. J. Env. Stud. 2017. V. 74. № 4. P. 558–567. https://doi.org/10.1080/00207233.2017.1330582
- Мещеряков Ю.Г., Федоров С.В. Проблемы промышленной переработки фосфогипса в РФ, состояние и перспективы // Фундамент. исслед-я. 2015. № 6–2. С. 273–276.
- Воропаева З.И., Троценко И.А., Парфенов А.И. Изменение свойств коркового солонца содового засоления при проведении однократной и повторной мелиорации фосфогипсом // Почвоведение. 2011. № 3. С. 346–357.
- Габбасова И.М., Сулейманов Р.Р. Трансформация серых лесных почв при техногенном засолении и осолонцевании и в процессе их рекультивации в нефтедобывающих районах Южного Приуралья // Почвоведение. 2007. № 9. С. 1120–1128.
- Габбасова И.М., Сулейманов Р.Р., Гарипов Т.Т. Деградация и мелиорация почв при загрязнении нефтепромысловыми сточными водами // Почвоведение. 2013. № 2. С. 226–233. https://doi.org/10.7868/S0032180X13020056
- Семендяева Н.В., Елизаров Н.В. Динамика содержания натрия в профиле мелиорированных солонцов Барабы // Агрохимия. 2016. № 10. С. 12–19.
- Al-Enazy A-A., Al-Barakah F., Al-Oud S., Usman A. Effect of phosphogypsum application and bacteria co-inoculation on biochemical properties and nutrient availability to maize plants in a saline soil // Arch. Agron. Soil Sci. 2018. V. 64. № 10. P. 1394–1406. https://doi.org/10.1080/03650340.2018.1437909
- Prochnow L., Caires E., Rodrigues E.C. Phosphogypsum use to improve subsoil acidity: the Brazilian experience // Better Crops. 2016. V. 100. № 2. P. 13–15.
- Трофимов И.Т., Макарычев С.В., Иванов А.Н. Использование дефеката для известкования почв западной Сибири // Плодородие. 2006. № 4. С. 15–16.
- Belic M., Nesic L., Dimitrijevic M., Petrovic S., Ciric V., Pekec S., Vasin J. Impact of reclamation practices on the content and qualitative composition of exchangeable base cations of the solonetz soil // Aust. J. Crop Sci. 2012. V. 6. № 10. P. 1471–1480.
- Irshad M., Saleem A., Faridullah Hassan A., Pervez A., Eneji A.E. Phosphorus solubility and bioavailability from poultry litter supplemented with gypsum and lime // Canad. J. Soil Sci. 2012. V. 92. № 6. P. 893–900. https://doi.org/10.4141/cjss2012-004
- Samet M., Karray F., Mhiri N., Kamoun L., Sayadi S., Gargouri-Bouzid R. Effect of phosphogypsum addition in the composting process on the physico-chemical proprieties and the microbial diversity of the resulting compost tea // Environ. Sci. Pollut. Res. 2019. V. 26. № 21. P. 21404–21415. https://doi.org/10.1007/s11356-019-05327-3
- Габбасова И.М., Гарипов Т.Т., Сидорова Л.В., Сулейманов Р.Р., Назырова Ф.И., Баязитова Л.И., Комиссаров А.В., Яубасаров Р.Б. Использование куриного помета как удобрения на агрочерноземе Южного Предуралья // Агрохимия. 2016. № 8. С. 30–35.
- Suleymanov R., Saifullin I., Komissarov M., Gabbasova I., Suleymanov A., Garipov T. Effect of phosphogypsum and turkey litter on the erodibility of agrochernozems of the southern Cis-Ural (Russia) under artificial heavy rainfall // Soil Environ. 2019. V. 38. № 1. P. 81–89. https://doi.org/10.25252/SE/19/71730
- Peel M.C., Finlayson B.L., McMahon T.A. Updated world map of the Köppen-Geiger climate classification // Hydrol. Earth Syst. Sci. 2007. V. 11. P. 1633–1644. https://doi.org/10.5194/hess-11-1633-2007
- Протасова Н.А., Горбунова Н.С. Соединения цинка, никеля, свинца и кадмия в обыкновенных черноземах Каменной Степи при длительном применении удобрений и фосфогипса // Агрохимия. 2010. № 7. С. 52–61.
- Ендовицкий А.П., Калиниченко В.П., Иваненко А.А., Мищенко Н.А. Влияние мелиорации фосфогипсом на состояние свинца и кадмия в черноземах // Агрохимия. 2011. № 10. С. 58–69.
- Komissarov M., Gabbasova I., Garipov T., Suleymanov R., Sidorova L. The Effect of phosphogypsum and turkey litter application on the properties of eroded agrochernozem in the South Ural region (Russia) // Agronomy. 2022. V. 12. № 11. P. 2594. https://doi.org/10.3390/agronomy12112594
- Проблемы экологии: принципы их решения на примере Южного Урала / Под ред. Н.В. Старовой. М.: Наука, 2003. 288 с.
- Асылбаев И.Г., Хабиров И.К. Содержание щелочных и щелочноземельных металлов в почвах Южного Предуралья // Почвоведение. 2016. № 1. С. 29–38. https://doi.org/10.7868/S0032180X16010020
- Литвинович А.В., Лаврищев А.В. Стронций в системе удобрения (мелиоранты)–почва–природные воды–растения–животные (человек) // Агрохимия. 2008. № 5. С. 73–86.
- Любимова И.Н., Борисочкина Т.И. Влияние потенциально-опасных химических элементов, содержащихся в фосфогипсе, на окружающую среду // М.: Почв. ин-т им. им. В.В. Докучаева РАСХН, 2007. 46 с.
Дополнительные файлы




