Influence of Long-Term Use of Mineral Fertilizers on Weed Infestation of Grain-Grass-Rowed Crop Rotation
- Авторлар: Shpanev A.M.1,2, Smuk V.V.1,2, Fesenko M.A.1
-
Мекемелер:
- Agrophysical Research Institute
- All-Russian Institute of Plant Protection
- Шығарылым: № 12 (2023)
- Беттер: 67-74
- Бөлім: Fertilizers
- URL: https://journal-vniispk.ru/0002-1881/article/view/162258
- DOI: https://doi.org/10.31857/S000218812312013X
- EDN: https://elibrary.ru/STTXCL
- ID: 162258
Дәйексөз келтіру
Толық мәтін
Аннотация
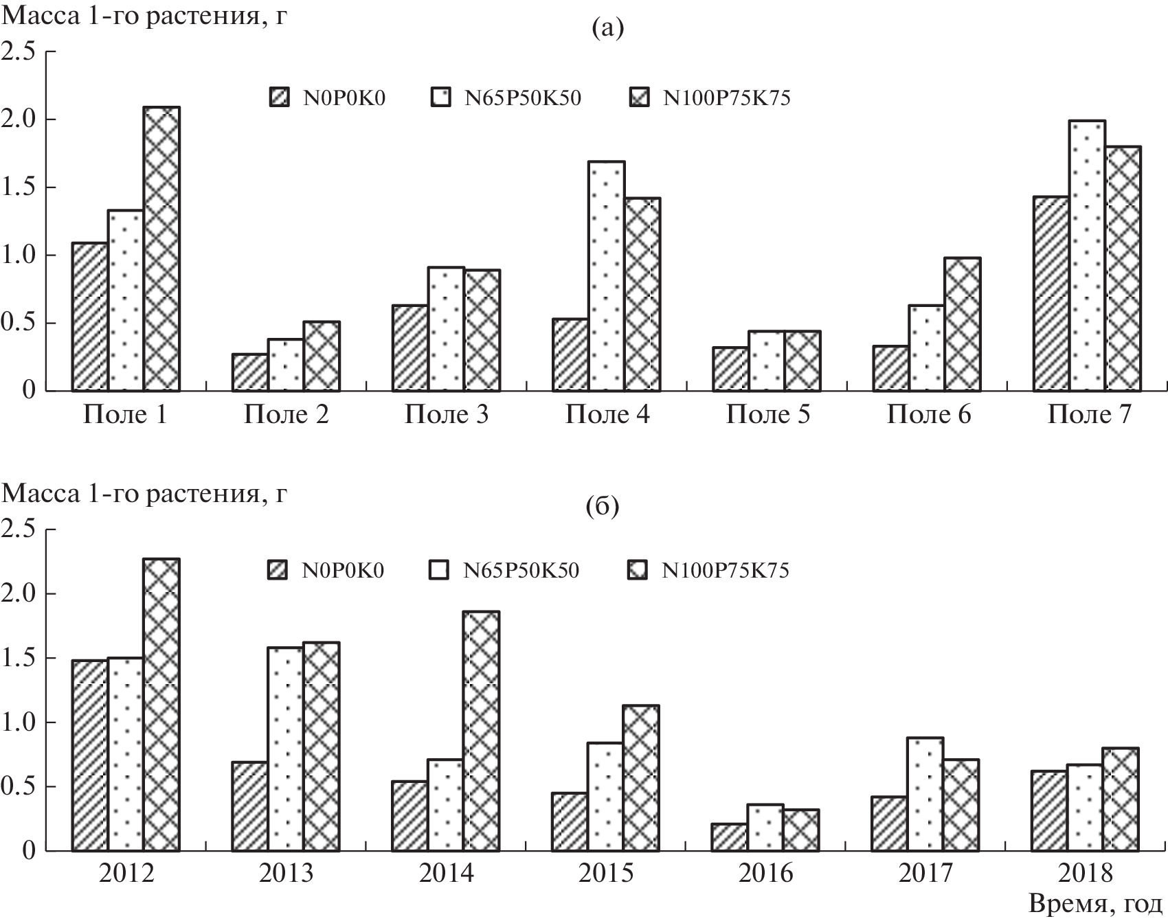
In a long-term study in a long-term stationary experiment, it was revealed that the effect of mineral fertilizers extended to the quantitative composition and structure of the contamination of fields of grain-grass crop rotation, but not to the species composition of weed vegetation. Under the influence of mineral fertilizers, the height and weight of weeds increased, but their number decreased during the period of co-growth with cultivated plants during the growing season (by 12.0–22.6%). In the absence of a pronounced competitiveness of cultivated plants in the non-maneuverable version of the experiment, the weeds from the spring period to the harvest increased by 47%. The contamination of fields with perennial dicotyledonous weed species and their relative abundance in fertilized variants decreased by 2.4–3.6 times, and with small-year dicotyledonous species increased by 1.3–1.4 times. White marjoram and pickles turned out to be responsive to the application of mineral fertilizers, while field thorice and wild radish mainly grew in an untreated version, where the acidity of the soil had higher indicators.
Авторлар туралы
A. Shpanev
Agrophysical Research Institute; All-Russian Institute of Plant Protection
Хат алмасуға жауапты Автор.
Email: ashpanev@mail.ru
Russia, 195220, Saint-Petersburg, Grazhdanskiy prosp. 14; Russia, 196608, Saint-Petersburg–Pushkin, shosse Podbel’skogo 3
V. Smuk
Agrophysical Research Institute; All-Russian Institute of Plant Protection
Email: ashpanev@mail.ru
Russia, 195220, Saint-Petersburg, Grazhdanskiy prosp. 14; Russia, 196608, Saint-Petersburg–Pushkin, shosse Podbel’skogo 3
M. Fesenko
Agrophysical Research Institute
Email: ashpanev@mail.ru
Russia, 195220, Saint-Petersburg, Grazhdanskiy prosp. 14
Әдебиет тізімі
- Полин В.Д. Влияние севооборота и удобрений на засоренность посадок картофеля и посевов озимой ржи // Агро XXI. 2009. № 4–6. С. 8–10.
- Конова А.М., Самойлов Л.Н., Державин Л.М. Эффективность комплексного применения удобрений и пестицидов на озимой ржи в полевом севообороте // Агрохимия. 2012. № 3. С. 13–24.
- Фомин Д.С., Ямалтдинова В.Р., Тетерлев И.С. Влияние вида пара и фона питания на засоренность посевов и продуктивность севооборотов // Пермск. аграрн. вестн. 2016. № 4 (16). С. 55–60.
- Иванов А.И., Фесенко М.А., Вертебный В.Е., Дубовицкая В.И. Результаты и развитие исследований в многолетнем стационарном полевом опыте в семипольном севообороте // Агрофизика. 2012. № 3. С. 50–57.
- Шпанев А.М., Фесенко М.А., Смук В.В. Эффективность применения минеральных удобрений и интегрированной системы защиты растений в полевом севообороте на Северо-Западе РФ // Агрохимия. 2021. № 1. С. 12–22.
- Зубков А.Ф. Методические указания по сбору полевой биоценологической информации с целью оценки вредоносности комплекса вредных организмов. Л.: ВИЗР, 1978. 18 с.
- Sorensen T. A method of establishing groups of equal amplitude in plant sociology based on similarity of species content and its application to analysis of the vegetation on Danish commons // Biol. Skrifter. 1948. № 5. P. 1–34.
- Шорыгин А.А. Питание, избирательная способность и пищевые взаимоотношения некоторых Goobiidae Каспийского моря // Зоол. журн. 1939. Т. 18. Вып. 1. С. 27–51.
- Труфанов А.М., Воронин А.Н., Исаичева У.А., Кононова М.К. Фитосанитарное состояние посева ярового рапса при применении ресурсосберегающих агротехнологий // Вестн. АПК Верхневолжья. 2015. № 1 (29). С. 22–25.
- Турусов В.И., Гармашов В.М., Корнилов И.М., Нужная Н.А., Гаврилова С.А. Влияние системы обработки почвы, удобрений, гербицида и регулятора роста на сорный компонент в посевах озимой пшеницы // Защита и карантин раст. 2015. № 12. С. 26–28.
- Шпанев А.М., Фесенко М.А. Влияние минерального питания на фитосанитарную обстановку в посевах ярового рапса на Северо-Западе РФ // Агрохимия. 2022. № 8. С. 44–50.
- Дудкин И.В. Научное обоснование приемов и систем регулирования засоренности посевов сельскохозяйственных культур в ландшафтном земледелии лесостепи Центрального Черноземья: Автореф. дис. … д-ра с.-х. наук. Курск, 2009. 38 с.
- Дудкин И.В., Дудкина Т.А. Влияние севооборотов на засоренность посевов // Земледелие. 2013. № 8. С. 40–42.
- Смук В.В., Шпанев А.М. Засоренность посадок картофеля, размещенных по пласту многолетних трав в Ленинградской области // Вестн. защиты раст. 2016. № 2 (88). С. 38–42.
- Титова Е.М., Внукова М.А. Эффективность комплексного применения удобрений и гербицида Димесол в посевах ярового ячменя // Вестн. ОрелГАУ. 2012. № 2. С. 32–35.
- Вьюгин С.М., Вьюгина Г.М. Регулирование фитосанитарного состояния агроценозов // Земледелие. 2015. № 12. С. 26–28.
- Шпанев А.М., Смук В.В., Фесенко М.А. Фитосанитарный эффект применения минеральных удобрений на посадках картофеля в Северо-Западном регионе // Агрохимия. 2017. № 12. С. 38–45.
Қосымша файлдар



