Transformation of the Forest Litter Microbial Community Introduced in to the Agrocenosis Soil
- Authors: Stetsenko S.K.1, Andreeva E.M.1, Terekhov G.G.2
-
Affiliations:
- Botanical Garden of the Ural Branch of Russian Academy of Sciences
- Botanical Garden Ural Branch of Russian Academy of Sciences
- Issue: No 3 (2024)
- Pages: 50-60
- Section: Agroecology
- URL: https://journal-vniispk.ru/0002-1881/article/view/257302
- DOI: https://doi.org/10.31857/S0002188124030078
- EDN: https://elibrary.ru/DNPBZZ
- ID: 257302
Cite item
Full Text
Abstract
The long-term use of pesticides in the forest nurseries of the Sverdlovsk region has led to a decrease in the quality of Scots pine (Pinus sylvestris L.) planting material. As a way to reduce pesticide stress and create optimal conditions suitable for the conifers growth, a once use of forest litter (20 kg/m2) was proposed. This substrate is easier to obtain from a plantation near to the forest agrocenosis. However, by something cases, forest litter may be obtained from locations that are geographically far from the forest nursery. The article presents the results of a study the possibility of applying forest litter obtained from places located at different distances from the forest nursery in the bioremediation of pesticide-contaminated soil and improving the quality of Scots pine planting material. In the field experiment, samples of the forest litter were taken near two forest nurseries and introduced into the soil of the experimental plots before sowing pine. Part of the plots contained roundup (3 l a. s./ha), the other remained without treatment. In each nursery, plots were created containing both litter from a nearby stand and from a more remote forest area. It was found that the peak of the transforming activity of the microbiocenosis in the introduced forest litter and decreasing of the pesticide contamination, most likely, will be observed in the first stages of the microbiocenosis introduction. The observed effect takes place regardless of the distance from the application site where the forest substrate was obtained.
Keywords
Full Text
ВВЕДЕНИЕ
Долговременная эксплуатация почв лесных питомников приводит к накоплению ряда отрицательных явлений, снижающих эффективность получения качественного посадочного материала хвойных растений [1–3]. Среди негативных последствий основным является повышенная пестицидная нагрузка на пахотную почву вследствие постоянного применения химических средств ухода за посевами, приводящая к накоплению остаточных количеств пестицидов и их метаболитов в корнеобитаемом слое [4]. Ранее было установлено, что фенотипические отклонения (тератоморфность) наиболее выражены у сеянцев сосны обыкновенной, причиной которых является систематическое применение пестицидов при уходе за посевами. Многолетние исследования данной проблемы подтвердили, что количество сеянцев сосны с нормальным фенотипом (у двулетних сеянцев прямой стволик с хорошим приростом в высоту) служит биологическим индикатором пестицидного загрязнения почвы и пригодности ее для выращивания данной породы [5]. Сеянцы с нарушением морфологического облика (условно нормальные и аномальные) – снижение прироста стволика при активно нарастающей хвое, развитие боковых побегов из почек у основания центрального побега – не пригодны к лесовосстановительным мероприятиям, поскольку обладают пониженной жизнеспособностью и не должны быть использованы при посадке на лесокультурной площади [6].
Самоочищение почвы от пестицидов может занимать не один десяток лет [7], и разработки, направленные на создание малозатратных и экологически безопасных технологий ускоренной ремедиации почв лесных агроценозов, приобретают актуальность и важны как в научном, так и в практическом плане. Микробиологический способ разложения пестицидов и их метаболитов рассматривается как наиболее перспективный вариант быстрого оздоровления почвы [8, 9]. Активно ведется разработка специализированных штаммов микроорганизмов, работающих против конкретного загрязняющего вещества [10–13]. Пока недостатком такого способа на данный момент является то, что подобные разработки пока еще не готовы к практическому применению прежде всего с точки зрения экономической рентабельности для лесных хозяйств.
В качестве альтернативного решения, позволяющего ослабить пестицидный стресс и создать оптимальные условия выращивания посадочного материала, подходящие для хвойных пород, было предложено однократное использование лесной подстилки [14]. Лесная подстилка является ценным биологическим ресурсом и может служить источником восстановления и сохранения биологического разнообразия агрофитоценозов. Это экологически оправданный метод биоремедиации, при котором ликвидируется загрязнение, а также создается благоприятная среда, специфичная по отношению к хвойным породам деревьев, что впоследствии облегчает адаптацию сеянцев при высадке их в лес.
Лесную подстилку легче получить из насаждения, близко расположенного к лесному агроценозу. Однако при ряде обстоятельств лесная подстилка может быть получена из мест, географически удаленных от лесного питомника. Эффективность использования “генетически близких” и “генетически далеких” подстилок от места их практического использования в целях биоремедиации пока не изучали.
Цель работы – обосновать возможность использования лесной подстилки, полученной из насаждений, расположенных на разном удалении от лесного питомника, в биоремедиации загрязненной пестицидами почвы и повышении качества посадочного материала сосны обыкновенной (Pinus sylvestris L.). В ходе исследования были поставленв следующие задачи: определить эффективность внесения лесных подстилок, собранных в различной удаленности от места проведения эксперимента, в процессе биоремедиации почвы, содержащей пестицид; изучить, как меняется соотношение основных таксономических групп микроорганизмов в почве с добавлением лесной подстилки за первый год роста сеянцев; выявить особенности формирования корневой системы сеянцев сосны при добавлении лесного мелиоранта в среду их роста.
МЕТОДИКА ИССЛЕДОВАНИЯ
Изучение эффекта внесения лесных подстилок в пахотную почву проводили в Балтымском и Березовском лесных питомниках (Березовское лесничество, Свердловская обл.), функционирующим на постоянных площадях более 40 лет. Расстояние между этими лесными агроценозами составляет 20 км. Почва Балтымского питомника характеризуется как суглинок легкий крупнопылеватый сильнокаменистый. Содержание гумуса – 4.8%, pHKCl 4.63, содержание подвижных форм фосфора и калия – 2.4 и 9.4 мг/100 г почвы соответственно. Почва Березовского питомника – суглинок средний крупнопылеватый. Содержание гумуса – 4.8%, pHKCl 3.91, содержание подвижных форм фосфора и калия – 0.9 и 9.0 мг/100 г почвы соответственно. По большинству агрохимических показателей почвы питомников можно считать слабоокультуренными. Анализ почвенных показателей выполнен в Экоаналитической лаборатории ИБ ФИЦ Коми НЦ УрО РАН по стандартным методикам.
В эксперименте испытывали 2 образца лесных подстилок из смешанных насаждений, которые вносили в пахотную почву за 10 сут перед посевом сосны: 1 – лесная подстилка из насаждения, расположенного на расстоянии 2 км от Балтымского лесного питомника (ЛП Балтымский), где проводили исследование, тип леса – сосняк травяно-липняковый с переходом к сосняку орляковому; 2 – лесная подстилка из насаждения, расположенного на расстоянии 1 км, от Березовского лесного питомника (ЛП Березовский), тип леса – сосняк ягодниковый с переходом к ельнику-сосняку травяному. Выбранные типы леса относятся к одной группе эдафических условий почв по режиму увлажнения – устойчиво свежие. Схема эксперимента состояла из так называемого “перекрестного” внесения подстилки – в почву питомников вносили 2 лесных субстрата как из отдаленного места сбора, так и из близкорасположенного. Соответственно вариантами эксперимента в обоих питомниках были: 1 – ЛП Балтымский, 2 – ЛП Березовский, 3 – контроль без добавления подстилки. Масса лесного субстрата (подстилки), вносенного весной перед посевом на 1 м2 пахотной почвы, составляла 20 кг в свежем состоянии. После его внесения площадки равномерно перекапывали на глубину 15–20 см. Половина опытных площадок в каждом питомнике была обработана раундапом (3 л д. в./га).
По окончанию вегетационного периода однолетние и двухлетние сеянцы сосны выкапывали и исследовали в лабораторных условиях. У двухлетних растений измеряли высоту и диаметр стволика и распределяли их на фенотипические группы [2]. По соотношению нормальных и тератоморфных сеянцев устанавливали эффективность биоремедиации почвы при внесении естественного микробоценоза. Для оценки состояния микробоценозов отбирали образцы почвы и подстилок перед добавлением субстратов в пашню и в конце первого вегетационного сезона уже в вариантах эксперимента. Учет количества микроорганизмов проводили по методу Новогрудского [15] – напылением почвы на “голодный” агар-агар, инкубирование в термостате и учет колоний в зоне обрастания почвенных частиц. Определение проводили в двукратной повторности. О развитии корневой системы сосны судили на основании морфометрических показателей: у однолетних сеянцев – длина главного корня, плотность проводящих и сосущих корней 1-го порядка, у двулетних – длина главного и бокового корня 1-го порядка, плотность размещения боковых корней 1-го порядка. Также у 1-летних сеянцев устанавливали интенсивность микоризации [16].
Результаты измерений параметров сеянцев анализировали методом математической статистики с применением программы Statistica 10.0. Полученные данные в выборках соответствовали нормальному распределению, сравнение результатов между показателями проводили с использованием t-критерия Стьюдента. Определение фактора, оказывающего значимое влияние на развитие корневой системы сеянцев, проводили методом дисперсионного анализа с использованием модуля “Breakdown & one-way ANOVA”.
РЕЗУЛЬТАТЫ И ИХ ОБСУЖДЕНИЕ
Анализ результатов распределения сеянцев по фенотипическим группам показал, что оба образца лесной подстилки в Балтымском питомнике улучшили условия произрастания посадочного материала сосны. Кроме того, они положительно влияли на состояние сеянцев: в площадках, где не было предварительной обработки гербицидом, и почва обладала только остаточным накопленным количеством загрязнения, применение лесного субстрата позволило получить сеянцев нормального фенотипа на 50% больше (табл. 1).
Таблица 1. Распределение 2-летних сеянцев сосны по фенотипическим группам
Вариант добавления мелиоранта | Вариант обработки почвы гербицидом | Нормальный фенотип, нормальные сеянцы, % | Тератоморфный фенотип, % | Всего, % | |
условно нормальные | аномальные | ||||
Балтымский питомник | |||||
ЛП Балтымский | без обработки | 58.7 | 31.9 | 9.4 | 100 |
раундап | 39.7 | 54.8 | 5.5 | 100 | |
ЛП Березовский | без обработки | 41.0 | 57.0 | 2.0 | 100 |
раундап | 42.7 | 52.7 | 4.6 | 100 | |
Контроль (без ЛП) | без обработки | 7.6 | 73.6 | 18.8 | 100 |
раундап | 2.3 | 95.4 | 2.3 | 100 | |
Березовский питомник | |||||
ЛП Балтымский | без обработки | 41.9 | 37.2 | 20.9 | 100 |
раундап | 27.1 | 56.0 | 16.9 | 100 | |
ЛП Березовский | без обработки | 16.3 | 51.8 | 31.9 | 100 |
раундап | 48.2 | 32.2 | 19.6 | 100 | |
Контроль (без ЛП) | без обработки | 34.9 | 57.8 | 7.3 | 100 |
раундап | 12.9 | 79.1 | 8.0 | 100 | |
В вариантах, где перед началом эксперимента площадки обрабатывали раундапом, также был отмечен положительный эффект от применения лесных подстилок, но количество нормальных сеянцев не сильно различалось в зависимости от образца лесного мелиоранта. В эксперименте на базе Березовского питомника такой ясной ответной реакции на внесение подстилок не было. В контрольном варианте было отмечено ≈35% сеянцев с нормальным фенотипом, в присутствии раундапа в почве это показатель ожидаемо снизился. Добавление лесных подстилок способствовало увеличению числа нормальных сеянцев на фоне загрязнения пестицидом. В отсутствие такового максимальный выход нормальных растений отмечен при добавлении подстилки из более дальнего месторасположения (ЛП Балтымский). Внесение лесных субстратов способствовало повышению количества сеянцев аномального фенотипа. В данном случае аномальность была связана с более активной инициацией роста боковых побегов из обычно спящих придаточных почек у основания стволика. В контрольных вариантах аномальное развитие сеянцев в основном было обусловлено торможением роста в высоту. Максимальный выход сеянцев с нормальным фенотипом отмечен в варианте с ЛП Балтымский с почвой без внесения раундапа и в варианте с ЛП Березовский при добавлении пестицида.
Результаты исследования основных биометрических показателей, по которым определяют стандартность сеянцев сосны, представлена в табл. 2.
Таблица 2. Основные биометрические показатели 2-летних сеянцев сосны обыкновенной (нормальный фенотип)
Вариант добавления мелиоранта | Вариант обработки почвы гербицидом | Балтымский питомник | Березовский питомник | ||
высота стволика, см | диаметр стволика, мм | высота стволика, см | диаметр стволика, мм | ||
ЛП Балтымский | без обработки | 13.3 ± 0.29 | 2.7 ± 0.08 | 9.7 ± 0.25 | 2.0 ± 0.08 |
раундап | 11.4 ± 0.31 | 2.6 ± 0.07 | 8.6 ± 0.14 | 1.9 ± 0.06 | |
ЛП Березовский | без обработки | 11.6 ± 0.24 | 2.5 ± 0.07 | 8.6 ± 0.21 | 2.0 ± 0.09 |
раундап | 12.5 ± 0.25 | 2.7 ± 0.10 | 11.3 ± 0.23 | 2.2 ± 0.06 | |
Контроль (без ЛП) | без обработки | 10.5 ± 0.29 | 2.0 ± 0.14 | 9.7 ± 0.19 | 2.0 ± 0.06 |
раундап | 7.8 ± 1.15* | 1.8 ± 0.45* | 8.9 ± 0.20 | 1.8 ± 0.05 | |
Примечание. В таблице приведены средние арифметические и стандартные ошибки. * Получено недостаточное количество растений для статистического анализа.
Показано, что добавление раундапа в пахотную почву стало причиной снижения показателей высоты и диаметра стволика в экспериментальных посевах в обоих питомниках. Внесение подстилки из близкорасположенного района в почву Балтымского питомника значительно улучшило показатели высоты и толщины стволика в сравнении с таковыми контрольного варианта (tфакт = 6.83 и tфакт = 4.34 соответственно при t05 = 2.00). Лесной субстрат, перенесенный из более отдаленного района (ЛП Березовский), также улучшил показатели высоты и диаметра стволика в сравнении с контролем, но немного в меньшей степени (tфакт = 2.92 и tфакт = 3.19 соответственно при t05 = 2.00). В вариантах с добавлением раундапа биометрические показатели были больше контроля (особенно в варианте с ЛП Березовский), однако достоверность различий не приведена, поскольку совокупность нормальных сеянцев в данном случае была слишком мала для статистического анализа.
В Березовском питомнике в контрольном варианте внесение раундапа привело к уменьшению размеров высоты и толщины стволика. Различие в контрольных вариантах по этим показателям было небольшое, но достоверное: tфакт = 2.90 и tфакт = 2.56 соответственно при t05 = 2.00. Внесение подстилки из более дальнего источника (ЛП Балтымский) не повлияло на улучшение изучаемых биометрических характеристик сосны.
Местный образец подстилки (ЛП Березовский) значительно улучшил условия роста сеянцев в случае добавления раундапа – достоверность различия по показателям высоты и диаметра стволика с контрольным вариантом составила tфакт = 7.87 и tфакт = 5.12 соответственно при t05 = 2.00. Однако в варианте без внесения раудапа добавление этого субстрата значительно ухудшило условия роста сеянцев, что выразилось в достоверном уменьшении высоты сеянцев (tфакт = 3.88 при t05 = 2.00). Стоит заметить, что характер изменения биометрических показателей сеянцев в какой-то степени соответствовал характеру распределения сеянцев по фенотипическим группам, приведенному в табл. 1.
В целом можно сделать заключение, что лесная подстилка из Березовского р-на показала свою эффективность как способ биоремедиации почвы в обоих лесных питомниках. Вероятно, что добавление раундапа приводило к росту его минерализации микробами, а также образование растительных остатков вследствие внесения пестицида делало их источниками питания для внесенного микробоценоза. Такой эффект отмечен ранее в литературе [17–19]. Можно предположить, что трансформирующая деятельность микробов в составе этой подстилки снижало количество пестицида, тем самым увеличивая выход сеянцев нормального фенотипа. В то же время в отсутствии свежего внесения раундапа количество сеянцев с нормальным фенотипом и стандартными размерами снижалось в Березовском питомнике. Вероятная причина такого эффекта обусловлена механическим составом почвы в этом агроценозе – среднесуглинистая почва обладает более выраженными адсорбционными свойствами по сравнению с более легкой по гранулометрическому составу почвой в Балтымском питомнике. Многолетнее использование пестицидов приводит к тому, что почва агроценозов загрязнена стойкими органическими соединениями. Раундап, который в последние десятилетия активно применяли в питомниках области, имеет чрезвычайно высокую адсорбционную способность [20] и, предположительно, постоянно находится в связанном состоянии в составе почвенных агрегатов. Внесение микробоценоза с высокой трансформирующей активностью в отсутствии дополнительных источников питания будет разрушать почвенные частицы и высвобождать пестициды и их остатки, делая их доступными для растений. Трансформирующая активность лесной подстилки из Балтымского р-на оказалась не такой высокой, как в другом образце. Вероятно, это связано с иным соотношением и количеством основных таксономических групп микроорганизмов в составе лесной подстилки, что будет рассмотрено далее.
Общее количество микроорганизмов в лесных подстилках перед добавлением их в почву опытных вариантов было больше, чем в исходной почве агроценозов: ЛП Балтымский – превышение количества микроорганизмов почти на 60, ЛП Березовский – на 85% (рис. 1.)
Рис. 1. Соотношение основных групп и количество микроорганизмов в исходных лесных субстратах и почве лесного питомника перед началом эксперимента
Последнее, вероятно, указывало на слабую окультуренность пахотного слоя почвы лесных питомников, поскольку показано, что в верхнем слое дерново-подзолистой почвы в лесных насаждениях содержится меньше микроорганизмов, чем в ее окультуренном варианте [21]. Лесной субстрат, полученный из Березовского р-на, отличался более высоким содержанием микробных клеток, чем из Балтымского. Изучение соотношения между таксономическими группами микроорганизмов показало, что почва и лесной субстрат из Балтымского р-на резко различались между собой – в лесном образце преобладали актиномицеты, и только небольшая часть приходилась на грибы и бактерии. В образце из питомника, отобранном перед началом эксперимента, преобладала бактериальная составляющая. Соотношение групп микроорганизмов в подстилке и почве питомника из Березовского р-на было похожим – преобладали грибы (в почве питомника их было на 10% больше, чем в лесном субстрате) и бактерии, и только небольшую часть составляли актиномицеты.
Учет количества микроорганизмов в образцах почвы, отобранных в опытных площадках по завершению вегетационного сезона 1-го года роста сеянцев, показал, что соотношение грибов, бактерий и актиномицетов в вариантах, где был внесен лесной микробоценоз и где такового не было, носило схожий характер. В пахотной почве Балтымского питомника преобладали бактерии, в почве Березовского – бактерии и грибы были примерно в одинаковых пропорциях. Актиномицеты составляли ≈10% от общего количества микробов как в первом, так и во втором питомнике. Количество микробов в Березовском питомнике было больше, чем в Балтымском (рис. 2).
Рис. 2. Соотношение основных групп и количество микроорганизмов в почве лесных питомников в конце первого вегетационного сезона. ( – грибы, – бактерии, – актиномицеты, тыс. шт./г почвы)
Наличие пестицида в почве не влияло на соотношение таксономических групп микроорганизмов, но вызвало увеличение числа микробных организмов почти во всех вариантах в обоих питомниках. Последнее согласовалось с фактами увеличения численности микроорганизмов и их метаболической активности как ответной реакции микробоценоза на внесение пестицидов. Предполагали, что это связано с поступлением отмерших растительных остатков в результате химической обработки сорняков, которые, в свою очередь, создали кормовую базу для микроорганизмов.
Внесение лесной подстилки из Березовского р-на привело к увеличению общего количества микроорганизмов на 56% при ее использовании в Балтымском питомнике. В присутствии раундапа небольшое увеличение числа колоний отмечено при внесении местной подстилки – на 11% от контроля. В свою очередь, в Березовском питомнике внесение в почву лесного субстрата из отдаленного района не оказало влияния на этот показатель в незагрязненных вариантах, а при загрязнении отмечено также небольшое увеличение количества микробов (на 11%). При использовании местной подстилки различий данного показателя к концу вегетационного сезона почти не наблюдали.
Анализируя динамику изменения соотношения основных таксономических групп в пахотном слое почвы лесного агроценоза, можно прийти к выводу, что достаточно одного летнего периода, чтобы сообщество микроорганизмов приобрело сбалансированный характер, соответствующий условиям данного местообитания. Соответственно, можно предположить, что при внесении в агропочву лесных микроорганизмов, пик их трансформирующей активности и сопровождающая ее интенсификация процессов разложения пестицидного загрязнения, вероятнее всего, будет наблюдаться сразу после переноса микробоценоза. В итоге, можно наблюдать рост количества сеянцев сосны с нормальным фенотипом.
Помимо биометрических характеристик, на основании которых определяют стандартность посадочного материала сосны, т. е. высота стволика и его диаметр, необходимо обратить внимание на развитие корневой системы сеянцев. Эта часть растения в бо́льшей степени имеет функциональное значение, и ее состояние влияет как на ростовые параметры, так и на степень жизнеспособности сосны: сеянцы с более разветвленными корнями показывают способность к быстрой инициации новых корневых окончаний, что делает их более приспособленными к пересаживанию [22].
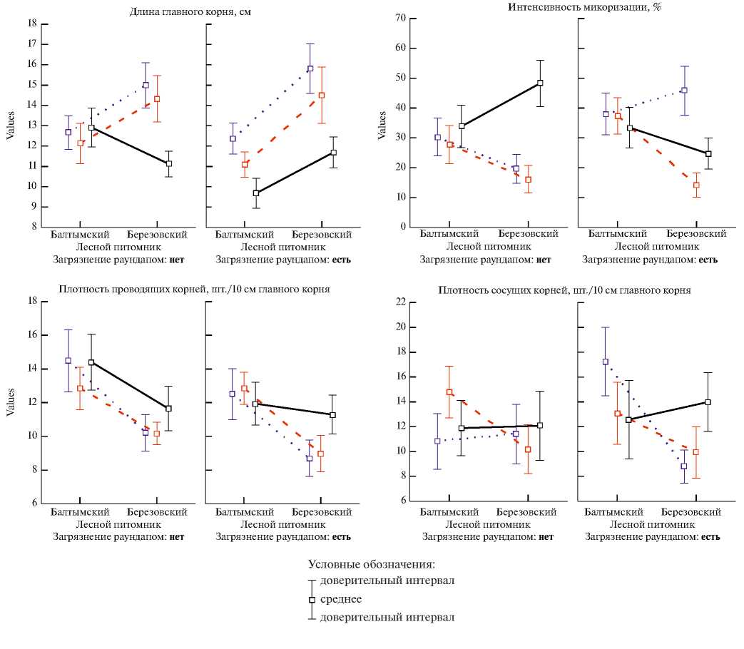
Статистическую оценку влияния внесенного в пахотную почву мелиоранта на параметры корневой системы сеянцев проводили методом дисперсионного анализа. Рассматривали влияние фактора “вариант” (контроль или внесение лесной подстилки). Группирующими переменными были “лесной питомник” (Березовский, Балтымский), “загрязнение раундапом” (есть, нет). Характеристики, описывающие развитие подземной части сеянцев, представлены на рис. 3 и 4 в виде средних показателей и их доверительных интервалов. Такое графическое изображение позволяет судить о достоверности различий средних с уверенностью в 95% случаев, если границы интервалов не перекрываются.
Рис. 3. Характеристика корневой системы 1-летних сеянцев сосны (––––– – контроль, ----- – ЛП Балтымский, ----- – ЛП Березовский)
Рис. 4. Характеристика корневой системы 2-летних сеянцев сосны (––––– – контроль, ----- – ЛП Балтымский, ----- – ЛП Березовский)
Показано, что у однолетних сеянцев сосны в Балтымском питомнике внесение лесной подстилки вне зависимости от источника ее отбора не повлияло на длину главного корня, в то время как в Березовском питомнике лесной мелиорант привел к удлинению корневой системы. При наличии пестицидного загрязнения главный корень в вариантах с подстилками был значительно длиннее, чем у контрольных сеянцев в обоих агроценозах. Добавление подстилки снизило плотность проводящих и сосущих корней в Березовском питомнике, особенно под действием загрязнения. Вероятно, это могло быть связано с более интенсивным ростом главного корня в данных почвенных условиях.
Внесение лесного микробоценоза в почву почти не повлияло на интенсивность микоризации корней сеянцев в Балтымском питомнике. В то же время этот показатель достоверно снижался в условиях более тяжелой по гранулометрическому составу почвы другого агроценоза. Исключение составил вариант с внесением ЛП Балтымский в условиях загрязнения. Возможно, одной из причин явилось то, что в этом случае микробоценоз активно перерабатывал загрязнение, и в данной опытной площадке было отмечено более высокое содержание микробных колоний к концу вегетационного сезона.
Тенденция к удлинению главного корня продолжилась на 2-й год роста сеянцев. В Балтымском питомнике в вариантах с добавлением лесного субстрата этот показатель превышал контроль как в отсутствии загрязнения, так и при его наличии. В Березовском питомнике внесение местной подстилки привело к существенному увеличению длины главного корня. Кроме того, в этом же опытном участке был более выражен рост боковых корней в вариантах с подстилкой, однако, различия не были достоверными. В Балтымском питомнике плотность боковых корней была снижена у сеянцев в вариантах с лесной подстилкой независимо от источника ее происхождения. В Березовском питомнике различий по показателю плотности размещения боковых корней между вариантами эксперимента не наблюдали.
Таким образом, большинство показателей корневой системы сеянцев, росших под воздействием лесной подстилки, а также тенденции к их изменению относительно контроля были схожими независимо от того, с какого расстояния от места применения был получен лесной материал. Отмечено лишь, что в варианте с внесением микробоценоза из более удаленного от питомника источника в среднесуглинистую почву с более интенсивным пестицидным загрязнением существенно увеличивалась степень микоризации корней однолетних сеянцев.
В целом, обобщая приведенные выше результаты влияния лесной подстилки на состояние сеянцев, можно сделать заключение о благоприятном влиянии данного способа мелиорации на сосну обыкновенную, особенно в условиях пестицидного загрязнения почвы. В то же время, в силу многих очевидных причин лесную подстилку нельзя применять в промышленных масштабах – это неотъемлемая часть лесного биогеоценоза, при значительном изъятии которой, он не сможет нормально функционировать. Для целей почвоулучшения лесная подстилка может быть получена при катастрофическом нарушении древостоя с последующим удалением верхнего почвенного слоя, которое происходит почти ежегодно во многих случаях: при расширении городских территорий, строительстве промышленных и гражданских объектов, вскрышных работах с последующей организацией карьеров, прокладке и расширении магистралей (шоссейных и железнодорожных дорог), линий электропередач и др. Площади таких земель составляют сотни и даже тысячи га. При этом объем верхнего слоя почвы, включая лесную подстилку, достигает только на одном объекте сотни кубических метров, поэтому небольшая часть верхнего, наиболее гумусированного слоя почвы, может быть изъята для разового применения в питомниках на загрязненных посевных полях.
К тому же это сложный природный субстрат, обладающий весьма разнообразными свойствами и содержанием – существуют работы, где указано, что это непредсказуемый материал и при его применении даже возможен занос на питомник возбудителей заболеваний, в том числе шютте сосны [23]. Однако ранее в нашей работе подтвердили, что лесная подстилка не является источником распространения этого заболевания [24]. Данных по использованию лесной подстилки для улучшения роста сеянцев в литературе немного. Ранее было показано, что внесение подстилки стимулировало рост корней сосны и обогащало почву полезной микрофлорой, необходимой для формирования микоризы с оптимальной структурой [25]. Целесообразность применения этого природного мелиоранта для выращивания различных пород деревьев также подтверждена в других исследованиях [26, 27]. В нашем случае также изучали внесение природного микробоценоза в почву лесного питомника, и был достигнут положительный результат по ряду показателей. Однако исследований внесения лесного мелиоранта в условиях пестицидного загрязнения почвы пока не проводили, и нет данных о том, как меняется микробное сообщество лесной подстилки при переносе его в пашню лесного питомника.
ЗАКЛЮЧЕНИЕ
Таким образом, нами продемонстрировано, что лесная подстилка из смешанного по породному составу насаждения может служить основой для экологически безопасного способа биоремедиации почвы лесных питомников при пестицидном загрязнении. При попадании в агропочву лесных микроорганизмов пик их трансформирующей активности и сопровождающую ее интенсификацию процессов разложения пестицидного загрязнения, вероятнее всего, можно наблюдать практически сразу после интродукции микробоценоза. Как следствие, при этом будет снижаться уровень пестицидного загрязнения, возможен рост количества сеянцев сосны с нормальным фенотипом. Обнаруженный эффект имел место вне зависимости от того, с какого расстояния от места применения был получен лесной субстрат. Подтверждено, что достаточно одного летнего периода, чтобы соотношение основных таксономических групп внесенных микроорганизмов приобрело сбалансированный характер, соответствующий местному микробоценозу лесного питомника. Изучение корневой системы сеянцев, росших под воздействием лесной подстилки, также показало, что тенденции к их изменению относительно контроля в основном были схожими независимо от того, с какого расстояния от места применения был получен лесной материал. Отмечено, что в варианте с внесением микробоценоза из более удаленного от питомника источника в среднесуглинистую почву с более интенсивным пестицидным загрязнением существенно увеличивалась степень микоризации корней однолетних сеянцев.
About the authors
S. K. Stetsenko
Botanical Garden of the Ural Branch of Russian Academy of Sciences
Email: stets_s@mail.ru
Russian Federation, Ekaterinburg
E. M. Andreeva
Botanical Garden of the Ural Branch of Russian Academy of Sciences
Email: stets_s@mail.ru
Russian Federation, Ekaterinburg
G. G. Terekhov
Botanical Garden Ural Branch of Russian Academy of Sciences
Author for correspondence.
Email: stets_s@mail.ru
Russian Federation, Ekaterinburg
References
- Родин А.З., Попова Н.Я., Стукушин М.Н., Лободюк В.Д., Кандыба Е.В. Биологический способ реабилитации почв, подвергающихся интенсивной химизации в лесных питомниках // Лесн. вестн. 1998. № 3. С. 104–107.
- Фрейберг И.А., Ермакова М.В., Стеценко С.К. Модификационная изменчивость сосны обыкновенной в условиях пестицидного загрязнения. Екатеринбург: УрО РАН, 2004. 74 с.
- Фомина Н.В., Демиденко Г.А., Сорокин Н.Д. Эколого-микробиологический мониторинг почвы лесного питомника Красноярского края // Вестн. КрасГАУ. 2006. № 10. С. 146–152.
- Gevao B., Semple K.T., Jones K.C. Bound pesticide residues in soil: a revew // Environ. Pollut. 2000. V. 108. P. 3–14.
- Фрейберг И.А., Ермакова М.В., Стеценко С.К. Критерии оценки посадочного материала сосны обыкновенной // Лесн. хоз-во. 2009. № 2. С. 33–35.
- Фрейберг И.А., Ермакова М.В., Стеценко С.К. Физиолого-биохимические отклики сосны на действие пестицидов // Вестн. Алтай. ГАУ. 2011. № 11(85). С. 36–39.
- Ананьева Н.Д. Микробиологические аспекты самоочищения и устойчивости почв. М.: Наука, 2003. 222 с.
- Лунев М.И. Пестициды и охрана агрофитоценозов. М.: Колос, 1992. 269 с.
- Karpouzas D., Singh B. Microbial degradation of organophosphorus xenobiotics: Metabolic pathways and molecular basis // Adv. Microb. Physiol. 2006. V. 51. P. 119–185.
- Krzyśko-Lupicka T., Strof W., Kubś K., Skorupa M., Wieczorek P., Lejczak B., Kafarski P. The ability of soil-borne fungi to degrade organophosphonate
- Carbon-to-phosphorus bonds // Appl. Microbiol. Biotechnol. 1997. № 48. P. 549–552.
- Шушкова Т.В., Васильева Г.К., Ермакова И.Т., Леонтьевский А.А. Сорбция глифосата и его микробная деградация в почвенных суспензиях // Прикл. биохим. и микробиол. 2009. Т. 45. № 6. С. 664–669.
- Круглов Ю.В., Пароменская Л.Н. Микробиологические факторы биоремедиации почвы, загрязненной пестицидом прометрином // Сел.-хоз. биол. 2011. № 3. С. 76–80.
- Соляникова И.П., Головлева Л.А. Физиолого-биохимические свойства актинобактерий как основа их высокой биодеградативной активности (обзор) // Прикл. биохим. и микробиол. 2015. Т. 51. № 2. С. 132–139.
- Фрейберг И.А., Стеценко С.К. Биологические параметры очистки почв от пестицидной токсичности // Экол. и пром-ть России. 2013. № 2. С. 40–42.
- Разумовская З.Г., Чижик Г.Я., Громов Б.В. Лабораторные занятия по почвенной микробиологии. Л.: Изд-во ЛГУ, 1960. 184 с.
- Веселкин Д.В. Функциональное значение микоризообразования у однолетних сеянцев сосны и ели в лесных питомниках // Вестн. ОГУ. 2006. № 4. С. 12–18.
- Nourouzi M.M., Chuah T.G., Choong T.S.Y., Lim C.J. Glyphosate utilization as the source of carbon: isolation and identification of new bacteria // E-J. Chem. 2011. № 8(4). P. 1582–1587.
- Горленко М.В., Якименко О.С., Голиченков М.В., Костина Н.В. Функциональное биоразнообразие почвенных микробных сообществ при внесении МГУ. Сер. 17. Почвоведение. 2012. № 2. С. 20–27.
- Заргарян Н.Ю., Кекало А.Ю., Немченко В.В. Влияние предпосевного применения гербицидов на почвенную микрофлору // Агрохимия. 2021. № 10. С. 62–67.
- Жариков М.Г., Спиридонов Ю.Я. Изучение влияния глифосатсодержащих гербицидов на агроценоз // Агрохимия. 2008. № 8. С. 81–89.
- Благовещенская Г.Г., Духанина Т.М. Микробные сообщества почв и их функционирование в условиях применения средств химизации // Агрохимия. 2004. № 2. С. 80–88.
- Davis A.S., Jacobs D.F. Quantifying root system quality of nursery seedlings and relationship to outplanting performance // New Forests. 2005. V. 30(2–3). P. 295–311.
- Балков В.В., Бойко Т.А., Жебряков В.Н., Малеев К.И., Разин Г.С., Романов А.В., Чикунов М.Л. Проблемы лесовосстановления Прикамья. СПб.: Наука, 2009. 146 с.
- Стеценко С.К., Андреева Е.М., Терехов Г.Г. К вопросу о фитопатологической безопасности использования лесной подстилки для борьбы с пестицидным загрязнением почвы в лесопитомнике // Микол. и фитопатол. 2019. Т. 53(2). С. 124–130.
- Rudawska M., Leski T., Aučina A., Karlińskj L., Skirdalia A., Ryliškis D. Forest litter amendment during nursery stage influence field performance and ectomycorrhizal community of Scots pine (Pinus sylvestris L.) seedlings outplanted on four different sites // Forest Ecol. Manag. 2017. V. 395. P. 104–114.
- Brearley F.Q., Press M.C., Scholes J.D. Nutrients obtained from leaf litter can improve the growth of dipterocarp seedlings // New Phytol. 2003. V. 160(1). P. 101–110.
- Aučina A., Rudawska M., Leski T., Skridaila A., Pašakinskiene I., Riepšas E. Forest litter as the mulch improving growth and ectomycorrhizal diversity of bare–root Scots pine (Pinus sylvestris) seedlings // IForest. 2015. V. 8. P. 394–400.
Supplementary files






