Влияние возрастающих доз азотных удобрений на продуктивность полевых культур и калийный режим дерново-подзолистой почвы
- Авторы: Васбиева М.Т.1
-
Учреждения:
- Пермский научно-исследовательский институт сельского хозяйства – филиал ПФИЦ УрО РАН
- Выпуск: № 11 (2024)
- Страницы: 12-18
- Раздел: Удобрения
- URL: https://journal-vniispk.ru/0002-1881/article/view/263722
- DOI: https://doi.org/10.31857/S0002188124110021
- EDN: https://elibrary.ru/aihepw
- ID: 263722
Цитировать
Полный текст
Аннотация
В длительном опыте, заложенном в 1972 г. на дерново-подзолистой тяжелосуглинистой почве, изучили действие возрастающих доз азотных удобрений на продуктивность полевых культур и калийный режим почвы. Схема опыта включала варианты: без удобрений, P60K60 (фон), фон + N30, фон + N60, фон + N90, фон + N120. Анализ урожайности сельскохозяйственных культур в 6-й ротации севооборота (2013–2019 гг.) показал, что наиболее эффективным под яровые зерновые культуры (пшеницу, ячмень, овес) было внесение N30P60K60, под картофель – N60P60K60. Наибольшая урожайность сена клевера отмечена в вариантах P60K60 и N30P60K60. Максимальная продуктивность полевого 8-польного севооборота (4.19 т з.е./га/год) и окупаемость 1 кг д.в. удобрений (8.7 кг з.е.) получена при внесении N30P60K60. Исследования валового содержания калия, его легкообменных, подвижных и необменных соединений в почве проведены в конце 6-й ротации севооборота в слое 0–60 см. Выявлено, что длительное применение азотных удобрений приводило к увеличению подвижности соединений калия в почве. Установлено достоверное увеличение содержания легкообменных и подвижных соединений калия в 1.2–1.9 раза относительно фона в слоях 0–20 и 40–60 см почвы при внесении N60–120. При длительном использовании дозы N30 отмечены только тенденции к увеличению содержания данных форм калия, что могло быть результатом применения низкой дозы или связано с максимальным выносом калия растениями за ротацию в данном варианте. Внесение максимальной дозы удобрений (N120P60K60) привело к увеличению необменных соединений калия (в 1.1 раза), что возможно было связано с разрушением минеральной части почвы. Сравнение вариантов P60K60 и N60P60K60 показало, что поддержание содержания подвижных соединений калия на исходном уровне (1972 г.) при применении полного минерального удобрения происходило в большей степени за счет влияния азотных удобрений на растворимость и доступность калийных соединений. Влияние длительного применения фосфорно-калийных удобрений P60K60 и возрастающих доз азотных удобрений на валовое содержание в дерново-подзолистой тяжелосуглинистой почве калия не выявлено.
Полный текст
ВВЕДЕНИЕ
Получение высоких и стабильных урожаев возделываемых культур – основная задача сельскохозяйственного производства, выполнение которой невозможно без грамотного применения удобрений. Объективную оценку потребности в удобрениях дают исследования в длительных опытах применительно к конкретным почвенно-климатическим условиям для каждой зоны России [1–3]. Использование любой системы удобрения имеет свои последствия относительно изменений плодородия почвы. К числу приоритетных и требующих пристального внимания направлений исследований в аграрной науке относится изучение калийного режима почв. Калий – важный элемент питания, который играет ключевую роль в различных физиологических и биохимических процессах растений [4–6]. При длительном некомпенсируемом выносе сельскохозяйственными культурами калия в почве нарушаются механизмы саморегуляции содержания почвенных калийных форм и происходит истощение их подвижных фракций, деградирует эффективное и потенциальное плодородие почвы [7–9]. Длительное применение удобрений оказывает влияние на изменение калийного фонда почвы, его направленность обусловлена генетическими свойствами почв, видами, дозами и длительностью внесения удобрений [8, 10, 11]. В некоторых работах отмечено, что в результате применения высоких доз (>90 кг д. в./га) минеральных удобрений (особенно физиологически кислых), а также при интенсивной механической обработке почвы происходит изменение (нарушение) минералогического и гранулометрического состава почвы [12–14]. В исследовании [12] наиболее существенные изменения отмечены при внесении высоких доз азотного, калийного и полного минерального удобрения. В результате кислотного гидролиза минералов произошло механическое дроб- ление почвенной массы и обеднение илом пахотного слоя, что вызвало заметное сокращение ближнего резерва калия и ослабление способности почвы к восполнению подвижной формы. Систематическое применение N120Р150K120 привело также к существенным изменениям в соотношении минеральных фаз и структуре слоистых силикатов, направленным в сторону необратимой трансформации и разрушения минеральной части почвы.
Цель работы – изучение влияния возрастающих доз азотных удобрений на продуктивность полевых культур полевого севооборота и калийный режим дерново-подзолистой тяжелосуглинистой почвы.
МЕТОДИКА ИССЛЕДОВАНИЯ
Исследование проводили в Пермском НИИСХ – филиале ПФИЦ УрО РАН в длительном опыте 1972 г. закладки. Схема опыта, варианты: 1 – без удобрений (контроль), 2 – P60K60 (фон), 3 – фон + N30, 4 – фон + N60, 5 – фон + N90, 6 – фон + N120. Размещение вариантов систематическое, повторность трехкратная. Общая площадь делянки 95 м2. Исследование проводили в полевом 8-польном парозернопропашном севообороте с чередованием культур: чистый пар–озимая рожь–картофель–яровая пшеница с подсевом клевера–клевер 1-го года пользования (г. п.)–клевер 2-го г. п. – ячмень–овес. Опыт заложен на участке со следующими агрохимическими показателями: содержание гумуса – 2.3%, рНKCl – 5.3, гидролитическая кислотность – 2.8, обменная кислотность – 0.028 и сумма поглощенных оснований – 18.8 мг-экв/100 г, степень насыщенности основаниями – 87%, содержание подвижного фосфора и калия – 115 и 170 мг/кг соответственно. Формы примененных удобрений – аммонийная селитра или мочевина, двойной или простой суперфосфат, калий хлористый. Удобрения вносили под зерновые культуры и картофель, в посеве клевера изучали последействие. Солому в опыте с 2013 г. не отчуждали с поля.
Почвенные образцы отбирали в конце 6-й ротации севооборота (2018–2019 гг.) по слоям 0–20, 20–40, 40–60 см. Отбор проводили буром в 5-ти точках на делянке, образцы смешивали. Основные агрохимические показатели почвы определяли в соответствии с ГОСТами и методиками ЦИНАО. Содержание различных форм калия изучали с использованием следующих методов: легкоподвижной – в 0.01 М СаСl2 вытяжке, подвижной – по Кирсанову, необменной – по Гедройцу. Валовое содержание калия определяли после мокрого озоления в смеси концентрированной серной кислоты и пероксида водорода [15]. Статистическую обработку данных проводили по Б.А. Доспехову (1985) с использованием Microsoft Excel.
Исследование проводили в IV агроклиматическом районе Пермского края. В физико-географическом отношении район находится в подзоне южной тайги и хвойно-широколиственных лесов. Климат – умеренно-континентальный с холодной, продолжительной, снежной зимой и теплым коротким летом. Сумма средних суточных температур >10°С составляет 1700–1900°С. Переход среднесуточных температур воздуха через 10°С весной приходится на 2-ю декаду мая, осенью – на конец 1-й–начало 2-й декады сентября. Длительность периода активной вегетации в среднем составляет 115 сут, с температурой >15°C – 60 сут. Район относится к зоне достаточного увлажнения: средний ГТК = 1.4, осадков за год выпадает 470–500 мм, бóльшая часть которых приходится на теплое полугодие – с апреля по октябрь (66–77%). Число дней со снежным покровом в среднем составляет 176 [16].
РЕЗУЛЬТАТЫ И ИХ ОБСУЖДЕНИЕ
Анализ урожайности сельскохозяйственных культур в 6-й ротации севооборота (2013–2019 гг.) показал, что применение P60K60 обеспечило достоверное увеличение урожайности клубней картофеля на 27% и сена клевера лугового 2-го г. п. – почти в 2 раза (табл. 1).
Таблица 1. Изменение урожайности полевых культур и продуктивности севооборота при длительном применении возрастающих доз азотных удобрений (6-я ротация, 2013–2019 гг.)
Вариант | Урожайность, т/га | Продуктивность, т з. е./га/ год | Окупаемость 1 кг д. в. NPK, кг з. е. | ||||||
озимая рожь (зерно) | картофель (клубни) | яровая пшеница (зерно) | Клевер 1-го г. п. (сено 16%) | Клевер 2-го г. п. (сено 16%) | ячмень (зерно) | овес (зерно) | |||
Без удобрений | 4.5 | 18.4 | 3.1 | 4.5 | 2.6 | 3.7 | 3.5 | 3.38 | – |
P60K60 (фон) | 4.6 | 23.4 | 3.2 | 5.8 | 4.9 | 3.7 | 4.0 | 3.86 | 6.4 |
Фон + N30 | 4.7 | 26.3 | 3.6 | 5.7 | 5.0 | 4.3 | 4.4 | 4.19 | 8.7 |
Фон + N60 | 3.9 | 28.4 | 3.5 | 5.1 | 3.9 | 4.4 | 3.4 | 3.88 | 4.5 |
Фон + N90 | 3.9 | 28.9 | 3.7 | 5.3 | 3.5 | 4.1 | 3.6 | 3.88 | 3.8 |
Фон + N120 | 3.9 | 24.1 | 3.2 | 5.0 | 4.7 | 4.0 | 4.4 | 3.80 | 2.8 |
НСР05 | 0.6 | 4.0 | 0.2 | Fф < Fт | 1.4 | 0.4 | 0.6 | 0.32 | – |
Использование азотных удобрений в дозе 30 кг д. в./га на фоне P60K60 привело к росту урожайности яровых зерновых культур (пшеницы, ячменя, овса) на 16–26%, клубней картофеля – на 43% и сена клевера лугового 2-го года пользования (г.п.) – в 2 раза относительно контрольного варианта. Дальнейшее увеличение дозы азотных удобрений не оказало существенного влияния на урожайность яровой пшеницы, ячменя, овса и клевера лугового. Отмечены тенденции к уменьшению урожайности озимой ржи что, по-видимому, было связано с полеганием культуры. Более отзывчивой культурой на увеличение дозы азотных удобрений на фоне P60K60 оказался картофель. Выделился вариант N60P60K60, в котором урожайность клубней составила 28.4 т/га (на 54% больше контроля).
Максимальная продуктивность полевого 8-польного севооборота (4.19 т з. е./га/год) и окупаемость 1 кг д. в. удобрений (8.7 кг з. е.) в опыте получена при использовании дозы азотных удобрений N30 на фоне P60K60. Наименьшая продуктивность севооборота (3.80 т з. е./га/год) и окупаемость удобрений (2.8 кг з. е.) отмечена в варианте N120P60K60.
Баланс калия в почве в вариантах в 6-й ротации севооборота варьировал от –31 до –52 кг/га (табл. 2).
Таблица 2. Хозяйственный баланс калия в полевом восьмипольном севообороте (6-я ротация)
Вариант | Вынос | Поступило* | Баланс +/–, кг/га в год | Интенсивность баланса, % |
кг/га за ротацию | ||||
Без удобрений | 442 | 26 | –52 | 6 |
P60K60 (фон) | 581 | 326 | –32 | 56 |
Фон + N30 | 636 | 326 | –39 | 51 |
Фон + N60 | 602 | 326 | –35 | 54 |
Фон + N90 | 602 | 326 | –35 | 54 |
Фон + N120 | 575 | 326 | –31 | 57 |
* С удобрениями и семенами.
Внесение калия хлористого в дозе 60 кг д. в./га под зерновые культуры и картофель обеспечило интенсивность баланса 51–57%. Солому в опыте в 6-й ротации с поля не отчуждали. За 48 лет ведения опыта (с учетом выноса соломой в 1–5-й ротациях) сельскохозяйственные культуры в зависимости от варианта потребили из почвы от 3.3 до 4.9 т K2O/га.
Содержание в почве легкообменных, подвижных и необменных соединений калия при длительном внесении P60K60 сохранилось на уровне контрольного варианта (табл. 3).
Таблица 3. Изменение содержания легкообменных, подвижных и необменных соединений калия по профилю почвы при длительном применении возрастающих доз азотных удобрений (6-я ротация), мг/кг
Вариант | Легкообменные | Подвижные | Необменные | ||||||
слой почвы, см | |||||||||
0–20 | 20–40 | 40–60 | 0–20 | 20–40 | 40–60 | 0–20 | 20–40 | 40–60 | |
Без удобрений | 12.5 | 9.3 | 5.1 | 157 | 155 | 159 | 705 | 710 | 689 |
P60K60 (фон) | 13.0 | 6.9 | 3.7 | 162 | 141 | 152 | 738 | 703 | 641 |
Фон + N30 | 17.1 | 6.5 | 5.3 | 185 | 147 | 152 | 761 | 751 | 741 |
Фон + N60 | 20.0 | 8.4 | 4.8 | 201 | 156 | 145 | 747 | 745 | 677 |
Фон + N90 | 24.1 | 9.4 | 6.6 | 212 | 160 | 158 | 714 | 735 | 676 |
Фон + N120 | 22.6 | 8.3 | 7.2 | 200 | 151 | 150 | 808 | 723 | 686 |
НСР05 | 5.2 | Fф < Fт | 1.8 | 25 | Fф < Fт | Fф < Fт | 66 | Fф < Fт | Fф < Fт |
Применение азотных удобрений на фоне P60K60 привело к увеличению подвижности калия в почве. Достоверное увеличение (относительно фона) содержания легкообменных и подвижных соединений калия отмечено при внесении азотных удобрений от 60 до 120 кг д. в./га в слое 0–20 см почвы в 1.5–1.9 и 1.2–1.3 раза соответственно. Повышение количества легкообменных соединений калия (относительно фона) наблюдали также в слое 40–60 см в 1.8–1.9 раза при применении высоких доз азотных удобрений N90 и N120. При длительном использовании минимальной дозы азотных удобрений N30 отмечены только тенденции к увеличению содержания легкообменных (в 1.3 раза) и подвижных (в 1.1 раза) соединений калия в почве. Полученные результаты могли быть обусловлены не только наименьшим влиянием азотных удобрений при их низкой дозе на растворимость калийных соединений, но и максимальным выносом калия растениями за ротацию в данном варианте N30P60K60. Внесение максимальной дозы азотных удобрений N120P60K60 привело к достоверному увеличению необменных соединений калия в 1.1 раза в слое 0–20 см почвы.
Валовое содержание калия в дерново-подзолистой тяжелосуглинистой почве при длительном применении фосфорно-калийных удобрений и возрастающих доз азотных удобрений относительно контрольного варианта существенно не изменилось (табл. 4).
Таблица 4. Изменение валового содержания калия по профилю почвы при длительном применении возрастающих доз азотных удобрений (6-я ротация)
Вариант | Слой почвы, см | ||
0–20 | 20–40 | 40–60 | |
содержание, г/кг | |||
Без удобрений | 25.2 | 27.4 | 28.7 |
P60K60 (фон) | 25.6 | 28.0 | 29.5 |
Фон + N30 | 25.9 | 28.0 | 28.0 |
Фон + N60 | 25.4 | 28.2 | 29.1 |
Фон + N90 | 25.8 | 28.2 | 29.2 |
Фон + N120 | 25.7 | 27.7 | 29.0 |
НСР05 | Fф < Fт | Fф < Fт | Fф < Fт |
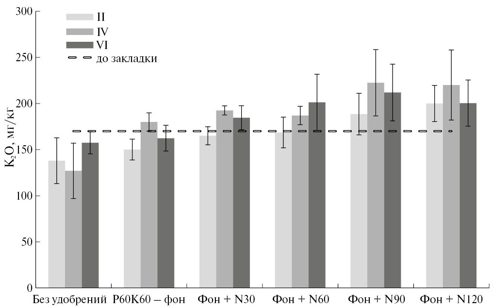
Изучение динамики содержания подвижного калия в ротациях севооборота показало, что влияние более высоких доз азотных удобрений (N90P60K60 и N120P60K60) на его содержание наблюдали с 4-й ротации (рис. 1).
Рис. 1. Изменение содержания подвижных калийных соединений в пахотном слое почвы в ротациях севооборота, мг/кг.
Содержание подвижных соединений калия в пахотном слое почвы (0–20 см) в данных вариантах в 4–6 ротациях было больше исходного уровня в 1.2–1.3 раза. Сравнение вариантов P60K60 и N60P60K60 показало, что поддержание содержания подвижных соединений калия на исходном уровне при применении полного минерального удобрения происходило в большей степени за счет влияния азотных удобрений на растворимость и доступность калийных соединений.
Содержание подвижного калия в почве (слой 0–20 см) в ротациях в варианте без удобрений было меньше исходного уровня (170 мг/кг) на 10–25%. Не установлено четкой закономерности уменьшения содержания подвижных соединений калия от ротации к ротации, что свидетельствовало об участии в питании растений других форм калия, более прочно связанных с минеральным скелетом почвы. Считается, что содержание подвижного калия в почвах при длительном некомпенсируемом выносе сельско- хозяйственными культурами постепенно достигает определенного “минимального” уровня, который впоследствии практически не изменяется, несмотря на продолжающееся потребление культурами почвенного калия [17, 18].
Полученные данные о влиянии азотных удобрений на показатели калийного режима почвы в первую очередь были связаны с изменением ее кислотности. Длительное применение азотных удобрений (N30–120P60K60) привело к уменьшению показателя рНKCl в слое 0–20 см почвы с 4.6 (фон) до 4.3–4.5 ед. рН и увеличению гидролитической кислотности с 3.1 (фон) до 3.3–3.4 мг-экв/100 г (рис. 2).
Рис. 2. Изменение показателей рНKCl (ед.рН) (а) и гидролитической кислотности (мг-экв/100 г) (б) в слое 0–60 см почвы при длительном применении возрастающих доз азотных удобрений (6-я ротация).
Увеличение гидролитической кислотности почвы при использовании высоких доз азотных удобрений (N90P60K60 и N120P60K60) наблюдали также в слое 40–60 см, что согласовалось с данными об изменении содержания легкообменных соединений калия. Установлены высокая и очень высокая корреляционные зависимости между содержанием в почве подвижных, легкообменных соединений калия и показателями кислотности почвы (для pHKCl r = –0.87–0.93, для Нг r = 0.78–0.87).
ЗАКЛЮЧЕНИЕ
Таким образом, показано, что применение P60K60 на дерново-подзолистой тяжелосуглинистой почве в климатических условиях Предуралья обеспечило увеличение урожайности клубней картофеля на 27%, сена клевера 2-го г. п. – почти в 2 раза. Наиболее эффективной дозой азотных удобрений для применения под яровые зерновые культуры оказалась доза N30 (N30P60K60), под картофель – N60 кг (N60P60K60). Урожайность культур в этих вариантах увеличилась на 16–54%. Максимальная продуктивность полевого 8-польного севооборота (4.19 т з. е./га/год) и окупаемость 1 кг д. в. удобрений (8.7 кг з. е.) получена при внесении N30P60K60.
Выявлено, что применение азотных удобрений приводило к увеличению подвижности соединений калия в почве. Установлен достоверный рост содержания легкообменных соединений калия относительно фона P60K60 в слое 0–20 см почвы в 1.5–1.9 раза при внесении N60–120, в слое 40–60 см – в 1.8–1.9 раза при внесении N90–120. Повышение количества подвижных соединений калия (относительно фона) наблюдали только в слое 0–20 см в 1.2–1.3 раза при использовании азотных удобрений в дозах N60–120 кг. Применение максимальной дозы азотных удобрений (N120P60K60) привело к увеличению содержания необменных соединений калия в 1.1 раза, что возможно свидетельствовало о разрушении минеральной части почвы.
Не установлено существенного влияния длительного применения фосфорно-калийных удобрений в дозе P60K60 и возрастающих доз азотных удобрений на валовое содержание калия в дерново-подзолистой тяжелосуглинистой почве.
Об авторах
М. Т. Васбиева
Пермский научно-исследовательский институт сельского хозяйства – филиал ПФИЦ УрО РАН
Автор, ответственный за переписку.
Email: vasbieva@mail.ru
Россия, 614532, Пермский край, ул. Культуры, Пермский р-н, с. Лобаново, 12
Список литературы
- Сычев В.Г., Шафран С.А., Ильюшенко И.В. Применение минеральных удобрений и их эффективность в различных зонах России // Плодородие. 2022. № 3(126). С. 3–6. doi: 10.25680/S19948603.2022.126.01
- Чуян О.Г., Глазунов Г.П., Караулова Л.Н., Митрохина О.А., Афонченко Н.В., Золотухин А.Н., Двойных В.В. Оценка роли климатических, почвенных и агротехнических факторов в формировании ресурсов продуктивности агроландшафтов Центрального Черноземья // Метеоролог. и гидролог. 2022. № 6. С. 79–87. doi: 10.52002/0130-2906-2022-6-79-87
- Sychev V.G., Naliukhin A.N., Shevtsova L.K., Rukhovich O.V., Belichenko M.V. Influence of fertilizer systems on soil organic carbon content and crop yield: Results of long-term field experiments at the Geographical network of research stations in Russia // Euras. Soil Sci. 2020. V. 53. № 12. P. 1794–1808. doi: 10.1134/S1064229320120133
- Никитина Л.В., Беличенко М.В. Калий в питании растений и эффективность калийных удобрений // Плодородие. 2023. № 6(135). С. 5–8. doi: 10.25680/S19948603.2023.135.01
- Шафран С.А., Кирпичников Н.А. Научные основы прогнозирования содержания подвижных форм фосфора и калия в почвах // Агрохимия. 2019. № 4. С. 3–10.
- Якименко В.Н. Фиксация калия и магния почвой агроценоза // Агрохимия. 2023. № 3. С. 3–11. doi: 10.31857/S0002188123030134
- Якименко В.Н. Изменение содержания калия и магния в профиле почвы длительного полевого опыта // Агрохимия. 2019. № 3. С. 19–29. doi: 10.1134/S0002188119030153
- Лукин С.М. Калийное состояние дерново-подзолистой супесчаной почвы и баланс калия при длительном применении удобрений // Агрохимия. 2012. № 12. С. 5–14.
- Li T., Wang H.Y., Chen X.Q., Zhou J.M. Soil reserves of potassium: release and availability to lolium perenne in relation to clay minerals in six cropland soils from eastern China // Land Degradat. Develop. 2017. V. 28. № 5. Р. 1696–1703. doi: 10.1002/ldr.2701
- Беляев Г.Н. Калийные удобрения из калийных солей Верхнекамского месторождения и их эффективность. Пермь: Перм. кн. изд-во, 2005. 304 с.
- Окорков В.В., Окоркова Л.А., Фенова О.А. Влияние систем удобрения на фосфорно-калийный режим серой лесной почвы // Владимир. земледелец. 2014. № 2–3(68–69). С. 9–14.
- Шаповалова Н.Н. Чижикова Н.П., Годунова Е.И., Сторчак И.Г. Минералогический состав тонкодисперсных фракций и резервы калия в черноземе при внесении минеральных удобрений // Плодородие. 2018. № 3(102). С. 25–31. doi: 10.25680/s19948603.2018.102.08
- Chizhikova N.P., Samsonova A.A., Malueva T.I., Godunova E.I., Shkabarda S.N. Spatial distribution of clay minerals in agrochernozems of erosional and denudational plains in the Stavropol region // Euras. Soil Sci. 2012. V. 45. № 9. P. 983–996. doi: 10.1134/S1064229312090025
- Firmano R.F., Melo V., Montes C.R., de Oliveira A., de Castro C., Alleoni L.R.F. Рotassium reserves in the clay fraction of a tropical soil fertilized for three decades // Clays Clay Mineral. 2020. V. 68. № 3. p. 237–249. doi: 10.1007/s42860-020-00078-6
- Способ определения валовых форм азота, фосфора и калия из одной навески пробы почвы. Пат. Беларуси. №17070. 2013. URL:https://bypatents.com/5-17070-sposob-opredeleniya-valovyh-form-azota-fosfora-i-kaliya-iz-odnojj-naveski-proby-pochvy.html
- Агроклиматические ресурсы Пермской области: Справ-к. М.: Гидрометеоиздат, 1979. 156 c.
- Никитина Л.В., Володарская И.В. Минимальные уровни обменного калия в дерново-подзолистых почвах // Плодородие. 2002. № 1(4). С. 30–31.
- Якименко В.Н., Бойко В.С. Диагностика калийного состояния почв лесостепи Западной Сибири // Почвы и окруж. среда. 2019. Т. 2. № 2. С. 3. doi: 10.31251/pos.v2i2.74
Дополнительные файлы




