Effect of the growth-stimulating bacterium Pseudomonas protegens DA1.2 and its metabolites on damage to rapeseed by soil residues of metsulfuron-methyl
- 作者: Bakaeva M.D.1, Kendzhieva A.A.1, Starikov S.N.1, Chetverikov S.P.1, Chetverikova D.V.1
-
隶属关系:
- Ufa Institute of Biology, Ufa Federal Research Center, RAS
- 期: 编号 12 (2024)
- 页面: 30-35
- 栏目: Пестициды
- URL: https://journal-vniispk.ru/0002-1881/article/view/273571
- DOI: https://doi.org/10.31857/S0002188124120041
- EDN: https://elibrary.ru/vwirwa
- ID: 273571
如何引用文章
详细
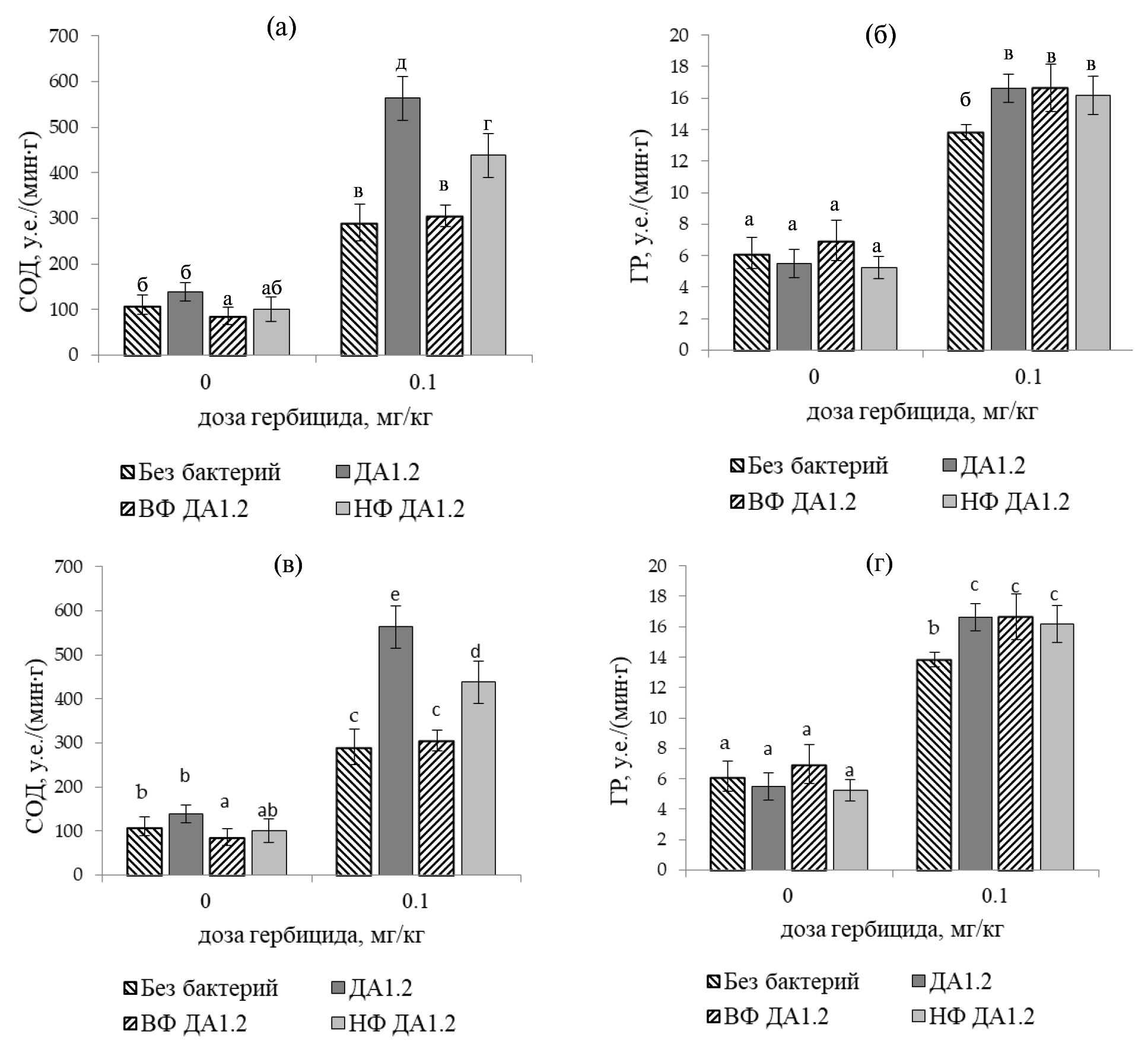
The biochemical processes mediating the positive effect of bacteria on plants experiencing herbicidal stress were investigated. For this purpose the effect of the Pseudomonas protegens DA1.2 bacterial strain, low molecular weight (<5 kDa) and high molecular weight (>5 kDa) fractions of its culture fluid (CF) on the activity of acetolactate synthase (ALS) and the antioxidant status of rapeseed (Brassica napus L.) of the Kupol variety grown under artificial lighting in methsulfuron-methyl contaminated soil was evaluated. Strain P. protegens DA1.2 and its metabolites contributed to an increase in the mass of rapeseed shoots by 21–68%, reduced the inhibition of the ALS enzyme by 11–24% and mitigated the manifestations of oxidative stress. The protective effect of the treatments decreased in a row: CF with living bacterial cells-low molecular weight fraction of CF-high molecular weight fraction of CF. An increase in the activity of superoxide dismutase by 51–94% and glutathione reductase by 17–20% in plants treated with bacteria or their metabolites indicated the possible participation of these antioxidant enzymes in reducing the phytotoxicity of metsulfuron-methyl soil residues for rapeseed plants.
全文:
作者简介
M. Bakaeva
Ufa Institute of Biology, Ufa Federal Research Center, RAS
编辑信件的主要联系方式.
Email: chelab007@yandex.ru
俄罗斯联邦, prosp. Oktyabrya 69, Ufa 450054
A. Kendzhieva
Ufa Institute of Biology, Ufa Federal Research Center, RAS
Email: chelab007@yandex.ru
俄罗斯联邦, prosp. Oktyabrya 69, Ufa 450054
S. Starikov
Ufa Institute of Biology, Ufa Federal Research Center, RAS
Email: chelab007@yandex.ru
俄罗斯联邦, prosp. Oktyabrya 69, Ufa 450054
S. Chetverikov
Ufa Institute of Biology, Ufa Federal Research Center, RAS
Email: chelab007@yandex.ru
俄罗斯联邦, prosp. Oktyabrya 69, Ufa 450054
D. Chetverikova
Ufa Institute of Biology, Ufa Federal Research Center, RAS
Email: chelab007@yandex.ru
俄罗斯联邦, prosp. Oktyabrya 69, Ufa 450054
参考
- Li Z.-J., Xu J.-X., Muhammad A., Ma G.-R. Effect of bound residues of metsulfuron-methyl in soil on rice growth // Chemosphere. 2005. V. 58. № 9. P. 1177–1183.
- Kaur T., Brar L.S. Residual effect of wheat applied sulfonylurea herbicides on succeeding crops as affected by soil pH // Indian J. Weed Sci. 2014. V. 46. № 3. P. 241–243.
- Mehdizadeh M., Alebrahim M.T., Roushani M., Streibig J.G. Evaluation of four different crops’ sensitivity to sulfosulfuron and tribenuron methyl soil residues // Acta Agric. Scandinavica. Sect. B Soil Plant Sci. 2016. V. 66. № 8. P. 706–713.
- Sarmah A.K., Sabadie J. Hydrolysis of sulfonylurea herbicides in soils and aqueous solutions: A review // J. Agric. Food Chem. 2002. V. 50. № 22. P. 6253–6265.
- Wang H., Xu J., Yates S.Y., Zhang J., Gan J., Ma J., Wu J., Xuan R. Mineralization of metsulfuron–methyl in Chinese paddy soils // Chemosphere. 2010. V. 78. № 3. P. 335–341.
- Ajijah N., Fiodor A., Pandey A.K., Rana A., Pranaw K. Plant growth-promoting bacteria (pgpb) with biofilm-forming ability: A Multifaceted agent for sustainable agriculture // Diversity. 2023. V. 15. № 1. art. 112.
- Jiang Z., Jiang D., Zhou Q., Zheng Z., Cao B., Meng Q., Qu J., Wang Y., Zhang Y. Enhancing the atrazine tolerance of Pennisetum americanum (L.) K. Schum by inoculating with indole-3-acetic acid producing strain Pseudomonas chlororaphis PAS18 // Ecotoxicol. Environ. Saf. 2020. V. 202. Art. 110854.
- Bakaeva M., Chetverikov S., Timergalin M., Feoktistova A., Rameev T., Chetverikova D., Kenjieva A., Starikov S., Sharipov D., Hkudaygulov G. PGP-Bacterium Pseudomonas protegens improves bread wheat growth and mitigates herbicide and drought stress // Plants. 2022. V. 11. Art. 3289.
- Motamedi M., Zahedi M., Karimmojeni H., Baldwin T.C., Motamedi H. Rhizosphere-associated bacteria as biofertilizers in herbicide-treated alfalfa (Medicago sativa) // J. Soil Sci. Plant Nutr. 2023. V. 23. P. 2585–2598.
- Traxler C., Gaines T.A., Küpper A., Luemmen P., Dayan F.E. The nexus between reactive oxygen species and the mechanism of action of herbicides // J. Biol. Chem. 2023. V. 299. № 11. Art. 105267.
- Феоктистова А.В., Тимергалин М.Д., Рамеев Т.В., Четвериков С.П. Обработка растений пшеницы бактериями Pseudomonas protegens ДА1.2 нивелировала негативное действие гербицида Чисталан в условиях дефицита воды // Агрохимия. 2021. № 10. С. 89–96.
- Четверикова Д.В., Бакаева М.Д., Кенджиева А.А., Худайгулов Г.Г., Четвериков С.П. Применение бактерий для повышения устойчивости рапса к остаткам в почве гербицида Наномет // Достиж. науки и техн. АПК. 2023. Т. 37. № 3. С. 22–27.
- Simpson D., Stoller E., Wax L. An in vivo acetolactate synthase assay // Weed Technol. 1995. V. 9. № 1. P. 17–22.
- Hodges D.M., Delong J.M., Forney C.F., Prange R.K. Improving the thiobarbituric acid–reactive–substances assay for estimating lipid peroxidation in plant tissues containing anthocyanin and other interfering compounds // Planta. 1999. V. 207. P. 604–611.
- Elavarthi S., Martin B. Spectrophotometric assays for antioxidant enzymes in plants // Plant Stress Tolerance. Methods in Molecular Biology / Ed. Sunkar, R. N.Y., U.S.: Humana Press, 2010. V. 639, Р. 273–280.
- Lei Q., Zhong J., Chen S.F., Wu S., Huang Y., Guo P., Mishra S., Bhatt K., Chen S. Microbial degradation as a powerful weapon in the removal of sulfonylurea herbicides // Environ. Res. 2023. V. 235. Art. 116570.
- Palma-Bautista C., Vázquez-García J.G., de Portugal J., Bastida F., Alcántara-de la Cruz R., Osuna-Ruiz M.D., Torra J., De Prado R. Enhanced detoxification via Cyt-P450 governs cross-tolerance to ALS-inhibiting herbicides in weed species of Centaurea // Environ. Pollut. 2023. V. 322. Art. 121140.
- Четвериков С. П., Четверикова Д.В., Кенджиева А.А., Бакаева М.Д. Использование гербицидов в качестве питательного субстрата бактериями-стимуляторами роста сельскохозяйственных культур // Естеств. и техн. науки. 2019. № 11. С. 108–111.
- Mittler R., Zandalinas S. I., Fichman Y., Van Breusegem F. Reactive oxygen species signalling in plant stress responses // Nat. Rev. Mol. Cell Biol. 2022. V. 23. № 10. P. 663–679.
- Neshat M., Abbasi A., Hosseinzadeh A., Sarikhani M.R., Dadashi Chavan D., Rasoulnia A. Plant growth promoting bacteria (PGPR) induce antioxidant tolerance against salinity stress through biochemical and physiological mechanisms // Physiol. Mol. Biol. Plants. 2022. V. 28. P. 347–361.
- Rossi M., Borromeo I., Capo C., Glick B.R., Del Gallo M., Pietrini F., Forni C. PGPB Improve photosynthetic activity and tolerance to oxidative stress in Brassica napus grown on salinized soils // Appl. Sci. 2021. V. 11. № 23. Art. 11442.
- Raihan M.R.H., Rahman M., Mahmud N.U., Adak M.K., Islam T., Fujita M., Hasanuzzaman M. Application of rhizobacteria, Paraburkholderia fungorum and Delftia sp. confer cadmium tolerance in rapeseed (Brassica campestris) through modulating antioxidant defense and glyoxalase systems // Plants. 2022. V. 11. № 20. Art. 2738.
- Iwaniuk P., Łuniewski S., Kaczyński P., Łozowicka B. The Influence of humic acids and nitrophenols on metabolic compounds and pesticide behavior in wheat under biotic stress // Agronomy. 2023. V. 13. № 5. Art. 1378.
- Gowtham H. G., Singh S. B., Shilpa N., Aiyaz M., Nataraj K., Udayashankar A. C., Amruthesh K.N., Murali M., Poczai P., Gafur A., Almalki W.H., Sayyed R. Z. Insight into recent progress and perspectives in improvement of antioxidant machinery upon PGPR augmentation in plants under drought stress: a review // Antioxidants. 2022. V. 11. № 9. Art. 1763.
补充文件




