Potassium sorption by saline soils of Western Transbaikalia
- Authors: Sosorova S.B.1, Merkusheva M.G.1, Lavrentieva I.N.1, Bologneva L.N.1
-
Affiliations:
- Institute of General and Experimental Biology SB RAS
- Issue: No 1 (2025)
- Pages: 11-25
- Section: Soil Fertility
- URL: https://journal-vniispk.ru/0002-1881/article/view/285066
- DOI: https://doi.org/10.31857/S0002188125010027
- EDN: https://elibrary.ru/VCSZEK
- ID: 285066
Cite item
Full Text
Abstract
For the first time, potassium sorption in saline soils of Western Transbaikalia was studied under static conditions and a quantitative assessment of its parameters was given. It was found that the Langmuir and Freundlich equations satisfactorily describe the adsorption of potassium by the studied soils. It was shown that the maximum sorption capacity of soils (Amax) with respect to potassium varied within 5.1–137 mM K+/kg, which indicated a difference in sorption sites. A relatively high sorption of K+ by gley and typical salt marshes was revealed. The Amax value in the humus horizons varied by 2.6 times, in the underlying horizons – by 15.6 times and was minimal in the quasi-clay salt marsh. The adsorption equilibrium constant (CL) varied in a wide range from 0.32 to 26.8 l/mM with lower values in humus horizons, which indicated less strong binding of potassium in them. The values of the capacity coefficient of the Freundlich equation (KF) ranged from 3.1 to 91 l/kg=mM K+/kg in the humus horizon, from 3.2 to 69.5 in the mineral horizon. High values of the distribution coefficient (Kd) were typical for gley salt marsh and low values for quasi-gley (4.28–184 l/kg). A relatively high value of the maximum buffer capacity in relation to potassium (MBEc) was found in the gley and typical salt marshes, and a relatively minimum value was found in quasi-gley. According to the ability to sorb potassium, the saline soils of Western Transbaikalia formed the following decreasing series (weighted average in a layer of 0–30 cm): gley salt marsh > typical salt marsh > alluvial light humus saline > salt marsh > dark salt marsh > quasi-clay salt marsh. There was no clear correlation between the parameters of potassium adsorption and some indicators of soil properties. Only a weak dependence of the absorption of potassium ions on the reaction of the soil environment and the content of physical clay was observed.
Keywords
Full Text
ВВЕДЕНИЕ
Калий наряду с азотом и фосфором является важнейшим элементом минерального питания растений. Его физиологическая роль весьма многообразна. Он принимает активное участие в регулировании физического состояния коллоидов клетки, в процессах метаболизма, в работе ферментативных систем, повышении морозоустойчивости культур [1, 2]. Доступность калия растениям зависит от превращения его подвижных и неподвижных форм в почвах, т. е. процессов мобилизации и иммобилизации питательного элемента. Выраженность этих процессов определяется рядом факторов: типом почвы, степенью насыщенность ее калием, минералогическим составом, содержанием илистой фракции и энергии связи калия с гранулометрическими фракциями, внесением удобрений, фиксирующей способностью почв, а также их водным режимом.
В почве калий практически целиком представлен минеральными соединениями, и его количество варьирует от 0.01 до 3% K2О. Источники калия – калиевые полевые шпаты (ортоклаз и микроклин), мусковит, биотит, вторичные глинистые минералы, такие как иллиты, вермикулиты, хлориты и смешанослойные минералы [3].
Современные исследования показали, что значительные запасы калия в почвах и динамическое равновесие между различными его формами затрудняют выбор показателей, характеризующих способность почвы обеспечить калийное питание растений [4–6]. Несмотря на то, что в Забайкалье калийное состояние почв, а также процессы превращения и динамики его соединений изучены достаточно полно в автоморфных и пойменных почвах [7–13], данных о сорбционной способности почв региона по отношению к калию крайне мало [14, 15], тогда как показатели адсорбции–десорбции наряду с другими характеристиками являются основой для продуктивного регулирования плодородия почв [6], в том числе и засоленных. Соленакопление и повышение концентраций натрия оказывает неоднозначное воздействие на поглощение ионов калия. Токсическое действие ионов натрия связывают с тем, что они конкурируют с K+, которые необходимы для осморегуляции, фотосинтеза, синтеза белка и других ключевых процессов жизнедеятельности растений [16–19]. Наряду с накоплением в растениях ионов натрия нарушение ионного гомеостаза при засолении происходит в результате снижения концентрации ионов калия в растениях [20]. Однако благодаря высокой селективности и активности калиевых каналов концентрация K+ на несколько порядков превышает содержание Na+ в цитоплазме клеток растений, что необходимо для нормального хода многих физиологических процессов и солеустойчивости растений. Вместе с тем засоление создает проблемы с поглощением калия из растворов с его низкой концентрацией. Поскольку в природных условиях содержание калия в почвенном растворе часто бывает довольно низким (обычно 0.3–5.0 мМ, но может снижаться до 1 мкМ), засоление приводит к его дефициту в растениях [21]. Считается, что именно дисбаланс между концентрацией ионов калия и натрия, а не накопление ионов натрия как таковое, объясняет отрицательное действие засоления на растения [20].
Общая площадь засоленных почв в России, по подсчетам [23], составила 66.441 млн га (3.9% от земельного фонда РФ), из них на сельскохозяйственные угодья приходится 39.2 млн га, или 21.4% от площади сельскохозяйственных угодий. По данным [24], 4.5 млн га засоленных почв заняты под пашни. Солончаки на территории России распространены в аридных зонах Поволжья, Северного Кавказа, юга Западной и Восточной Сибири. Каждый регион характеризуется определенными провинциальными особенностями их свойств и химизма засоления [25].
В Западном Забайкалье солончаки занимают надпойменные террасы, незаливаемые равнинные и прибрежные территории, прилегающие к содово-соленым озерам, а также пониженные участки пойм с неглубоким залеганием минерализованных грунтовых вод, а процессы соленакопления в них имеют специфические особенности. В сухостепной зоне наиболее распространены сульфатный, сульфатно-содовый, сульфатно-хлоридно-содовый, хлоридно-сульфатно-содовый и содовый типы засоления этих почв [26]. Общая их площадь в структуре почвенного покрова сельскохозяйственных угодий Республики Бурятия составляет 27.17 тыс. га. Основное использование солончаков – пастбищное (79.5%) и сенокосное – 11.9% [27]. В то же время они наряду с каштановыми почвами являются приоритетными объектами охраны почв согласно Национальной стратегии сохранения биоразнообразия РФ [28]. В этой связи актуальным является экологически безопасное, агрохимически и экономически эффективное их использование, в частности с применением калийных удобрений. Для разработок их доз должны быть учтены все свойства почв, в том числе сорбционные.
Цель работы – изучение сорбционных свойств засоленных почв Западного Забайкалья по отношению к ионам калия.
Методика исследования
Объекты исследования – солончаки соровый, типичный, темный, квазиглеевый, глеевый и аллювиальная светлогумусовая засоленная почва, формирующиеся в днищах мезозойских котловин забайкальского типа геоморфологической области Забайкальского среднегорья: Удинской, Иволгинской, Оронгойской, Гусиноозерской, Боргойской [27].
Исследование проводили в 2010–2012, 2022 гг. в сухостепной зоне на территории Заиграевского, Селенгинского, Иволгинского и Джидинского административных районов Республики Бурятии (рис. 1).
Рис. 1. Картосхема расположения почвенных разрезов.
Классификация почв дана согласно [29] и рекомендациям [30].
Разрез 14 (h – 564 м над ур.м., 52°02.252′ с.ш., 108°36.640′ в.д.) заложен на берегу о. Гуджирное (Заиграевский р-н). Растительность отсутствует. Почва – солончак соровый содово-хлоридно-сульфатный (Sodic Solonchaks (Alcalic, Arenic, Sulfatic).
Разрез 13 (h – 554 м над ур.м., 52°01.857′ с.ш., 108°25.201′ в.д.) заложен в 200 м на запад от разреза 1 под чиево-разнотравным сообществом. Почва – солончак типичный хлоридно-сульфатно-содовый (Calcic Sodic Solonchaks).
Разрез 4 (h – 505 м над ур.м., 51°46.375′ с.ш., 107°22.845′ в.д.) заложен в окрестностях улуса Хубисхал Иволгинского р-на в 300 м на В-ЮВ от фермы под чиевым сообществом. Почва – аллювиальная светлогумусовая засоленная (Fluvisols (Albic, Salic).
Разрез 3 (h – 505 м над ур.м., 51°46.423′ с.ш., 107°22.828′ в.д.) заложен в окрестностях улуса Хубисхал Иволгинского р-на в 300 м от разреза 4 под чиевым сообществом. Почва – аллювиальная светлогумусовая засоленная (Fluvisols (Albic, Salic).
Разрез 5 (Р. 2–2022 г.) (h – 562 м над ур.м., 51°32.722′ с.ш., 107°2.592′ в.д.) заложен у правого борта о. Белое (Иволгинский р-н) под чиево-твердоватоосоково-разнотравным сообществом. Почва – солончак квазиглеевый сульфатный (Solonchaks (Loamic, Sulfatic).
Разрез 1 (Р. 1–2022 г.) (h – 493 м над ур.м., 51°32.16′с.ш., 107°01.350′в.д.) заложен в 100 м на восток от Итигиловского источника на равнине, прилегающей к о. Белому (Иволгинский р-н), под ирисово-чиевотвердоватоосоковым сообществом. Почва – солончак типичный сульфатно-хлоридно-содовый (Calcic Sodic Solonchaks (Loamic, Carbonatic).
Разрез 12 (h – 549 м над ур.м., 51°4.162′с.ш., 106°19.746′в.д.) заложен в пойме р. Баян-Гол (Селенгинский р-н) под ирисово-китайсколеймусовым сообществом. Почва – солончак темный сульфатный (Solonchaks (Arenic, Sulfatic, Humic).
Разрез 11 (h – 639 м над ур.м., 50°39.221′ с.ш., 105°39.631′ в.д.) заложен на северном берегу о. Каменный ключ (Джидинский р-н) в 150 м от уреза воды под солончаковоползунковым сообществом. Почва – солончак глеевый хлоридно-сульфатно-содовый (Sodic Gleyic Solonchaks (Loamic, Carbonatic).
Изучение свойств и состава засоленных почв осуществляли общепринятыми в почвоведении химическими и физико-химическими методами [31]. Характеристика некоторых свойств почв представлена в табл. 1 и ранее опубликованных работах [32, 33].
Таблица 1. Характеристика свойств засоленных почв Западного Забайкалья
Горизонт | Глубина, см | Фракций (мм), ٪ | Обменные катионы, смоль -экв/100 г. | Сумма солей | СО2 карбонатов | Гумус | Nобщий | Подвижные, мг/100 г по Мачигину | Тип засоления | |||||
<0.01 | <0.001 | ЕКО | Na+ | % | N-NO3 | Р2О5 | К2О | |||||||
Разрез 13. Солончак типичный (Заиграевский район, село Первомаевка, высокий берег реки Уды) | ||||||||||||||
S[АJ] | 0–30 | 46.7 | 29.1 | 9.2 | 23.0 | 4.4 | 1.93 | 11.3 | 3.1 | 0.16 | 4.10 | 3.5 | 41.5 | Хлоридно-сульфатно-содовый |
S[АJ]BCca | 30–42 | 19.7 | 5.1 | 9.8 | 17.0 | 3.9 | 0.81 | 7.8 | 0.8 | 0.04 | 1.14 | 1.1 | 20.7 | |
ВCca,s | 42–50 | 36.1 | 18.7 | 9.7 | 18.2 | 5.1 | 0.48 | 3.6 | 0.6 | 0.03 | 0.60 | 0.4 | 38.1 | |
BСs | 50–80 | 40.7 | 15.2 | 9.6 | 17.1 | 3.2 | 0.31 | 0.6 | 0.4 | 0.03 | 0.07 | 0.4 | 15.7 | |
Сs | 80–100 | 26.6 | 5.1 | 8.7 | 16.5 | 3.0 | 0.35 | 0.3 | 0.3 | 0.01 | 0.06 | 0.2 | 8.1 | |
Разрез 14. Солончак соровый (Заиграевский район, берег озера Гуджирное) | ||||||||||||||
I слой | 0–22 | 15.5 | 3.7 | 9.0 | 10.0 | 5.2 | 2.45 | 7.7 | 0.3 | 0.02 | – | 3.7 | 31.1 | Содово-хлоридно-сульфатный |
II слой | 22–53 | 12.4 | 3.1 | 8.7 | 3.0 | 0.4 | 0.17 | 0.2 | 0.1 | 0.007 | – | 1.2 | 5.3 | |
Разрез 5 (Р.2–2022). Солончак квазиглеевый (Иволгинский район, село Оронгой, правый борт озера Белое) | ||||||||||||||
AJ1 | 0–10 | 17.0 | 2.9 | 7.9 | 13.7 | 6.7 | 1.64 | 16.5 | 3.8 | 0.17 | 0.12 | 0.7 | 4,6 | Сульфатный |
АJ2 | 10–18 (21) | 17.2 | 2.4 | 7.9 | 11.0 | 5.6 | 1.27 | 18.0 | 2.4 | 0.12 | 0.12 | 0.4 | 3.4 | |
Вq | 18(21)–34(41) | 26.3 | 11.0 | 8.1 | 8.8 | 2.2 | 0.38 | 27.5 | 1.6 | 0.10 | 0.20 | 0.5 | 5.6 | |
Q | 34(41)– 55 | 30.1 | 10.8 | 8.2 | 10.4 | 1.4 | 0.21 | 41.5 | 1.1 | 0.10 | 0.12 | 0.6 | 4.3 | |
Разрез 3. Аллювиальная светлогумусовая засоленная (Иволгинский район, улус Хубисхал) | ||||||||||||||
AJ | 0–30(43) | 18.4 | 4.9 | 8.0 | 11.2 | 1.6 | 0.34 | 1.2 | 1.5 | – | 0.16 | 6.0 | 26.3 | Сульфатный |
Bса | 30(43)–50 | 30.1 | 10.8 | 8.2 | 13.0 | 6.5 | 0.64 | 7.8 | 0.6 | – | 0.12 | 1.0 | 16.0 | |
Разрез 4. Аллювиальная светлогумусовая засоленная (Иволгинский район, улус Хубисхал) | ||||||||||||||
AJ1 | 0–6 | 15.7 | 2.8 | 8.0 | 12.3 | 0.4 | 0.17 | 2.2 | 2.0 | 0.17 | 0.16 | 2.9 | 49.2 | Сульфатный |
AJ2 | 6–21(26) | 21.0 | 2.8 | 8.3 | 10.6 | 5.2 | 0.35 | 1.5 | 1.2 | 0.09 | 0.16 | 0.4 | 8.4 | |
Bsn,ca | 21(26)–50 | 28.6 | 10.0 | 8.0 | 9.9 | 8.6 | 0.85 | 6.8 | 0.9 | 0.05 | 0.16 | 0.7 | 4.4 | |
Разрез 1 –2022. Солончак типичный (Иволгинский район, село Оронгой, Итыгиловский источник) | ||||||||||||||
АUса | 0–43(46) | 27.8 | 14.2 | 8.4 | 15.9 | 6.1 | 0.60 | 13.0 | 4.4 | 0.10 | 1.7 | 0.8 | 28.6 | Сульфатно-хлоридно-содовый |
B | 43(46)–50 | 14.8 | 10.5 | 8.5 | 16.2 | 3.3 | 0.33 | 6.8 | 1.5 | 0.03 | 0.12 | 0.7 | 10.0 | |
Разрез 12. Солончак темный (Селенгинский район, пойма реки Баян-Гол) | ||||||||||||||
S[Ao] | 0–6 | 27.1 | 3.4 | 8.0 | 20.0 | 4.8 | 1.07 | 1.9 | 5.4 | 0.27 | 3.10 | 3.5 | 51.3 | Сульфатный |
S[АU] | 6–20 | 18.2 | 4.2 | 8.2 | 19.0 | 3.5 | 0.88 | 3.0 | 3.9 | 0.20 | 2.60 | 2.4 | 20.7 | |
[AU]Bсa,s,g | 20–30 | 16.4 | 4.3 | 8.4 | 12.0 | 1.7 | 0.43 | 2.9 | 1.1 | 0.06 | 0.25 | 1.6 | 7.2 | |
ВСca,s,g | 30–58 | 14.7 | 3.7 | 8.7 | 11.5 | 1.5 | 0.18 | 2.2 | 1.0 | 0.07 | 0.21 | 0.8 | 13.1 | |
Сg | 58–100 | 19.9 | 4.0 | 8.5 | 10.1 | 1.1 | 0.13 | 0.5 | 0.8 | 0.04 | 0.07 | 0.4 | 10.6 | |
Разрез 11. Солончак глеевый (Джидинский район, село Белоозерск, берег озера Каменный ключ) | ||||||||||||||
S | 0–2 | 27.7 | 4.8 | 8.9 | 38.0 | 10.4 | 1.58 | 2.8 | 3.2 | 0.18 | 2.15 | 1.5 | 65.3 | Хлоридно-сульфатно-содовый |
S[АJ] | 2–9 | 24.3 | 3.2 | 8.7 | 18.0 | 8.3 | 1.23 | 2.0 | 2.4 | 0.13 | 1.72 | 1.2 | 27.7 | |
Bсa,s | 9–23 | 20.5 | 3.9 | 8.7 | 33.0 | 2.2 | 0.31 | 3.8 | 0.5 | 0.04 | 0.68 | 1.2 | 12.1 | |
Bca,s | 23–43 | 26.9 | 4.2 | 8.9 | 19.0 | 4.8 | 0.54 | 1.7 | 1.4 | 0.06 | 0.852 | 1.1 | 20.7 | |
Gs,ca | 43–60 | 27.7 | 3.9 | 8.6 | – | – | 0.24 | 5.5 | 0.8 | 0.08 | 0.09 | 0.7 | 17.4 | |
СGs,ca | 60–80 | 35.3 | 4.2 | 8.7 | – | – | 0.23 | 4.6 | 1.0 | 0.06 | 0.10 | 0.5 | 17.4 | |
Примечание. – нет данных
Почвы характеризовались щелочной и сильнощелочной реакцией среды, вариабельностью гранулометрического состава, емкости катионного обмена, содержания карбонатов, подвижного фосфора и калия. Содержание гумуса и азота было низкое. Почвы также различались по степени и химизму засоления.
Сорбционная функция засоленных почв, согласно балльной оценке с учетом таких показателей, как ЕКО и мощность гумусового горизонта [34], оценивалась от очень низкой (<4 баллов – солончак соровый, глеевый и квазиглеевый) до средней (5 баллов – солончак типичный, темный), аллювиальной светлогумусовой засоленной почвы – низкой (4 балла).
Сравнительное исследование сорбции ионов калия почвой проведено из раствора КCl в статических условиях. Использован водный раствор KCl в концентрациях 0.25, 0.5, 1.0, 3.0, 5.0 ммоль(мМ)/л в соотношении почва : раствор = 1 : 10. Для этого 3 г навески воздушно-сухой почвы, просеянной через сито d = 1 мм, заливали 30 мл водного раствора KCl при комнатной температуре, равной 22 ± 2°C. Время взаимодействия – 24 ч. Суспензии фильтровали с использованием фильтровальной бумаги “синяя лента”. Определение концентрации K+ проводили методом пламенной фотометрии. Количество сорбированного калия было вычислено по разности его содержания в исходных растворах (начальная концентрация) и в фильтратах почвенных суспензий (конечная концентрация).
По результатам экспериментальным данным построены изотермы адсорбции по 5-ти точкам и рассчитаны параметры сорбции по уравнениям Ленгмюра и Фрейндлиха.
Уравнение адсорбции Ленгмюра является наиболее известной моделью, описывающей сорбционное равновесие:
(1.1)
Модель Ленгмюра основана на том, что на поверхности сорбента образуется мономолекулярный слой адсорбата, а все активные центры обладают равной энергией и энтальпией [35].
Для расчета параметров сорбции (Аmax, КL) уравнение линеаризовано:
(1.2)
где А – количество адсорбированного вещества на единицу массы адсорбента, мМ/кг, Cравн – равновесная концентрация раствора, мМ/л, Аmax – максимальная сорбционная емкость адсорбента (предельная адсорбция твердой фазы), мМ/кг, KL – константа адсорбционного равновесия, характеризующая энергию взаимодействия адсорбата и адсорбента, л/мМ.
Эмпирическое уравнение Фрейндлиха описывает поглощение ионов на гетерогенной поверхности и подразумевает, что сродство к адсорбции экспоненциально уменьшается с увеличением насыщения поверхности, что ближе к реальности, чем предположение о постоянной энергии связи, присущей уравнению Ленгмюра. Так как адсорбционные центры по этой модели обладают различными величинами энергии, то в первую очередь происходит заполнение активных сорбционных центров с максимальной энергией [35].
Уравнение Фрейндлиха математически выражается как
(2.1)
В линейной форме данное уравнение позволяет рассчитать параметры сорбции:
(2.2)
где KF – коэффициент емкости адсорбента (л/кг) и 1/n – константа, указывающий на интенсивность взаимодействия адсорбент–адсорбат и характеризует степень отклонения изотермы адсорбции от прямой линии (1/n ≈ 0.2 ÷ 0.7).
По своему физическому смыслу KF представляет собой величину адсорбции при равновесной концентрации адсорбата, равной единице (при С = 1, А = KF).
Линейный график и уравнение регрессии для каждой почвы были получены путем сопоставления lg Cравн с lg А. Наклон и пересечение были приняты равными 1/n и KF соответственно.
Характеристику межфазного распределения ионов выражают через коэффициент распределения, который устанавливает соотношение между равновесными концентрациями частиц в сорбенте и в растворе [35]:
(3)
где Kd – коэффициент распределения, л/кг, Ств – равновесная концентрация ионов в сорбенте (твердой фазе), мМ/кг, Сравн – равновесная концентрация ионов в растворе, мМ/л.
Максимальная буферная емкость (MБЕК) по отношению к калию является коэффициентом емкости, который измеряет способность почвы пополнять запасы ионов калия в почвенном растворе, и равна произведению Аmax и KL [37].
При расчете параметров сорбций калия засоленными почвами нами были исключены данные, полученные при использовании исходного раствора KCl с концентрацией 0.25 мМ/л в виду низких величин коэффициента аппроксимаций в некоторых случаях. По нашим расчетам 0.25 мМ K+/л соответствует 9.75 мг K/100 г почвы. Как правило, в засоленных почвах Западного Забайкалья содержание подвижного калия больше указанной величины. Поэтому при данном показателе концентрации внесенных ионов калия возможно будет происходить процесс десорбции либо наблюдаться незначительная сорбция ионов калия твердой фазой. При исключении этих данных при расчете параметров сорбции отмечена тенденция к увеличению коэффициентов R2, КL. Поэтому в табл. 2 приведены параметры сорбции при диапазоне исходной концентрации 0.5–5.0 мМ KCl/л.
Таблица 2. Параметры сорбции калия засоленными почвами Западного Забайкалья
Почва | Горизонт, глубина, см | Kd, л/кг при Сравн. = 1 мМ/л | Параметры уравнения Ленгмюра | Параметры уравнения Фрейндлиха | ||||||
Аmax, ммоль К+/кг | KL, л/ммоль | R2 | МБЕк, л/кг | КF, л/кг | 1/n | n | R2 | |||
Разрез 13, Заиграевский р-н, правый берег р. Уда | ||||||||||
Солончак типичный хлоридно-сульфатно-содовый | S[AJ],0–30 | 32.2 | 51.6 | 0.72 | 0.89 | 37.1 | 21.0 | 0.76 | 1.31 | 0.94 |
S[AJ]Bca,30–42 | 18.7 | 22.1 | 1.27 | 0.99 | 28.1 | 10.6 | 0.54 | 1.86 | 0.97 | |
BCca, s, 42–50 | 70.6 | 5.10 | 7.90 | 0.99 | 40.3 | 8.44 | 0.01 | 130 | 0.00 | |
BCs, 50–80 | 25.8 | 25.8 | 1.41 | 0.99 | 177 | 13.1 | 0.55 | 1.82 | 0.96 | |
Cs, 80–100 | 116 | 69.0 | 1.77 | 0.95 | 122 | 53.1 | 0.75 | 1.34 | 0.96 | |
Разрез 14, Заиграевский р-н, берег о. Гуджирное | ||||||||||
Солончак соровый содово- Хлоридно-сульфатный | I слой,0–22 | 24.0 | 45.5 | 0.62 | 0.74 | 28.2 | 17.2 | 0.79 | 1.26 | 0.86 |
IIслой, 22–53 | 4.14 | 5.31 | 4.07 | 0.89 | 21.6 | 3.57 | 0.40 | 2.47 | 0.65 | |
Разрез 5 (Р. 2–2022), Иволгинский р-н, правый борт о. Белое | ||||||||||
Солончак квазиглеевый сульфатный | AJ1, 0–10 | 4.29 | 8.43 | 0 .69 | 0.99 | 5.82 | 3.07 | 0.55 | 1.82 | 0.95 |
AJ2, 10–18(21) | 8.62 | – | – | – | – | 31.7 | 1.48 | 0.68 | 0.58 | |
Bq,18(21)–34(41) | 4.88 | 6.15 | 1.85 | 0.99 | 11.4 | 3.22 | 0.24 | 4.09 | 0.60 | |
Q, 34(41)– 55 | 6.26 | 8.86 | 2.38 | 0.87 | 21.1 | 5.53 | 0.52 | 1.92 | 0.59 | |
Разрез 3, Иволгинский р-н, улус Хубисхал | ||||||||||
Аллювиальная светло–гумусовая засоленная | AJ, 0–30(43) | 10.4 | 33.0 | 0.32 | 0.85 | 10.6 | 7.38 | 0.73 | 1.02 | 0.98 |
Bса, 30(43)–60 | 11.9 | 23.3 | 0.71 | 0.95 | 16.5 | 8.55 | 0.66 | 1.52 | 0.95 | |
Разрез 4, Иволгинский р-н, улус Хубисхал | ||||||||||
Аллювиальная светло–гумусовая засоленная | AJ1, 0–6 | 16.7 | 38.2 | 0.59 | 0.86 | 22.5 | 13.0 | 0.77 | 1.30 | 0.93 |
AJ2, 6–21(26) | 40.9 | 238 | 0.19 | 0.51 | 45.2 | 39.6 | 0.94 | 1.06 | 0.99 | |
Bsn, са, 21(26)–50 | 31.5 | 6.38 | 5.87 | 0.91 | 37.5 | 8.68 | 0.22 | 4.63 | 0.25 | |
Разрез 1–2022, Иволгинский р-н, с. Оронгой, Итигиловский источник | ||||||||||
Солончак типичный сульфатно-хлоридно-содовый | АUса, 0–43(46) | 32.9 | 10.1 | 26.8 | 0.99 | 270 | 8.46 | 0.23 | 4.27 | 0.73 |
B, 43(46)–50 | 9.01 | 9.76 | 2.73 | 0.98 | 26.6 | 6.08 | 0.36 | 2.80 | 0.92 | |
Разрез 12, Селенгинский р-н, пойма р. Баян-Гол | ||||||||||
Cолончак темный сульфатный | S[Aо], 0–6 | 11.4 | 24.4 | 0.56 | 0.85 | 13.7 | 7.91 | 0.72 | 1.38 | 0.97 |
S[AU], 6–20 | 91.9 | 14.1 | 2.87 | 0.97 | 40.4 | 9.23 | 0.25 | 4.06 | 0.38 | |
[AU], 20–30 | 12.2 | 29.1 | 0.48 | 0.76 | 14.0 | 7.25 | 0.42 | 2.39 | 0.99 | |
ВСса, 30–58 | 31.5 | 25.4 | 1.80 | 0.99 | 45.8 | 13.9 | 0.49 | 2.06 | 0.99 | |
Сg, 58–100 | 81.5 | 76.9 | 0.27 | 0.10 | 20.8 | 21.2 | 0.45 | 2.21 | 0.95 | |
Разрез 11, Джидинский р-н, берег о. Каменный ключ | ||||||||||
Солончак глеевый хлоридно-сульфатно-содовый | S, 0–2 | 49.4 | 83.3 | 0.62 | 0.60 | 51.7 | 34.8 | 0.86 | 1.16 | 0.91 |
S[AJ], 2–9 | 125 | 137.0 | 0.96 | 0.66 | 132 | 91.0 | 0.90 | 1.11 | 0.97 | |
Вса,s, 9–23 | 236 | 43.9 | 4.47 | 0.98 | 196 | 37.0 | 0.51 | 1.97 | 0.94 | |
Bca,s, 23–43 | 116 | 15.9 | 1.37 | 0.18 | 21.7 | 69.5 | 0.85 | 1.17 | 0.99 | |
Gs,ca, 43–60 | 183 | 50.8 | 4.28 | 0.99 | 217 | 48.9 | 0.59 | 1.70 | 0.97 | |
CGs,ca, 60–80 | 176 | 78.1 | 1.38 | 0.57 | 108 | 50.1 | 0.71 | 1.40 | 0.84 | |
Результаты и их обсуждение
В засоленных почвах содержание подвижного калия изменялось в пределах 3.4–51.3 мг/100 г (табл. 1).
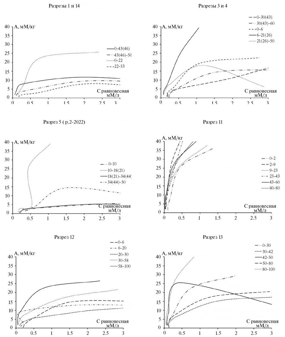
Изучение межфазного распределения его ионов показало, что полученные экспериментальные изотермы имели различный характер по классификации Брунауэра [38]: выпуклый и слабовыпуклый (I, IVтип) и сигмовидный (II тип), и относились в основном к L-типу (рис. 2).
Рис. 2. Изотерма сорбции ионов K+ из водного раствора KCl засоленными почвами.
В основе данной классификации лежит взаимосвязь формы изотермы с механизмом адсорбции. Следовательно, сопоставление экспериментально полученных классификаций позволяет сделать предположение о механизме адсорбции и размере пор в исследуемом материале [39].
Изотермы I типа свидетельствовали о том, что при низких концентрациях ионы K+ имели относительно высокое химическое сродство с поверхностью адсорбента. По мере заполнения сорбционных центров уменьшалось количество незаполненных позиций и соответственно снижалось количество адсорбированного вещества. Такой тип изотермы характерен как при хемосорбции, так и при физической адсорбции и предполагает относительную однородность сорбционных центров по отношению к сорбату. Данный тип изотермы был характерен для большинства изученных нами почв.
Согласно [40], изотермы I типа соответствуют процессам адсорбции в поверхностных слоях с постоянной энергией связи и малым взаимодействием между молекулами и отмечается:
— при мономолекулярной адсорбции на макропористых адсорбентах, когда наблюдают сильное взаимодействие адсорбат–адсорбент;
— при адсорбции на микропористых адсорбентах. В отличие от первого случая, при наличии микропор на изотерме будет наблюдаться крутой подъем в области малых величин равновесной концентрации, что обусловлено высоким адсорбционным потенциалом. Кроме того, удельная поверхность микропористых образцов значительно превышает удельную поверхность макропористых или непористых тел.
Следует отметить, что в диапазоне исследованных концентраций рабочих растворов поглощение калия солончаком глеевым (р. 11), почвообразующей породой солончака типичного (р. 13, 80–100 см), гумусовым горизонтом аллювиальной светлогумусовой (р. 4, 6–21(26) см) шло интенсивно. В этом случае кривые изотермы были близки к прямой и расположены под большим углом наклона к оси абсцисс (рис. 2).
Изотерма II типа (S-изотерма) изначально была близка к L-изотерме (I типа) и отличалась слабым наклоном кривой в области малых концентраций. По мере возрастания равновесной концентрации наклон увеличивался.
Такая форма изотермы, по [40], свидетельствовала о полимолекулярной адсорбции. Как правило, такая форма изотермы характерна для дисперсных макропористых и непористых материалов. В этом случае адсорбированные частицы образуют монослой на поверхности адсорбента и служат центром адсорбции молекул второго слоя. Энергия связи ионов калия с поверхностью почвенных частиц уменьшается с ростом степени заполнения, интенсивность взаимодействий адсорбат–адсорбат высока, а адсорбционные способности растворителя и адсорбата имеют сравнимые показатели. Другая причина образования изотермы типа II заключается в том, что частицы имеют большее сродство к поверхности, чем к самим себе. Иными словами, монослой (частица–поверхность) будет более стабильным и долговечным, чем многослойный (частица–частица), сформированный позже. Такую S-форму изотермы адсорбции ионов калия наблюдали в почвенных образцах: Р. 5 (10–18(21) см), Р. 11 (60–80 см), Р. 12 (6–20 см) (рис. 2).Изотермы IV типа, которые имеют начальный участок, схожий со II типом, свидетельствуют о полимолекулярной адсорбции и наличии капиллярной конденсации в мезопорах.
Незначительная часть ионов калия поглощается органическим веществом почвы [41, 42] и не образует нерастворимых соединений в почве, т. е. химически не поглощается [43].
В имеющихся литературных данных [44, 45] отмечено, что при внесении в почву ион калия быстро вступает во взаимодействие с коллоидными частицами по типу обменного и необменного поглощения, причем обменное составляет незначительную часть от всей емкости. Реакция физико-химического (обменного) поглощения катионов калия почвой обратима, т. к. они одновременно вытесняют из слоя компенсирующих ионов почвенно-поглощающего комплекса (ППК) эквивалентное количество других ионов, что отражается на реакции почвенного раствора. Например, внесение возрастающих доз водного раствора калия хлористого изменяло реакцию исследованных нами почв до 0.8 ед. рН в сторону подкисления (рис. 3).
Рис. 3. Изменение почвы при сорбции KCl по сравнению с исходным .
Необменное поглощение калия и размер его фиксации почвами в основном определяется их минералогическим составом, особенно наличием минералов монтмориллонитовой группы и гидрослюд с трехслойной разбухающей решеткой [13, 43]. Минералы каолинитовой группы с двуслойной решеткой, как правило, не обладают фиксирующей способностью. В легких почвах (песчаных и супесчаных) калий фиксируется обычно меньше, чем в среднеи тяжелосуглинистых. Высушивание почвы, особенно попеременное высушивание и увлажнение, что часто бывает в полевых условиях, могут значительно усиливать процесс фиксации калия.
В работе [13] отмечено, что исследованные целинные черноземы мучнистокарбонатные (Республика Бурятия) обладали высокой калий-фиксирующей способностью, что было связано со значительным количеством монтмориллонита, вермикулита и гидрослюд в илистой фракции почв. По мнению [8], особенностью минералогического состава степных почв Бурятии является присутствие всего спектра глинистых минералов (каолинита, монтмориллонита, иллита, гидрослюд и смешаннослойных минералов).
В зависимости от минералогического состава почвы размер необменной фиксации калия может варьировать от 5 до 80 мг/кг и составлять до 80% от внесенного его количества [46]. Например, на долю необменного калия в почвах Прикаспийской низменности приходится в среднем от 8 (солончаки) до 19% (каштановые) от его валового содержания [47]. Каштановые почвы Забайкалья необменно закрепляют калий до 44%, а серые лесные оподзоленные – до 34% из внесенных удобрений [48].
Поскольку среди механизмов фиксации преобладают физико-химические процессы, основная часть вносимого калия удобрений в зависимости от их дозы и влажности почвы закрепляется в течение 1–5 ч [6]. Например, каштановые почвы за 1 ч фиксировали до 40%, а за 5 ч – до 55% калия удобрений [49]. При низких дозах фиксация элемента достигала 50–70%, при высоких – 15–30% от внесенного количества. По-видимому, при более высокой концентрации калия в почвенном растворе его катионы могут вытеснять большее количество других катионов с экстенсивно обменных и необменных почвенных позиций. При невысоких концентрациях ионы калия заполняют лишь незначительную часть потенциально доступных необменных (фиксирующих) позиций. Однако при всех вносимых дозах калийного удобрения поглощение калия не происходит в какой-либо одной из его почвенных форм, а идет пропорциональное распределение между формами [6].
В табл. 2 приведены рассчитанные параметры сорбции калия исследованными почвами.
Показано, что за некоторым исключением уравнения Ленгмюра и Фрейндлиха удовлетворительно описывали сорбцию калия изученными почвами (коэффициенты аппроксимации (R2) = 0.10–0.99 и 0.25–0.99 соответственно). Выбрать лучшую модель сорбции ионов калия исследованными почвами было затруднительно.
Наибольшее соответствие модели Фрейндлиха для калия наблюдали в гумусовых горизонтах почв. Возможно, это связано с наличием в этом случае большего числа обменных позиций по сравнению с нижележащими горизонтами.
По мнению [50], неспособность уравнения Ленгмюра в некоторых случаях описать полученные данные может указывать на наличие в этих почвах нескольких типов мест сорбции калия, а также на сложный характер сорбционных взаимодействий, связанный с возможным полимолекулярным механизмом адсорбции.
Установлено, что диапазоны варьирования параметров сорбции K+ засоленными почвами шире (табл. 2) по сравнению с другими типами почв Западного Забайкалья [15].
На основании полученных данных установлено, что относительно высокими сорбционными свойствами по отношению к ионам калия обладали солончаки типичный (Р. 13) и глеевый. Например, величина Аmax в гумусовых горизонтах этих почв изменялась в пределах 51.6–137 мМ K+/кг, в нижележащих – 5.1–78.1 мМ K+/кг, что связано с сильнощелочной реакцией среды, которая, как известно, значительно увеличивает емкость катионного обмена глинистых минералов и пропорционально этому происходит увеличение количества обменного калия [51]. Самый низкий показатель Аmax выявлен в солончаке квазиглеевом.
В целом этот показатель в засоленных почвах изменялся в пределах 5.1–137 мМ K+/кг, что указывало на различие механизмов сорбции ионов калия и количество сорбционных мест, связанных со свойствами почв, это подтверждено данными других авторов для других типов почв [6, 52].
В зависимости от неоднородности сорбционных мест и типа поглощения поглощенные ионы калия имеют различную энергию связи с почвенной мицеллой. При этом наименьшую энергию связи имеют ионы, расположенные на поверхности частиц твердой фазы почвы, тогда как ионы, находящиеся внутри, удерживаются более прочно. По нашим данным (табл. 2), KL засоленных почв находилась в пределах 0.32–26.8 л/мМ. При этом, величины коэффициента KL уравнения Ленгмюра в гумусовых горизонтах были несколько меньше, чем в минеральных, что обусловлено возможно его обменным поглощением.
Солончак типичный (Р. 1–2022) наиболее прочно связывал ионы калия (табл. 2), что видимо было связано с преобладанием процесса необменного поглощения. Повышение энергии связи K+ в нижнем горизонте солончака глеевого (р. 11) было обусловлено увеличением содержания физической глины (илистой фракции) вниз по профилю.
Показатели KF в засоленных почвах изменялись в гумусовом горизонте от 3.1 до 91, в минеральных – от 3.2 до 69.5 л/кг = мМ K+/кг. В соответствии с уравнением Фрейндлиха (2.1), чем больше KF, тем интенсивнее процесс адсорбции. Относительно высокие показатели KF выявлены для солончака глеевого, минерального горизонта солончака типичного (р. 13, 80–100 см) и гумусового горизонта аллювиальной светлогумусовой почвы (р. 4, 6–21(26) см).
Поскольку изотерма Фрейндлиха предполагает низкую энергию адсорбции, ее константы KF и 1/n могут быть приняты в качестве меры степени адсорбции и скорости адсорбции или энергии адсорбции [53]. Согласно [54], постоянная 1/n отражает буферную способность почв. В изученных почвах она варьировала от 0.23 до 0.86. Меньшие величины 1/n указывали на бóльшую гетерогенность [55].
Константа n характеризует интенсивность сорбции и распределение активных центров. Если n ˂ 1, энергия связи между сорбентом и ионами металлов возрастает, при n ˃ 1 – уменьшается, при n = 1 все сорбционные центры эквивалентны [56. В нашем случае величина n была >1, что указывало на уменьшение энергии связи между почвенными частицами и ионами калия по мере заполнения поверхности почв.
Величина коэффициента распределения (Кd при Сисх = 1 мМ/л) калия варьировала в пределах 4.14–236 л/кг (табл. 2). Высокие показатели Кd выявлены в солончаке глеевом, самые низкие – солончаке квазиглеевом. Чем больше Kd, тем интенсивнее процесс переноса сорбата из раствора в твердую фазу, поэтому его называют мерой специфичности.
Относительно высокие показатели максимальной буферной емкости по отношению к калию (МБЕк) выявлены в солончаках глеевом (р. 11) и типичном (Р. 1–2022, иллювиальные горизонты р. 13), а относительно минимальные – в квазиглеевом (табл. 2). Возможно, различие в буферной емкости почв по отношению к ионам калия связано со свойствами почв и механизмами закрепления его почвой. В табл. 2 показано, что почвы с относительно высокой адсорбционной емкостью (Аmax), с бóльшим содержанием фракции физической глины и ЕКО имели повышенные величины МБЕк, чем почвы более легкого гранулометрического состава и с меньшей емкостью катионного обмена. Почвы с бóльшими показателями МБЕк имели невысокое содержание подвижного калия (табл. 1), что, видимо, было связано с прочным закреплением ионов калия в почве.
Расчет корреляции параметров адсорбции калия с некоторыми показателями свойств почв (содержанием гумуса, физической глины, суммы солей, величиной рН) не выявил четкой зависимости. Наблюдали лишь слабую зависимость поглощения ионов калия от реакции почвенной среды и содержания физической глины. Можно предположить, что совокупность свойств засоленных почв определяла особенности поглощения ими ионов калия в исследованных условиях.
Заключение
Таким образом, впервые дана количественная оценка предельной сорбционной емкости засоленных почв Западного Забайкалья по отношению к иону калия.
Показано, что модели адсорбции Ленгмюра и Фрейндлиха могут быть использованы для описания процесса сорбции. Величина Аmax почв по отношению к калию менялась в широких пределах (5.1–137 мМ K+/кг), что связано с различием сорбционных мест в почве. Относительно высокая сорбция K+ выявлена в солончаках глеевом и типичном. Величина Аmax в гумусовых горизонтах этих почв изменялась в пределах 51.6–137, в нижележащих – 5.1–78.1 мМ K+/кг. Минимальная Аmax установлена в солончаке квазиглеевом.
KL засоленных почв находилась в пределах 0.32–26.8 л/мМ. В целом величины коэффициента KL уравнения Ленгмюра в гумусовых горизонтах были несколько меньше, чем в минеральных, что свидетельствовало о менее прочном связывании в них калия.
Величина KF в почвах изменялась в гумусовом горизонте от 3.1 до 91, в минеральных – от 3.2 до 69.5 л/кг = мМ K+/кг. Кd варьировал в пределах 4.28–184 л/кг с высокими показателями для солончака глеевого и низкими – квазиглеевого.
По способности сорбировать калий засоленные почвы Западного Забайкалья образовали следующий убывающий ряд (средневзвешенное в слое 0–30 см): солончак глеевый > солончак типичный > аллювиальная светлогумусовая засоленная > солончак соровый > солончак темный > солончак квазиглеевый.
Между параметрами адсорбции калия с некоторыми показателями свойств почв (содержанием гумуса, физической глины, суммы солей, величиной рН) не выявлено четкой корреляции. Наблюдали лишь слабую зависимость поглощения ионов калия от реакции почвенной среды и содержания физической глины. Это необходимо учитывать при установлении доз минеральных удобрений, особенно калийных, для повышения продуктивности галоксероморфных пастбищ и галофитных сенокосов и оптимизации соотношения калия к натрию в кормовых травах.
About the authors
S. B. Sosorova
Institute of General and Experimental Biology SB RAS
Author for correspondence.
Email: soelma_sosorova@mail.ru
Russian Federation, ul. Sakhyanovoy 6, Ulan-Ude 670004
M. G. Merkusheva
Institute of General and Experimental Biology SB RAS
Email: soelma_sosorova@mail.ru
Russian Federation, ul. Sakhyanovoy 6, Ulan-Ude 670004
I. N. Lavrentieva
Institute of General and Experimental Biology SB RAS
Email: soelma_sosorova@mail.ru
Russian Federation, ul. Sakhyanovoy 6, Ulan-Ude 670004
L. N. Bologneva
Institute of General and Experimental Biology SB RAS
Email: soelma_sosorova@mail.ru
Russian Federation, ul. Sakhyanovoy 6, Ulan-Ude 670004
References
- Ильин Б.В. Элементный химический состав растений. Новосибирск: Наука, 1985. 129 с.
- Шеуджен А.Х. Биогеохимия. Майкоп: ГУРИПП “Адыгея”, 2003. 1028 с.
- Давлятшин И.Д., Лукманов А.А., Бадиков А. Калий в пахотных почвах лесостепи // Плодородие. 2013. № 2. С. 27–28.
- Минеев В.Г. Агрохимия и экологические функции калия. М.: Изд-во МГУ, 1999. 332 с.
- Сычев В.Г. Возможности совершенствования градации содержания “доступного” калия // Агрохим. вестн. 2000. № 5. С. 30–34.
- Якименко В.Н. Калий в агроценозах Западной Сибири. Новосибирск: Изд-во СО РАН, 2003. 231 с.
- Убугунов Л.Л., Лаврентьева И.Н., Убугунова В.И., Меркушева М.Г. Разнообразие почв Иволгинской котловины: эколого-агрохимические аспекты. Улан-Удэ: БГСХА, 2000. 208 с.
- Абидуева Т.И., Соколова Т.А. Глинистые минералы и калийное состояние степных почв Западного Забайкалья. Новосибирск: Изд-во СО РАН, 2005. 101 с.
- Пьянкова Н.А., Рузавин Ю.Н., Билтуев А.С. Агрохимическая характеристика серых лесных неоподзоленных почв Селенгинского среднегорья // Вестн. Бурят. ГСХА им. В.Р. Филиппова. 2008. № 2(11). С. 39–44.
- Пигарева Н.Н. Агрохимические свойства дерновых лесных почв Бурятии // Агрохимия. 2012. № 6. С. 13–22.
- Меркушева М.Г., Убугунов Л.Л., Болонева Л.Н., Лаврентьева И.Н. Содержание, запасы и формы калия в каштановых почвах Забайкалья в зависимости от орошения и возрастающих доз калийных удобрений (на фоне NPS) под картофель // Агрохимия. 2020. № 3. С. 3–10.
- Меркушева М.Г., Убугунов Л.Л., Болонева Л.Н. Калийное состояние неорошаемых и орошаемых аллювиальных дерновых почв Забайкалья // Агрохим. вестн. 2008. № 4. С. 10–11.
- Рузавин Ю.Н., Чимитдоржиева И.Б., Норбованжилов Р.Д., Тарасова Л.А. Изменение содержания форм калия при длительном сельскохозяйственном использовании черноземных почв Республики Бурятия // АгроЭко-Инфо. 2020. № 4.
- Сосорова С.Б. Сорбция калия некоторыми типами почв Западного Забайкалья // Биота, генезис и продуктивность почв. Мат-лы XIX Всерос. совещ. по почвенной зоологии / Под ред. А.В. Тиунова, К.Б. Гонгальского, А.В. Уварова. Улан-Удэ, 2022. С. 155–156.
- Сосорова С.Б. Особенности сорбции калия почвами Западного Забайкалья // Географ. и природ. ресурсы. 2023. Т. 44. № 3. С. 51–60.
- Чиркова Т.В. Физиологические основы устойчивости растений. СПб.: Изд-во СПбГУ, 2002. 244 с.
- Кузнецов В.В., Дмитриева Г.А. Физиология растений. М.: Высш. шк., 2006. 742 с.
- Веселов Д.С., Маркова И.В., Кудоярова Г.Р. Реакция растений на засоление и формирование солеустойчивости // Усп. соврем. биол. 2007. Т. 127. № 5. С. 482–493.
- Веселов Д.С., Шарипова Г.В., Кудоярова Г.Р. Сравнительное изучение реакции растений ячменя (Hordeum vulgare) и пшеницы (Triticum durum) на кратковременное и длительное действие натрий-хлоридного засоления // Агрохимия. 2007. № 7. С. 41–48.
- Rus A., Lee B., Munoz-Mayor A., Sharhuu A., Miura K., Zhu J.-K., Bressan R., Hasegawa P.M. AtHKT1 facilitates Na+ homeostasis and K+ nutrition in planta // Plant Physiol. 2004. V. 136. Iss. 12. P. 2500–2511.
- Pardo J.M., Quintero F.J. Plants and sodium ions: Keeping company with the enemy // Genome Biol. 2002. Rev. 3. P. 1017.1–1017.4.
- Панкова Е.И., Горохова И.Н. Анализ сведений о площади засоленных почв России на конец XX и начало XXI веков // Бюл. Почв. ин-та им. В.В. Докучаева. 2020. Вып. 103. С. 5–33.
- Ефремов Е.Н. Плодородие почв и удобрения. URL: https://www.agroxxi.ru/journal/199804/199804001.pdf. (дата обращения: 02.02.2023).
- Панкова Е.И., Новикова А.Ф. Засоленные почвы России (диагностика, география, площади) // Почвоведение. 1995. № 1. С. 73–83.
- Убугунов Л.Л., Ральдин Б.Б., Убугунова В.И. Почвенный покров Бурятии как базовый компонент природных ресурсов Байкальского региона. Улан-Удэ: Изд-во БНЦ СО РАН, 2002. 53 с.
- Убугунов Л.Л., Меркушева М.Г., Андреева И.М. Натрий в экосистемах Забайкалья и его агрохимическая эффективность. Новосибирск: СО РАН, 2022. 239 с.
- Национальная стратегия сохранения биоразнообразия России. М., 2012. 129 с.
- Классификация и диагностика почв России. Смоленск: Ойкумена, 2004. 342 с.
- Герасимова М.И., Лебедева И.И., Хитров Н.Б. Индексация почвенных горизонтов: состояние вопроса. проблемы и предложения // Почвоведение. 2013. № 5. С. 627–638.
- Агрохимические методы исследования почв. М.: Наука, 1975. 656 с.
- Сосорова С.Б., Меркушева М.Г., Болонева Л.Н., Балданова А.Л., Убугунов Л.Л. Содержание микроэлементов в со-лончаках Западного Забайкалья // Почвоведение. 2016. № 4. C. 459–474.
- Убугунов Л.Л., Лаврентьева И.Н., Меркушева М.Г. Биологическая продуктивность и гумусное состояние почв Иволгинской котловины (Западное Забайкалье) // Почвоведение. 2001. № 5. С. 557–568.
- https://soil-db.ru/soilatlas/razdel-6-funkcii-pochv/sorbcionnye-funkcii-pochv
- Зеленцов В.И., Дацко Т.Я. Применение адсорбционных моделей для описания равновесия в системе оксигидроксид алюминия–фтор // Электр. обработка мат-лов. 2012. № 48(6). С. 65–73.
- Scherrer R.A., Howard S.M. The Use of distribution coefficients in quantitative structure-activity relationships // J. Med. Chem. 1977. V. 20. P. 53–58.
- Ayenew B., Tadesse A.M., Kibret K. Phosphorous status and adsorption characteristics of acid soils from Cheha and Dinsho districts, southern highlands of Ethiopia // Environ. Syst. Res. 2018. V. 7. P. 17. doi: 10.1186/s40068-018-0121-1
- Грег С., Синг К. Адсорбция, удельная поверхность, пористость. Пер. с англ. 2-е изд. М.^ Мир, 1984. 306 с.
- Гаврилова Н.Н., Назаров В.В. Анализ пористой структуры на основе адсорбционных данных: учеб. пособ. М.: РХТУ им. Д.И. Менделеева, 2015. 132 с.
- Парфит Г., Рочестер К. Адсорбция из растворов на поверхности твердых тел. М.: Мир, 1986. 488 с.
- Кучер Л.И. Калий органической части почв в почвозащитном земледелии // SCI-ARTICLE.RU. № 38 (октябрь) 2016. URL: https://www.sci-article.ru/stat.php?i=1477062216
- Кулакова Н.Ю., Соколова Т.А. Влияние агролесомелиорации на калийное состояние лугово-каштановых почв в глинистой полупустыне // Аридн. экосист. 2010. Т. 16. № 5(45). С. 79–89.
- Калиновская А.А. Распределение тяжелых металлов и радионуклидов в почвах природных и агроэкосистем северо-востока Лужской возвышенности: Дис. … канд. биол. наук. СПб.: СПбГАУ, 2021. 159 с.
- Ягодин Б.А., Жуков Ю.П., Кобзаренко В.И. Агрохимия / Под ред. Б.А. Ягодина. М.: Колос, 2002. 584 с.
- Якименко В.Н. Фиксация калия и магния почвой агроценоза // Агрохимия. 2023. № 3. С. 3–11.
- https://agric4profits.com/potassium-content-of-soils-forms-sources
- Магомедалиев З.Г. Калий в почвах Дагестана и эффективность калийных удобрений под зерновые культуры в Прикаспийской низменности: Автореф. дис. … д-ра с-х. наук. Нальчик, 2006. 42 с.
- Загузина Н.А., Рузавин Ю.Н. Минералогический состав почв Бурятской АССР и содержание в них различных форм соединений калия // Почвенные ресурсы Забайкалья / Под ред. В.М. Корсунова. Новосибирск: Наука, СО, 1989. С. 59–66.
- Авакян Н.О. Агроxимия калия почв Армении: Автореф. дис. ... д-ра с.-х. наук. Баку, 1971. 52 с.
- Pal Y., Wong M.T.F., Gilkes R. The forms of potassium and potassium adsorption in some virgin soils from South-Western Australia //Austral. J. Soil Res. 1999. V. 37. P. 695–709.
- Середина В.П. Геохимические особенности поведения калия в почвах // Вестн. ТомскГУ. Биология. 2007. № 1. C. 106–118.
- Петрофанов В.Л. Подвижность калия гранулометрических фракций дерново-подзолистых почв и чернозема: Автореф. дис. … канд. с.-х. наук. М.: Почв. ин-т им. В.В. Докучаева РАСХН, 2012. 23 с.
- Voud rias E., Fytianos F., Bozani E. Sorption description isotherms of dyes from aqueous solutions and waste waters with different sorbent materials // Glob. Nest. Inter. J. 2002. V. 4(1). P. 75–83.
- Kenyanya O., Muthengia J., Mbuvi H. Determination of potassium levels in intensive subsistence agricultural soils in Nyamira County, Kenya // Inter. J. Agric. 2013. V. 3(7). P. 294–302.
- Dada A.O., Olalekan A.P., Olatunya A.M., Dada O. Langmuir, Freundlich, Temkin and Dubinin–Radushkevich isotherms studies of equilibrium sorption of Zn unto phosphoric acid modified rice husk // IOSR J. Appl. Chem. (IOSR-JAC). 2012. V. 3(1). P. 38–45.
- Пардаев О.Т., Даминова Ш.Ш. Cорбция ионов серебра на твердых экстрагентах на основе полимерных матриц // Universum: хим. и биол.: электр. научн. журн. 2021. № 10(88).
Supplementary files





