Адаптивный алгоритм управления на основе виртуального синхронного генератора. Часть 2
- Авторы: Суворов А.А.1, Аскаров А.Б.1, Рубан Н.Ю.1, Бай Ю.Д.1
-
Учреждения:
- Федеральное государственное автономное образовательное учреждение высшего образования “Национальный исследовательский Томский политехнический университет”
- Выпуск: № 2 (2024)
- Страницы: 93-116
- Раздел: Статьи
- URL: https://journal-vniispk.ru/0002-3310/article/view/264023
- DOI: https://doi.org/10.31857/S0002331024020065
- ID: 264023
Цитировать
Полный текст
Аннотация
Увеличение уровня внедрения генерирующих установок на базе возобновляемых источников энергии с применением силовых преобразователей (СП) оказывает непосредственное влияние на динамические свойства современных энергосистем и, как следствие, характер протекания переходных процессов. Одной из основных проблем в таких сетях является значительное изменение величины общей инерции системы в течение времени, что приводит к увеличению скорости изменения частоты и величины ее максимального отклонения при различных возмущениях. Перспективным направлением решения данной проблемы является синтез новых структур систем управления СП на базе виртуального синхронного генератора (ВСГ) с адаптивно изменяющимися параметрами. Результаты исследования в рамках данного направления представлены в статье, которая состоит из двух частей. В первой части обоснована зависимость эффективности функционирования адаптивных алгоритмов управления параметрами ВСГ от используемой структуры. Выполнен сравнительный анализ разработанной модифицированной структуры ВСГ с традиционными алгоритмами и доказаны его принципиальные преимущества. Во второй части статьи представлен анализ влияния параметров модифицированной структуры ВСГ на динамический отклик с помощью переходных характеристик во временной области. На основе полученных результатов разработаны адаптивные алгоритмы независимого управления виртуальной инерцией и параметрами демпферной обмотки ВСГ. Выполненное математическое моделирование подтвердило надежную и эффективную работу разработанных адаптивных алгоритмов управления и модифицированной структуры ВСГ в целом. Из полученных в статье теоретических и экспериментальных результатов следует необходимость одновременного развития и совершенствования адаптивных алгоритмов управления и используемых для этого структур ВСГ.
Полный текст
ВВЕДЕНИЕ
В первой части статьи обоснована перспективность развития алгоритмов управления силовым преобразователем (СП) на основе виртуального синхронного генератора (ВСГ) в связи с непостоянством величины постоянной инерции в современных гибридных энергосистемах. Также доказано существование трех принципиальных противоречий для традиционной структуры ВСГ, управляемой напряжением (ВСГ-Н). Первое из них связано с влиянием эффективности демпфирования колебаний на скорость отклика по активной мощности. Второе связано с влиянием демпферного коэффициента на статизм по частоте. Третье противоречие возникает между скоростью реакций на изменение активной мощности и на отклонение частоты. В связи с этим была разработана модифицированная структура ВСГ, управляемая опорным сигналом тока (ВСГ-Т), описание которой приведено в первой части статьи. Однако эффективность функционирования ВСГ-Т существенно зависит от параметров настройки, поэтому необходимо осуществлять их адаптивное изменение в зависимости от изменяющихся схемно-режимных условий в гибридных энергосистемах. В настоящее время в качестве модернизации ВСГ предлагаются различные подходы к разработке алгоритмов адаптивной виртуальной инерции. Подобное становится возможным в связи с отсутствием привязки ВСГ к параметрам конкретной синхронной машины. Одним из первых решений в данной области является система управления ВСГ с альтернативным моментом инерции, где осуществлялось изменение виртуальной инерции в уравнении движения с помощью двухпозиционного управления [1]. Подобный подход позволил не только улучшить демпфирование колебаний, но и увеличить устойчивость энергосистемы. Однако в данном случае при отклонении частоты происходит изменение виртуальной инерции только до максимальной или минимальной величины. С целью снижения количества избыточных управляющих воздействий предлагается использовать дополнительное значение виртуальной инерции при двухпозиционном управлении, а также даны соответствующие рекомендации по выбору параметров настройки [2]. Также разработан модифицированный гибридный алгоритм адаптивного управления виртуальной инерцией с помощью двухпозиционного управления [3]. Стоит отметить, что алгоритмы, основанные на подобном принципе, являются достаточно простыми в реализации. Однако при этом всегда используется максимальная доступная энергия из-за дискретного изменения величины виртуальной инерции, что может приводить к нежелательным колебаниям параметров относительно установившегося значения. Для нивелирования данного аспекта в систему управления неизбежно добавляются зоны нечувствительности для контролируемых параметров. Как следствие, при функционировании алгоритма возникает задержка, напрямую зависящая от границ зоны нечувствительности.
Преобладающим направлением по улучшению адаптивного управления ВСГ стало также изменение демпферного коэффициента в темпе переходного процесса [4]. За счет скоординированного управления виртуальной инерцией и демпферным коэффициентом обеспечивается наибольшая эффективность демпфирования колебаний [5] и улучшается регулирование частоты параллельно работающих установок с СП [6]. В основном все подходы по совместному адаптивному управлению двумя обозначенными параметрами базируются на определении оптимального коэффициента затухания [7, 8]. Учитывая недостатки двухпозиционного управления, предлагаются и другие подходы по адаптивному изменению постоянной инерции. Например, предложено ее изменение в соответствии с нелинейной функцией [9], сформулированной только на основе отклонения частоты вращения виртуального ротора. Для уменьшения влияния адаптивной инерции на отклик ВСГ при изменении уставки по активной мощности предложена логика управления с применением нелинейной функции и адаптивным весовым коэффициентом [10]. Также для адаптивной инерции вместо контроля частоты предлагается использовать отклонение активной мощности [11]. Несмотря на различные решения в данной области, задача эффективного адаптивного управления параметрами ВСГ остается нерешенной.
Во второй части статьи для адаптивного управления виртуальной инерцией ВСГ-Т разработан алгоритм, основанный на нелинейной сигмоидальной функции. Благодаря этому стал возможен гибкий контроль величины инерции по превышению уставки по скорости изменения частоты на всем протяжении переходного процесса, уменьшилось потребление энергии со стороны цепи постоянного тока при малых отклонениях частоты без негативного влияния на общий характер переходного процесса. Подобные возможности управления являются труднореализуемыми в случае применения распространенных алгоритмов на основе двухпозиционного управления. Для адаптивного управления параметрами виртуальной демпферной обмотки ВСГ-Т в качестве контролируемого сигнала используется виртуальный ток демпферной обмотки. Такое решение позволяет улучшить демпфирующие свойства ВСГ, и при этом исключается влияние на уравнение движения виртуального ротора и формируемый за счет него отклик по активной мощности и статизм регулирования по частоте. На основе диаграммы Вышнеградского сформированы условия для переключения между парами значений постоянной времени и индуктивности виртуальной демпферной обмотки с учетом быстродействия и сохранения высоких демпфирующих свойств системы, что способствует улучшению инерционного отклика СП и профиля изменения частоты в целом.
1. АНАЛИЗ ВЛИЯНИЯ КОЭФФИЦИЕНТОВ ИНЕРЦИИ И ДЕМПФИРОВАНИЯ НА ДИНАМИЧЕСКИЙ ОТКЛИК ВСГ-Т
При разработке алгоритма для адаптивного изменения параметров ВСГ-Т необходимо понимать характер влияния данных параметров на динамический отклик системы. Поэтому для интуитивного понимания получаемых закономерностей удобно использовать переходные функции во временной области. В связи с этим запишем замкнутую передаточную функцию частоты виртуального генератора ΔωВСГ от входной активной мощности ΔPуст (1) и применим к ней обратное преобразование Лапласа (2):
(1)
, (2)
где .
При возникновении возмущений реакция ВСГ-Т аналогична поведению традиционного СГ и описывается хорошо известной угловой характеристикой мощности [6]. На данной характеристике принято выделять четыре характерных этапа, возникающих при возмущении: первый и третий связаны с ускорением виртуального ротора, второй и четвертый с его торможением [1]. Переход от одного этапа к другому легко определяется путем сравнения с нулем отклонения угловой частоты ВСГ ΔωВСГ, скорости отклонения dωВСГ/dt и их произведения [8]. Каждому из этих этапов соответствует своя цель адаптивного управления.
Исходя из используемого уравнения движения в ВСГ-Т, следует, что постоянная инерции HВСГ обратно пропорциональна скорости изменения угловой частоты dωВСГ/dt. Следовательно, на этапе ускорения для уменьшения величины отклонения частоты и снижения скорости отклонения требуется большая величина постоянной инерции HВСГ. Напротив, на этапе торможения величина отклонения угловой частоты максимальна и требуется малое значение постоянной инерции, чтобы как можно быстрее вернуть угловую частоту к установившемуся значению. На рис. 1 приведены переходные характеристики для уравнения (2) при разных значениях HВСГ, которые полностью подтверждают сделанные выводы и определяют цель адаптивного изменения виртуальной постоянной инерции HВСГ на каждом из обозначенных этапов.
Рис. 1. Переходная характеристика отклонения угловой частоты при разных значениях постоянной инерции.
Как было обозначено ранее, для разработанной структуры ВСГ-Т степень демпфирования зависит от двух коэффициентов: постоянной времени τ1q и индуктивного сопротивления L1q виртуальной демпферной обмотки. Их влияние на динамический отклик определяется характеристическим уравнением передаточной функции Gω/P_ВСГ-Т(p), которое является многочленом третьей степени. Рассмотрим данное уравнение на плоскости с координатами в виде параметров A и B (рис. 2), через которые выражаются τ1q (3) и L1q (4):
(3)
(4)
Основная задача демпферного контура заключается в обеспечении эффективного демпфирования колебаний и устойчивости системы в целом. Исходя из этой задачи, осуществляется адаптивное управление в рамках традиционной структуры ВСГ-Н [12]. Однако за счет предложенной модифицированной структуры ВСГ-Т удалось увеличить степень свободы системы, и за счет изменения уже двух параметров, связанных с демпфированием, можно влиять на еще одну динамическую характеристику системы, тем самым существенно улучшая качество переходного процесса. В связи с этим на этапе ускорения помимо повышения демпфирования необходимо снизить время нарастания, что способствует уменьшению максимальной величины отклонения и скорости изменения частоты. Для этого следует выбирать точку в области ECF, внутри которой всегда выполняется условие ζ ≥ 1 (рис. 2). Ограничение времени нарастания достигается путем уменьшения постоянной времени апериодического звена T1, что соответствует отдалению вещественного корня ρ = −1/T1 характеристического уравнения (1) от мнимой оси. При этом вещественный корень должен располагаться левее комплексно-сопряженных корней на комплексной плоскости, что соответствует области I на рис. 2. В соответствии с обозначенными условиями на диаграмме Вышнеградского в координатах A, B движению вещественного корня влево соответствует движение вправо линий равных наибольших значений модуля наиболее удаленного от мнимой оси корня, которые в координатах A, B описываются следующим уравнением (5)
(5)
Рис. 2. Диаграмма Вышнеградского в координатах A, B с линиями равных наибольших значений модуля, наиболее удаленного от мнимой оси корня (ρ) и равного быстродействия (η).
На этапе торможения при сохранении степени демпфирования ζ ≥ 1 необходимо обеспечить высокую скорость затухания переходного процесса, что будет соответствовать быстрому возращению угловой частоты ротора к установившемуся значению. Для этого необходимо увеличение абсолютного значения вещественной части комплексно-сопряженных корней, что соответствует линиям равной степени быстродействия (η) в координатах A, B (рис. 2) и описывается следующей системой уравнений (6)
(6)
Сделанные предположения о влиянии параметров на динамический отклик системы подтверждаются полученными переходными характеристиками во временной области для выражения (2). На рис. 3а представлены две точки с разными интересуемыми значениями A и B. Переходные характеристики на рис. 3б доказывают, что выбор точки № 2 на линии CF, соответствующей большему значению ρ, позволяет добиться меньшей величины и скорости отклонения частоты вращения ВСГ, что является целью адаптивного управления на этапе ускорения.
Рис. 3. (а) точки № 1 и № 2 на плоскости в осях A, B, отличающиеся значением ρ; (б) переходные характеристики отклонения угловой частоты, соответствующие координатам точек № 1 и № 2 и рассматриваемые на этапе ускорения.
На рис. 4а показаны точки № 1 и № 2, характерные для этапа торможения. Переходная характеристика во временной области на рис. 4б доказывает, что выбор точки № 2 с большим η способствует более быстрому возращению угловой частоты к установившемуся значению. Таким образом, выбирая необходимые значения A и B и соответствующие им τ1q и L1q на каждом из этапов переходного процесса, удается получить желаемые характеристики динамического отклика разработанной структуры ВСГ-Т.
Рис. 4. (а) точки № 1 и № 2 на плоскости в осях A, B, отличающиеся значением η; (б) переходные характеристики отклонения угловой частоты, соответствующие координатам точек № 1 и № 2 и рассматриваемые на этапе торможения.
2. ПРЕДЛАГАЕМЫЙ АДАПТИВНЫЙ АЛГОРИТМ УПРАВЛЕНИЯ ВИРТУАЛЬНОЙ ИНЕРЦИЕЙ
В соответствии с приведенными ранее логикой и целями адаптивного управления параметрами ВСГ в данном разделе описывается предлагаемая реализация адаптивного алгоритма изменения виртуальной инерции, который основан на нелинейной сигмоидальной функции (7)
(7)
где H0 – постоянная инерции ВСГ в нормальном установившемся режиме, с; ΔfВСГ = fВСГ – f0 – отклонение текущей частоты ВСГ fВСГ от номинального значения f0, где fВСГ = ωВСГ/2π, Гц; dfВСГ/dt – скорость изменения частоты ВСГ, Гц/с; kH1-H4 – коэффициенты адаптивной функции.
Величина H0 задается на основании максимально допустимого значения инерции ВСГ Hmax, которое определяется зарядной емкостью конденсатора в цепи постоянного тока (8), и рассчитывается в соответствии с уравнением (9):
(8)
(9)
где CDC – емкость конденсатора в цепи постоянного тока, Ф; UDC – номинальное напряжение цепи постоянного тока, В; Sном – номинальная мощность СП, ВА.
При этом минимальное значение инерции ВСГ Hmin также должно жестко ограничиваться величиной близкой к нулю (например, Hmin = 0.01 с) для недопущения деления на нуль в уравнении движения ВСГ.
Коэффициент kH1 определяет, в каких диапазонах будет изменяться HВСГ при возмущениях с возможностью учета скорости изменения частоты df/dtуст. Данный коэффициент определяется на основе кубической функции (10)
(10)
В уравнении (10) коэффициент aH определяет начальное значение коэффициента kH1, когда скорость изменения частоты равна или близка к нулю. Таким образом формируется начальный диапазон [Hmax;Hmin] для изменения постоянной инерции ВСГ HВСГ. Значение коэффициента aH выбирается в следующем диапазоне (11)
(11)
Коэффициент bH определяет знак кубической функции на основании отклонения частоты ВСГ (12), что необходимо для корректной работы алгоритма на разных стадиях переходного процесса:
(12)
Коэффициент cH позволяет изменять форму функции для kH1 с учетом заданной уставки df/dtуст, измеряемой в Гц/с, что позволяет в алгоритме адаптивной инерции ВСГ также учитывать ограничения по скорости изменения частоты на всем протяжении переходного процесса. Значение данного коэффициента определяется согласно (13)
(13)
Также в предлагаемом алгоритме подразумевается возможность исключения контроля скорости изменения частоты путем задания большой величины уставки df/dtуст. В таком случае диапазон изменения HВСГ определяется только коэффициентом aH в уравнении (10).
В результате график изменения коэффициента kH1 в зависимости от величины скорости изменения частоты приведен на рис. 5, где кривая 1 соответствует случаю, когда ΔfВСГ ≥ 0, а кривая 2 – ΔfВСГ < 0. При этом, поскольку коэффициент kH1 может быть как больше, так и меньше нуля, сигмоидальная функция для управления виртуальной инерцией ВСГ может принимать два вида (кривая 1 при kH1 ≥ 0, кривая 2 при kH1 < 0), как показано на рис. 6.
Рис. 5. График изменения коэффициента kH1.
Рис. 6. График изменения виртуальной инерции ВСГ.
В приведенном уравнении (7) для адаптивной виртуальной инерции коэффициенты kH2, kH3 и kH4 являются вспомогательными для улучшения динамического отклика СП при переходном процессе. Коэффициент kH2 необходим для повышения чувствительности алгоритма адаптивной инерции на этапе демпфирования колебаний за счет изменения крутизны сигмоидальной функции. Данный коэффициент определяется по уравнению (14)
(14)
Коэффициент dH определяет начальное значение коэффициента kH2 и, соответственно, начальную крутизну сигмоиды (7). Данная крутизна в целом определяет реакцию системы на величину отклонения ΔfВСГ и dfВСГ/dt. Когда наступает процесс демпфирования колебаний, то управление виртуальной инерцией по сигмоиде может быть недостаточно чувствительным в сравнении с классическим двухпозиционным управлением. В связи с этим увеличение крутизны сигмоиды в зависимости от ΔfВСГ, как видно из (14), позволяет улучшить процесс демпфирования, когда отклонения частоты еще достаточно большие, но при этом не приводить к нежелательным изменениям инерции ВСГ HВСГ, когда происходят малые отклонения параметров режима. Следовательно, коэффициент mH задает степень увеличения коэффициента kH2 при больших отклонениях частоты. Коэффициент nH определяет крутизну характеристики для коэффициента kH2. Таким образом задается величина чувствительности kH2 к отклонениям частоты ΔfВСГ. В результате график функции для изменения коэффициента kH2 показан на рис. 7.
Рис. 7. График изменения коэффициента kH2.
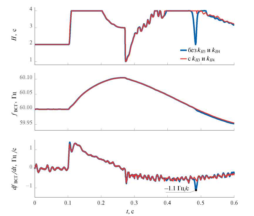
Применение в уравнении (7) зависимости виртуальной инерции от сложной комбинации параметров ΔfВСГ и dfВСГ/dt в отличие от традиционного подхода, где используется только их перемножение [13], обуславливается необходимостью исключения излишнего изменения инерции ВСГ HВСГ до H0 при прохождении отклонения частоты ΔfВСГ через нуль. Последнее может приводить к нежелательному резкому увеличению скорости изменения частоты в указанные моменты, как показано на рис. 8.
Рис. 8. Влияние изменения инерции ВСГ на скорость изменения частоты при разных вариантах реализации сигмоидальной функции.
Подобная ситуация может возникать, когда происходит ограничение скорости изменения частоты на стадии восстановления, вследствие чего значение инерции HВСГ становится больше H0. При традиционном подходе без возможности ограничения скорости изменения частоты в алгоритме адаптивной виртуальной инерции изменение знака ΔfВСГ всегда сопровождается изменением инерции ВСГ с маленького значения (HВСГ < H0) до большого значения (HВСГ > H0) [7]. В предлагаемом алгоритме в указанном случае необходимо при текущем большом значении инерции остаться на значении, большем чем H0, без излишнего снижения инерции до H0, т.к., если ΔfВСГ = 0 и kH3 = kH4 = 0, то HВСГ = H0 в соответствии с (7). Подобной работы алгоритма адаптивной инерции можно достигнуть при использовании вместе с ΔfВСГ дополнительного слагаемого в виде dfВСГ/dt, где коэффициент kH3 формирует необходимый знак слагаемого (15), а весовой коэффициент kH4 определяет уровень его влияния (16):
(15)
(16)
Таким образом за счет kH3 прибавка к ΔfВСГ в виде dfВСГ/dt будет совпадать по знаку с текущим значением величины ΔfВСГ, что не будет приводить к расхождению в алгоритме работы адаптивной инерции ВСГ. Изменение коэффициента kH4 в зависимости от величины dfВСГ/dt и ΔfВСГ демонстрирует рис. 9. При приближении величины ΔfВСГ к нулю, если при этом dfВСГ/dt имеет достаточно большое значение, то коэффициент kH4 > 0, и будет осуществляться прибавка dfВСГ/dt к ΔfВСГ, что позволяет исключить обнуление показателя степени экспоненты у рассматриваемой сигмоидальной функции (7) при ΔfВСГ = 0. При больших отклонениях ΔfВСГ скорость изменения частоты dfВСГ/dt стремится к нулю, следовательно, коэффициент kH4 также будет стремиться к нулю и не влияет на работу алгоритма.
Рис. 9. Характер изменения коэффициента kH4.
Резюмируя вышеизложенное, принцип работы предлагаемого алгоритма адаптивной виртуальной инерции представлен на рис. 10 и 11. При возникновении отклонения частоты ВСГ (ΔfВСГ > 0) и увеличения скорости ее изменения (dfВСГ/dt > 0) до момента превышения уставки df/dtуст происходит закономерное увеличение виртуальной инерции (HВСГ > H0) и коэффициента kH1 (точки a→a1 на рис. 10). Последнее позволяет увеличить диапазон изменения HВСГ, что способствует уменьшению величины отклонения частоты и скорости ее изменения. Далее HВСГ равняется Hmax, как и kH1 равняется своему заданному максимальному значению до тех пор, пока dfВСГ/dt не станет меньше значения уставки df/dtуст (a1→a2). После указанного момента kH1 начинает уменьшаться со снижением dfВСГ/dt, что уменьшает диапазон изменения HВСГ и, как следствие, текущее значение виртуальной инерции (a2→b). Следующим этапом является восстановление частоты, в связи с чем происходит снижение инерции ВСГ до минимального значения (HВСГ < H0). Однако, поскольку при снижении инерции увеличивается скорость изменения частоты, то с целью ее ограничения до уставки df/dtуст происходит уменьшение коэффициента kH1 и смена его знака (b→b1). Таким образом HВСГ начинает увеличиваться. В результате может наблюдаться некоторое превышение уставки df/dtуст по причине достижения максимальных возможностей регулирования СП. По аналогии с ранее сказанным, HВСГ остается равным Hmax, как и kH1 равняется своему заданному минимальному значению, до тех пор, пока dfВСГ/dt не станет меньше значения уставки df/dtуст (b1→c). После смены знака ΔfВСГ < 0 осуществляется закономерное увеличение коэффициента kH1 до максимального значения по причине необходимости работы с HВСГ > H0 на данном этапе переходного процесса. Далее kH1 начинает уменьшаться, что последовательно уменьшает HВСГ (c→d). При смене знака dfВСГ/dt > 0 происходит снижение величины HВСГ (HВСГ < H0). Однако с целью недопущения превышения уставки df/dtуст коэффициент kH1 начинает изменяться в зависимости от контролируемого значения dfВСГ/dt, что может приводить к обратному увеличению инерции HВСГ (d→e). Описанный процесс продолжается до достижения номинальной частоты ВСГ. В табл. 1 приведена обобщенная информация по работе предлагаемого алгоритма.
Рис. 10. Принцип работы алгоритма адаптивной инерции ВСГ.
Рис. 11. Характер изменения виртуальной инерции при изменении частоты.
Таблица. Этапы работы предложенного алгоритма адаптивной виртуальной инерции для ВСГ-Т
Этап | Знак ΔfВСГ | Знак dfВСГ/dt | dfВСГ/dt < > df/dtуст | Характер kH1 | Характер HВСГ |
a→a1 | > 0 | > 0 | < df/dtуст | kH1↑ > 1 (кривая 1)* | HВСГ↑ > H0 (кривая 1)** |
a1→a2 | > 0 | > 0 | > df/dtуст | kH1 = max (кривая 1) | HВСГ = max (кривая 1) |
a2→b | > 0 | > 0 | < df/dtуст | kH1↓ > 1 (кривая 1) | HВСГ↓ > H0 (кривая 1) |
b→b1 | > 0 | < 0 | < df/dtуст | kH1↓ < 0 (кривая 1) | HВСГ↑ > H0 (кривая 2) |
b1→c | > 0 | < 0 | > df/dtуст | kH1 = min (кривая 1) | HВСГ = max (кривая 2) |
c | < 0 | < 0 | > df/dtуст | kH1 = max (кривая 2) | HВСГ = max (кривая 1) |
c→d | < 0 | < 0 | < df/dtуст | kH1↓ > 1 (кривая 2) | HВСГ↓ > H0 (кривая 1) |
d→e | < 0 | > 0 | < df/dtуст | kH1↓ < 0 (кривая 2) | HВСГ↑ > H0 (кривая 1) |
* – на рис. 10.
** – на рис. 11.
3. ПРЕДЛАГАЕМЫЙ АДАПТИВНЫЙ АЛГОРИТМ УПРАВЛЕНИЯ ПАРАМЕТРАМИ ДЕМПФЕРНОЙ ОБМОТКИ
С целью достижения максимальной эффективности функционирования ВСГ-Т при возникновении отклонений частоты сети помимо адаптивного управления виртуальной инерцией также предлагается адаптивное изменение параметров виртуальной демпферной обмотки (τ1q и L1q). Принцип работы предлагаемого адаптивного алгоритма основывается на изменении коэффициентов A и B в уравнениях (3) и (4), используемых для определения необходимых значений τ1q и L1q. Выбор конкретных коэффициентов A и B для достижения необходимого динамического отклика осуществляется исходя из теоретического анализа, приведенного ранее. В нормальном режиме с целью обеспечения высоких запасов устойчивости и уровня демпфирования колебаний (ζ ≈ 1), а также быстродействия системы (η ≈ 1) оптимальным решением является нахождение в точке с коэффициентами A = 3 и B = 3. При возникновении отклонения частоты ВСГ для обеспечения наименьшего значения dfВСГ/dt на первом этапе переходного процесса следует снизить быстродействие системы, но при этом также обеспечить высокий уровень демпфирования и запасов устойчивости. Для достижения указанных свойств необходимо двигаться вправо по кривой CF (рис. 2), например, к точке с координатами A = 25 и B = 9. После этого с целью снижения величины максимального отклонения частоты ВСГ при условии быстрого восстановления частоты до номинального значения с сохранением высокого уровня демпфирования и наименьшего перерегулирования эффективным является перемещение вправо по кривой CG (рис. 2) в область апериодических процессов с коэффициентом затухания ζ больше 1 (например, A = 4 и B = 4).
Условия переключения между выбранными парами коэффициентов A и B определяются на основании изменения тока виртуальной демпферной обмотки, который рассчитывается в соответствии с (17)
(17)
Применение тока демпферной обмотки позволяет управлять откликом СП на протяжении всего переходного процесса, поскольку ток демпферной обмотки отличен от нуля только при переходном процессе. Однако для того, чтобы реализовать корректное изменение τ1q и L1q на разных этапах переходного процесса, также необходимо контролировать знак изменения частоты ВСГ ΔfВСГ. Последнее поясняют графики переходного процесса, представленные на рис. 12. В нормальном установившемся режиме (диапазон I на рис. 12) при ΔfВСГ = i1q = 0 коэффициенты A и B в уравнениях (3) и (4) равны своим начальным значениям (A = 3 и B = 3). При возмущении в случае увеличения частоты ВСГ ΔfВСГ > 0 (кривая 1) на начальном этапе переходного процесса (диапазон II на рис. 12) сначала происходит резкое увеличение тока демпферной обмотки и затем его снижение до нуля, при этом i1q < 0. В противоположном случае, когда после возмущения ΔfВСГ < 0 (кривая 2), наблюдается обратная ситуация – i1q > 0. Таким образом контролирование только одного из параметров не позволяет обеспечить адекватные условия переключения между парами коэффициентов A и B. Последнее определяется тем, что в обоих случаях, как при снижении, так и при увеличении частоты, необходимо снизить быстродействие системы и тем самым уменьшить величину скорости изменения частоты с помощью перехода к значениям A = 25 и B = 9. На следующем этапе переходного процесса (диапазон III на рис. 12) при смене знака тока i1q становится возможным переключение на другую пару коэффициентов A = 4 и B = 4 с целью уменьшения величины максимального отклонения частоты и дальнейшего быстрого восстановления ее значения до номинального.
Рис. 12. Осциллограммы изменения тока демпферной обмотки при возмущениях.
В результате алгоритм изменения значений коэффициентов A и B и, соответственно, параметров виртуальной демпферной обмотки τ1q и L1q выглядит следующим образом (18)
(18)
Резюмируя вышеизложенное, принцип работы предлагаемого алгоритма адаптивной виртуальной демпферной обмотки показан на рис. 13 для случая снижения частоты сети. Как видно из представленных осциллограмм, за счет реализованной логики функционирования алгоритма становится возможным значительно уменьшить как скорость изменения частоты, так и величину максимального ее отклонения. При этом скорость восстановления частоты совместно с качеством демпфирования остаются на высоком уровне.
Рис. 13. Принцип работы алгоритма адаптивной виртуальной демпферной обмотки ВСГ.
4. РЕЗУЛЬТАТЫ МАТЕМАТИЧЕСКОГО МОДЕЛИРОВАНИЯ
Для оценки эффективности работы предлагаемого алгоритма управления ВСГ-Т было выполнено детальное математическое моделирование во временной области в эквивалентной схеме энергосистемы, описанной в первой части статьи, с помощью средства моделирования электромагнитных переходных процессов. При выполнении имитационного моделирования на тестовой модели энергосистемы с инвертором, управляемым разработанными адаптивными алгоритмами ВСГ-Т, использовался программный комплекс PSCAD/EMTDC, где воспроизводилась детальная модель инвертора с учетом силовых полупроводниковых ключей.
В качестве тестовых возмущений воспроизводились: 1) ступенчатое изменение уставки по активной мощности Pуст с 0 до 0.2 отн.ед.; 2) ступенчатое изменение частоты сети с 60 до 59.9 Гц; 3) наброс нагрузки 0.5 МВт в точке подключения СП. При этом рассматривалось три случая, как показано на рис. 14: ВСГ-Т без адаптивного управления (черная кривая), ВСГ-Т только с адаптивной виртуальной инерцией (синяя кривая) и ВСГ-Т с адаптивной виртуальной инерцией и демпферной обмоткой (красная кривая).
Исходя из полученных результатов, следует, что при добавлении в алгоритм управления ВСГ-Т не только адаптивной инерции, но и адаптивной демпферной обмотки становится возможным значительно улучшить качество демпфирования без ухудшения динамического отклика при изменении уставки по активной мощности (рис. 14а). Последнее выражается в сохранении и даже улучшении скорости изменения выходной мощности (рис. 15а). Это доказывает исключение противоположного взаимовлияния скорости реакции контура по активной мощности и способности демпфировать колебания.
Рис. 14. Результаты моделирования при разных возмущениях: (а) изменение Pуст; (б) изменение частоты сети; (в) наброс нагрузки.
Рис. 15. Гистограммы с характеристиками переходных процессов при разных возмущениях: (а) изменение Pуст; (б) изменение частоты сети; (в) наброс нагрузки.
При рассмотрении случая с изменением частоты сети (рис. 14б) видно, что учет адаптивной демпферной обмотки в предлагаемом алгоритме управления позволяет улучшить профиль изменения частоты (рис. 15б). При этом отсутствует какое-либо влияние на установившееся значение активной мощности в послеаварийном режиме и, следовательно, на статизм регулирования по частоте. Данный вывод подтверждает нивелирование второго противоречия, возникающего при добавлении демпферного коэффициента в уравнение движения ВСГ.
Из сравнения результатов, представленных на рис. 14а и 14в, следует, что предложенный алгоритм управления ВСГ-Т позволяет достигнуть быстрой реакции СП как при изменении уставки по активной мощности, так и при внешних возмущениях, приводящих к отклонениям частоты. Таким образом введение адаптивной демпферной обмотки не оказывает влияния на время нарастания активной мощности, но при этом значительно улучшает характер изменения частоты. Последнее выражается в уменьшении скорости изменения частоты и ее максимального отклонения более чем в 4.5 раза в сравнении со случаем без адаптивного ВСГ-Т (рис. 15в).
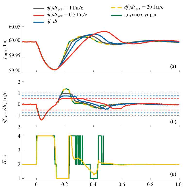
Для оценки эффективности работы предложенного алгоритма управления виртуальной инерцией ВСГ на основе нелинейной сигмоидальной функции также рассмотрен аналогичный наброс нагрузки 0.5 МВт в точке подключения СП при разных уставках df/dtуст (рис. 16). На первом этапе осуществлено сравнение работы адаптивного алгоритма с традиционным двухпозиционным управлением. Для этого уставка df/dtуст задавалась большой, как было пояснено в предыдущем разделе (df/dtуст = 20 Гц/с). Из сравнения зеленой и желтой кривой на рис. 16а и 16б следует, что предложенный алгоритм ВСГ-Т почти не уступает традиционному двухпозиционному управлению, что обеспечивается за счет ввода дополнительного коэффициента чувствительности kH2 в уравнении (7). При этом, исходя из анализа изменения постоянной инерции ВСГ на рис. 16в, предложенный алгоритм позволяет меньше расходовать энергии цепи постоянного тока при возмущениях, что может быть количественно оценено с помощью площади под кривой [14]. В результате количество энергии, затраченной при использовании предложенного алгоритма, составляет ΔE = 4725 отн.ед., что на 21% меньше, чем при традиционном двухпозиционном управлении с ΔE = 5973 отн.ед.
Рис. 16. Осциллограммы процессов при набросе нагрузки и разных уставках df/dtуст: (а) частота ВСГ; (б) скорость изменения частоты и значения уставки df/dtуст; (в) инерция при разных алгоритмах.
На втором этапе произведена оценка работы алгоритма адаптивной виртуальной инерции ВСГ при разных уставках df/dtуст. При рассмотрении черной, синей и красной кривых на рис. 16а и 16б видно, что предложенный алгоритм позволяет ограничивать скорость изменения частоты в соответствии с заданными уставками при наличии возможностей СП, которые определяются допустимым диапазоном изменения постоянной инерции ВСГ. Однако на начальном этапе изменения частоты при рассматриваемом возмущении диапазона изменения виртуальной инерции одного СП недостаточно для ограничения скорости изменения частоты. В этом случае необходимо увеличивать количество СП или диапазон изменения постоянной инерции ВСГ.
ЗАКЛЮЧЕНИЕ
В рамках второй части статьи представлены следующие результаты:
За счет свойств предлагаемой структуры ВСГ-Т разработан адаптивный алгоритм управления, с помощью которого осуществляется независимое изменение трех основных параметров ВСГ (HВСГ, L1q и τ1q), влияющих на инерционный отклик и демпфирование.
Для адаптивного управления виртуальной инерцией ВСГ-Т разработан алгоритм, основанный на нелинейной сигмоидальной функции. Благодаря этому стал возможен гибкий контроль величины инерции по превышению уставки по скорости изменения частоты на всем протяжении переходного процесса, а также уменьшилось потребление энергии со стороны цепи постоянного тока при малых отклонениях частоты без негативного влияния на общий характер переходного процесса. Подобные возможности управления являются труднореализуемыми в случае применения распространенных алгоритмов на основе двухпозиционного управления.
Для адаптивного управления параметрами виртуальной демпферной обмотки ВСГ-Т с применением диаграммы Вышнеградского в качестве контролируемого сигнала используется виртуальный ток демпферной обмотки. Такое решение позволяет улучшить демпфирующие свойства ВСГ и при этом исключается влияние на уравнение движения виртуального ротора и формируемый за счет него отклик по активной мощности и статизм регулирования по частоте.
Практическая значимость представленной работы заключается в широких возможностях применения разрабатываемой технологии ВСГ для сетевых инверторов, применяемых в промышленности. Одной из особенностей является возможность адаптации алгоритмов ВСГ для разных объектов: ветроэнергетических и фотоэлектрических установок, систем накопления энергии, а также гибких систем передачи переменного тока (для вставок и линий постоянного тока) с учетом специфики функционирования каждого конкретного объекта управления. При этом объекты генерации и накопления энергии с управлением на основе ВСГ-Т могут успешно применяться как в изолированных, так и в централизованных энергосистемах. В качестве перспективы для изолированных энергосистем можно рассматривать использование инверторов с ВСГ-Т для автоматизированных гибридных энергокомплексов с целью повышения коэффициента установленной мощности ВИЭ в их составе, а также потенциального снижения затрат на дизельное топливо за счет оптимизации работы дизель-генераторов. Для централизованных энергосистем за счет применения алгоритмов ВСГ-Т в рамках инверторного оборудования сетевых электростанций на базе ВИЭ становится возможным более гибкое их участие в регулировании частоты и напряжения сети, обеспечение требуемого инерционного отклика, эффективное демпфирование послеаварийных колебаний, а также улучшение качества электроэнергии. Стоит отметить, что указанное в целом справедливо и при рассмотрении изолированных энергосистем.
Исследование выполнено за счет гранта Российского научного фонда № 22-79-00204.
Об авторах
А. А. Суворов
Федеральное государственное автономное образовательное учреждение высшего образования “Национальный исследовательский Томский политехнический университет”
Email: aba7@tpu.ru
Россия, Томск
А. Б. Аскаров
Федеральное государственное автономное образовательное учреждение высшего образования “Национальный исследовательский Томский политехнический университет”
Автор, ответственный за переписку.
Email: aba7@tpu.ru
Россия, Томск
Н. Ю. Рубан
Федеральное государственное автономное образовательное учреждение высшего образования “Национальный исследовательский Томский политехнический университет”
Email: aba7@tpu.ru
Россия, Томск
Ю. Д. Бай
Федеральное государственное автономное образовательное учреждение высшего образования “Национальный исследовательский Томский политехнический университет”
Email: aba7@tpu.ru
Россия, Томск
Список литературы
- Alipoor J., Miura Y., Ise T. Power System Stabilization Using Virtual Synchronous Generator With Alternating Moment of Inertia // IEEE Journal of Emerging and Selected Topics in Power Electronics, 2015. V. 3(2). P. 451–458. https://doi.org/ 10.1109/JESTPE.2014.2362530
- Li J., Wen B., Wang H. Adaptive Virtual Inertia Control Strategy of VSG for Micro-Grid Based on Improved Bang-Bang Control Strategy // IEEE Access, 2019. V. 7. P. 39509–39514. https://doi.org/ 10.1109/ACCESS.2019.2904943
- Malekpour M., Kiyoumarsi A., Gholipour M. A hybrid adaptive virtual inertia controller for virtual synchronous generators // International Transactions on Electrical Energy Systems, 2021. V. 31(7). e12913. https://doi.org/ 10.1002/2050-7038.12913
- Fang H., Yu Z. Improved virtual synchronous generator control for frequency regulation with a coordinated self-adaptive method // CSEE Journal of Power and Energy Systems, 2020. https://doi.org/ 10.17775/CSEEJPES.2020.01950. (в печати)
- Zheng T. et al. Adaptive Damping Control Strategy of Virtual Synchronous Generator for Frequency Oscillation Suppression // 12th IET International Conference on AC and DC Power Transmission, 2016. P. 1–5. https://doi.org/ 10.1049/cp.2016.0458
- Shi K. et al. Rotor inertia adaptive control and inertia matching strategy based on parallel virtual synchronous generators system // IET Generation, Transmission & Distribution, 2020. V. 14(10). P. 1854–1861. https://doi.org/ 10.1049/iet-gtd.2019.1394
- Wang Q. et al. Improved Adaptive Inertia and Damping Coefficient Control Strategy of VSG Based on Optimal Damping Ratio // International Power Electronics Conference (IPEC-Himeji 2022-ECCE Asia), 2022. P. 102–107. https://doi.org/ 10.23919/IPEC-Himeji2022-ECCE53331.2022.9806825
- Qu S., Wang Z. Cooperative Control Strategy of Virtual Synchronous Generator Based on Optimal Damping Ratio // IEEE Access, 2021. V. 9. P. 709–719. https://doi.org/ 10.1109/ACCESS.2020.3046626
- Chen J. et al. Adaptive Virtual Synchronous Generator Considering Converter and Storage Capacity Limits // CSEE Journal of Power and Energy Systems, 2022. V. 8(2). P. 580–590. https://doi.org/ 10.17775/CSEEJPES.2019.03360
- Li M. et al. A Dual-Adaptivity Inertia Control Strategy for Virtual Synchronous Generator // IEEE Transactions on Power Systems, 2020. V. 35(1). P. 594–604. https://doi.org/ 10.1109/TPWRS.2019.2935325
- Sun L. et al. Adaptive Inertia Control of Virtual Synchronous Generator Based on Power Feedback // IEEE 4th International Electrical and Energy Conference (CIEEC), 2021. P. 1–5. https://doi.org/ 10.1109/CIEEC50170.2021.9510442
- Wang F. et al. An Adaptive Control Strategy for Virtual Synchronous Generator // IEEE Transactions on Industry Applications, 2018. V. 54(5). P. 5124–5133. https://doi.org/ 10.1109/TIA.2018.2859384
- Li D. et al. A Self-Adaptive Inertia and Damping Combination Control of VSG to Support Frequency Stability // IEEE Transactions on Energy Conversion, 2017. V. 32(1). P. 397–398. https://doi.org/ 10.1109/TEC.2016.2623982e,hfnm
- Markovic U. et al. LQR-Based Adaptive Virtual Synchronous Machine for Power Systems with High Inverter Penetration // IEEE Transactions on Sustainable Energy, 2019. V. 10(3). P. 1501–1512. https://doi.org/ 10.1109/TSTE.2018.2887147e,hfnm
Дополнительные файлы


















