Свойства титаномагнетита пиллоу-базальта Красного моря на различном расстоянии от закаленной корки
- Авторы: Целебровский А.Н.1, Максимочкин В.И.1, Татаринцев А.А.1, Алехина Ю.А.1, Грачев Р.А.1
-
Учреждения:
- Московский государственный университет имени М. В. Ломоносова, физический факультет
- Выпуск: № 1 (2023)
- Страницы: 81-94
- Раздел: Статьи
- URL: https://journal-vniispk.ru/0002-3337/article/view/138994
- DOI: https://doi.org/10.31857/S0002333723010088
- EDN: https://elibrary.ru/CBCUTY
- ID: 138994
Цитировать
Полный текст
Аннотация
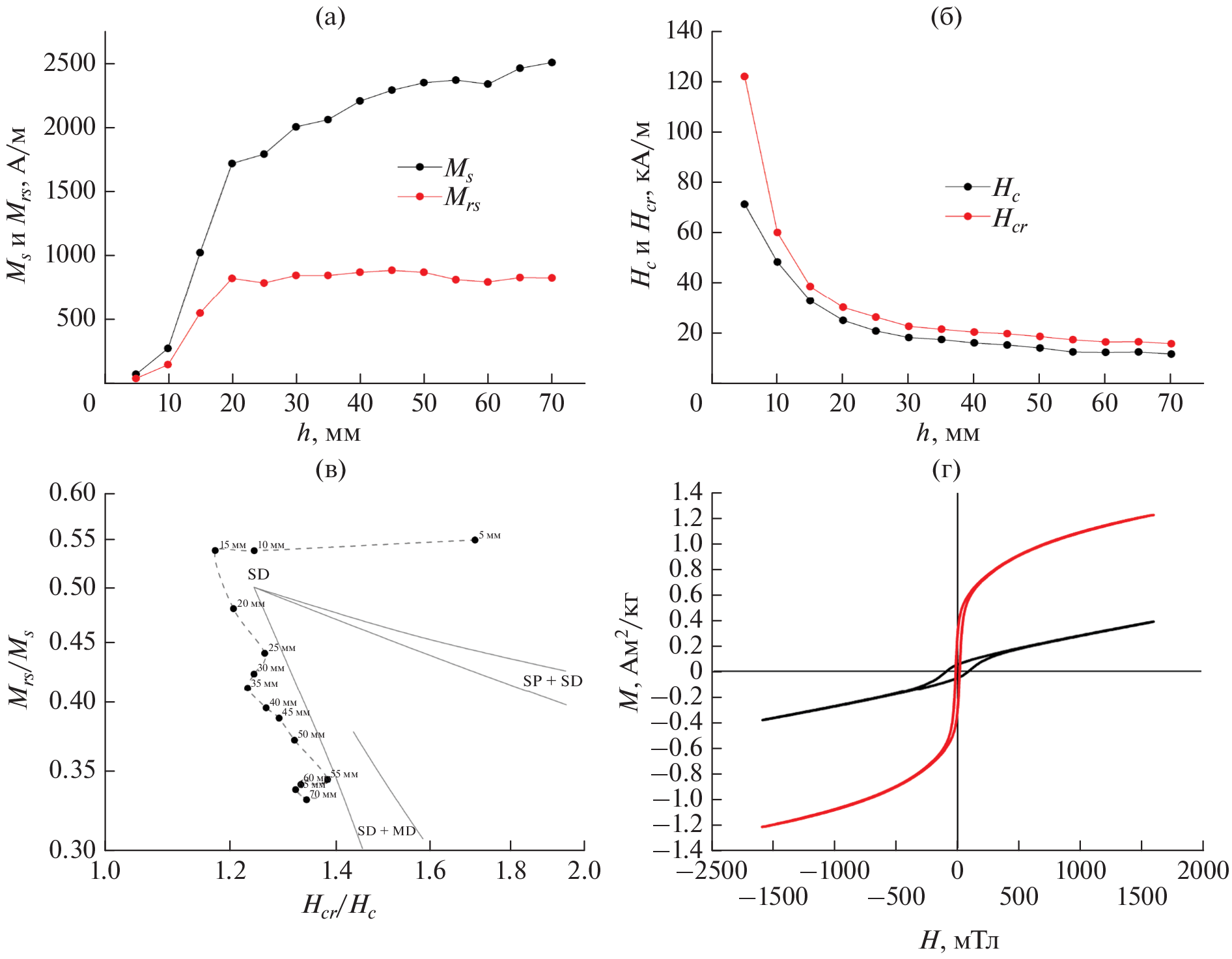
Изучены магнитные свойства и минералогия титаномагнетита в пиллоу-базальте Красного моря голоценового возраста на различном расстоянии от поверхности контакта с водой. Выявлено, что состав титаномагнетита в пиллоу-базальте меняется от корки в глубь подушки: содержание титана в титаномагнетите растет, а магния и алюминия – уменьшается. Титаномагнетит в поверхностном слое пиллоу-базальта (0–2 см) однофазно окислен, максимальная степень окисления 0.13, а на расстоянии более 3 см от корки имеет стехиометрический состав. По росту магнитной восприимчивости от 0.2 до 1.8 × 10–2 СИ, намагниченности насыщения от 0.026 до 0.895 А · м2/кг и остаточной намагниченности насыщения от 0.014 до 0.296 А · м2/кг, уменьшению коэрцитивности (Hc от 90 до 15 мТл, Hcr от 153 до 20 мТл), а также наблюдениями электронной и магнитно-силовой микроскопии показано, что при удалении от корки растет концентрация титаномагнетита в базальте и размер зерен от однодоменного состояния до псевдооднодоменного. Установлено, что магнитная жесткость зерен титаномагнетита коррелирует с максимальной скоростью охлаждения базальта. NRM базальта с удалением от поверхности контакта с водой изменяется немонотонно: до глубины примерно 3 см выявлен ее рост, обусловленный ростом концентрации титаномагнетита, далее уменьшение, обусловленное уменьшением магнитной жесткости зерен. Несмотря на довольно сильную вариацию магнитных свойств в слое 0–7 см пиллоу-базальта, эксперименты по методике Телье–Коэ по всем слоям показали близкие величины палеонапряженности геомагнитного поля (62.5–66.0 мкТл) при высоком коэффициенте качества (11–45). Закономерности в величине палеонапряженности при удалении от поверхности подушки не выявлено.
Ключевые слова
Об авторах
А. Н. Целебровский
Московский государственный университет имени М. В. Ломоносова, физический факультет
Автор, ответственный за переписку.
Email: tselebr@physics.msu.ru
Россия, г. Москва
В. И. Максимочкин
Московский государственный университет имени М. В. Ломоносова, физический факультет
Автор, ответственный за переписку.
Email: maxvi@physics.msu.ru
Россия, г. Москва
А. А. Татаринцев
Московский государственный университет имени М. В. Ломоносова, физический факультет
Email: maxvi@physics.msu.ru
Россия, г. Москва
Ю. А. Алехина
Московский государственный университет имени М. В. Ломоносова, физический факультет
Email: maxvi@physics.msu.ru
Россия, г. Москва
Р. А. Грачев
Московский государственный университет имени М. В. Ломоносова, физический факультет
Email: maxvi@physics.msu.ru
Россия, г. Москва
Список литературы
- Белов К.П. Ферромагнетики и антиферромагнетики вблизи точки Кюри // Успехи физических наук. 1958. Т. 65. № 2. С. 207–231.
- Богданов Ю.А. и др. Атлас подводных фотографий Красноморского рифта / А.С. Монин, В.С. Ястребов (ред.). М.: Наука. 1983. 139 с.
- Большаков А.С., Щербакова В.В. Термомагнитный критерий определения доменной структуры ферримагнетиков // Изв. АН СССР. Сер. Физика Земли. 1979. № 2. С. 38–47.
- Грибов С.К., Долотов А.В., Щербаков В.П. Экспериментальное моделирование химической остаточной намагниченности и методики Телье на титаномагнетитсодержащих базальтах // Физика Земли. 2018. № 2. С. 109–128.
- Максимочкин В.И., Грачев Р.А., Целебровский А.Н. Определение поля формирования искусственной CRM и pTRM методом Телье на различных стадиях окисления природного титаномагнетита // Физика Земли. 2020. № 3. С. 134–146.
- Максимочкин В.И., Целебровский А.Н. Влияние химической намагниченности океанических базальтов на определение палеонапряженности геомагнитного поля методом Телье // Вестник Московского университета. 2015. Т. 6. С. 136–143.
- Максимочкин В.И., Целебровский А.Н. Палеонапряженность геомагнитного поля по базальтам Красного моря // Палеомагнетизм и магнетизм горных пород. Материалы XXV юбилейной Всероссийской школы-семинара по проблемам палеомагнетизма и магнетизма горных пород. Ярославль: Филигрань. 2019. С. 156–163.
- Шашканов В.А., Металлова В.В. Нарушение закона Телье для парциальных термоостаточных намагниченностей // Изв. АН СССР. Сер. Физика Земли. 1972. № 3. С. 80–86.
- Шрейдер А.А. и др. Детальные геомагнитные исследования рифтовой зоны на юге Красного моря // Океанология. 1982. Т. 22. № 3. С. 439–445.
- Щербаков В.П., Грибов С.К., Афиногенова Н.А., Цельмович В.А. Однофазное окисление ферримагнитных зерен как причина L-образной формы диаграмм Араи–Нагата // Физика Земли. 2020. № 5. С. 70–80.
- Bleil U., Petersen N. Variations in magnetization and low-temperature titanomagnetite oxidation of ocean floor basalts // Nature. 1983. V. 301. P. 384–388.
- Coe R.S. Geomagnetic Paleointensities From Radiocarbon-Dated Lava Flows on Hawaii and the Question of the Pacific Nondipole Low // J. Geophys. Res. 1978. V. 83. № B4. P. 1740–1756.
- Day R., Fuller M., Schmidt V.A. Hysteresis properties of titanomagnetites: grain-size and compositional dependence // Phys. Earth Planet. Inter. 1977. V. 13. P. 260–267.
- Dunlop D.J. Theory and application of the Day plot (Mrs/Ms versus Hcr/Hc) 1. Theoretical curves and tests using titanomagnetite data // J. Geophysical Research. 2002. V. 107. № B3. P. EPM 4-1-EPM 4-22.
- Fabian K. Approach to saturation analysis of hysteresis measurements in rock magnetism and evidence for stress dominated magnetic anisotropy in young mid-ocean ridge basalt // Phys. Earth Planet. Inter. 2006. V. 154. № 3–4. P. 299–307.
- Gee J.S., Kent D.V. Source of Oceanic Magnetic Anomalies and the Geomagnetic Polarity Timescale // Treatise on Geophysics. 2007. V. 5. P. 455–507.
- Johnson H.P., Pariso J.E. Variations in oceanic crustal magnetization: systematic changes in the last 160 million years // J. Geophysical Research. 1993. V. 98. № B1.
- Koenigsberger J.G. Natural residual magnetism of eruptive rocks (part 1) // Terr. Magn. Atmos. Electr. 1938. V. 43. № 2. P. 119–130.
- Lattard D. et al. Curie temperatures of synthetic titanomagnetites in the Fe–Ti–O system: Effects of composition, crystal chemistry, and thermomagnetic methods // J. Geophysical Research: Solid Earth. 2006. V. 111. № 12.
- Levi S. The effect of magnetite particle size on paleointensity determinations of the geomagnetic field // Phys. Earth Planet. Inter. 1977. V. 13. P. 245–259.
- aksimochkin V.I., Tselebrovskiy A.N. Chemical magnetization when determining Thellier paleointensity experiments in oceanic basalts. Geophysical Research Abstracts. 2017. V. 19. EGU2017-10613
- Nagata T., Arai Y., Momose K. Secular variation of the geomagnetic total force during the last 5000 years // J. Geophys. Res. 1963. V. 68. № 18. P. 5277–5281.
- Nishitani T., Kono M. Curie temperature and lattice constant of oxidized titanomagnetite // Geophysical J. Royal Astronomical Society. 1983. V. 74. № 2. P. 585–600.
- Richards J.C.W., O’Donovan J.B., Hauptman Z., O’Reilly W., Creer K.M. A magnetic study of titanomagnetite substituted by magnesium and aluminium // Physics of the Earth and Planetary Interiors. 1973. V. 7. № 4. P. 437–444.
- Roman A., Arndt N. Differentiated Archean oceanic crust: Its thermal structure, mechanical stability and a test of the sagduction hypothesis // Geochimica et Cosmochimica Acta. 2020. V. 278. P. 65–77.
- Thellier E., Thellier O. Sur l’intensité du champ magnétique terrestre dans le passé historique et géologique // Ann. Géophysique. 1959. V. 15. № 8.
- Yoder H.S. Generation of Basaltic Magma. Washington, DC: The National Academies Press. 1976.
- Zhou W., Voo R.V., Peacor D.R., Zhang Y. Variable Ti-content and grain size of titanomagnetite as a function of cooling rate in very young MORB // Earth and Planetary Science Letters. 2000. V. 179. № 1. P. 9–20.
- Zijderveld J.D.A. A.C. demagnetization of rocks: analysis of results. Methods in paleomagnetism / Collinson D.W., Creer K.M., Runkorn S. (eds.). Elsevier, Amsterdam. 1967. P. 254–286.
Дополнительные файлы













