Latitudinal Variations of the Geomagnetic Field
- Авторлар: Reshetnyak M.Y.1,2
- 
							Мекемелер: 
							- Schmidt Institute of Physics of the Earth, Russian Academy of Sciences
- Pushkov Institute of Terrestrial Magnetism, Ionosphere and Radio Wave Propagation, Russian Academy of Sciences
 
- Шығарылым: № 2 (2023)
- Беттер: 15-19
- Бөлім: Articles
- URL: https://journal-vniispk.ru/0002-3337/article/view/138996
- DOI: https://doi.org/10.31857/S0002333723020102
- EDN: https://elibrary.ru/LIIBQH
- ID: 138996
Дәйексөз келтіру
Толық мәтін
Аннотация
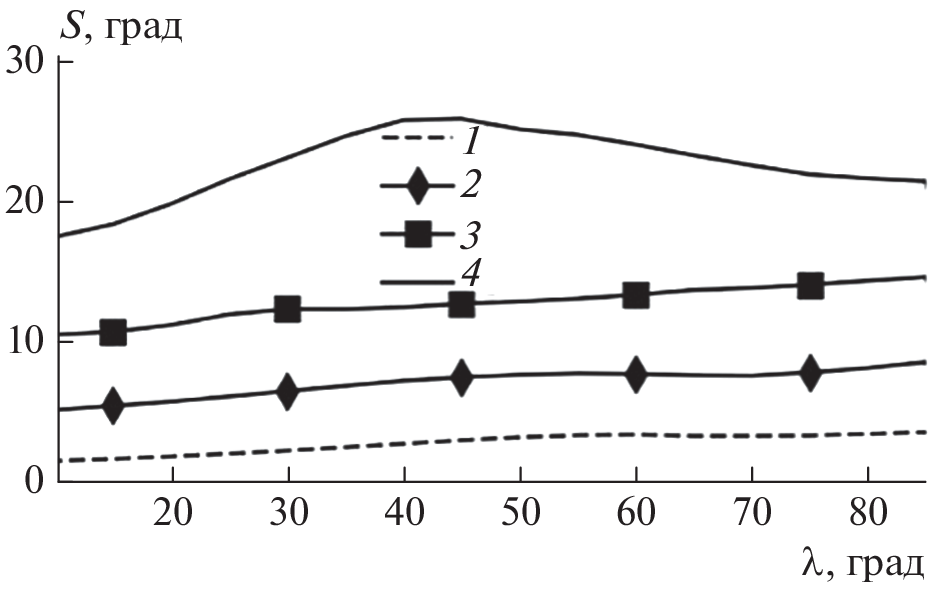
The model of variations in the Earth’s magnetic field with random Gaussian coefficients is considered. It is shown that at small amplitudes of random nondipole field component σ, the scatter of the direction of the virtual geomagnetic pole grows with increasing latitude. At large σ, the scatter does not change much and its maximum is located at middle latitudes.
Негізгі сөздер
Авторлар туралы
M. Reshetnyak
Schmidt Institute of Physics of the Earth, Russian Academy of Sciences; Pushkov Institute of Terrestrial Magnetism, Ionosphere and Radio Wave Propagation, Russian Academy of Sciences
							Хат алмасуға жауапты Автор.
							Email: m.reshetnyak@gmail.com
				                					                																			                												                								123242 Russia, Moscow; 108840 Russia, Troitsk, Moscow						
Әдебиет тізімі
- Бураков К.С., Галягин Д.К., Начасова И.Е., Решетняк М.Ю., Соколов Д.Д., Фрик П.Г. Вейвлет анализ напряженности геомагнитного поля за последние 4000 лет // Физика Земли. 1988. № 9. С. 83–88.
- Петрова Г.Н., Решетняк М.Ю. О временном спектре поля вековой геомагнитной вариации и его источников // Физика Земли. 1999. № 6. С. 53–60.
- Решетняк М.Ю. Эволюция крупномасштабного геомагнитного поля за последние 12 тысяч лет // Геомагнетизм и Аэрономия. 2020. Т. 60. № 1. С. 126–136.
- Хохлов А.В. Моделирование вековых геомагнитных вариаций. Принципы и реализация // Геофизические исследования. 2012. Т.13. № 2. С. 50–61.
- Baag C.G., Helsley C. Geomagnetic secular variation model E // J. Geophys. Res. 1974. V. 79. № 32. P. 4918–4922.
- Biggin A.J., van Hinsbergen D.J., Langereis C.G., Straathof G.B., Deenen M.H. Geomagnetic secular variation in the cretaceous normal superchron and in the Jurassic // Phys. Earth Planet. Int. 2008. V. 169. P. 3–19.
- Christensen U.R., Tilgner A. Power requirement of the geodynamo from ohmic losses in numerical and laboratory dynamos // Nature. 2004. V. 429. № 6988. P. 169.
- Cox A. Latitude dependence of the angular dispersion of the geomagnetic field // Geophys. J. Int. 1970. V. 20. P. 253–269.
- Hulot G., Mouël J. Le. A statistical approach to the earth’s main magnetic field // Phys. Earth Planet. Int. 1994. V. 82. № 3–4. P. 167–183.
- Hulot G., Gallet Y. On the interpretation of virtual geomagnetic pole (VGP) scatter curves // Phys. Earth Planet. Int. 1996. V. 95. № 3–4. P. 37–53.
- Irving E., Ward M.A. A statistical model of the geomagnetic field // Pure Appl. Geophys. 1964. V. 57. № 1. P. 47–52.
- Johnson C., McFadden P. Time-averaged field and paleosecular variation. In Treatise on Geophysics. 2007. V. 5. P. 417–453.
- Korte M., Constable C., Donadini F., Holme R. Reconstructing the holocene geomagnetic field // Earth Planet. Sci. Lett. 2011. V. 312. № 3. P. 497–505.
- Lowes F.J. Spatial power spectrum of the main geomagnetic field // Geopys. J. R. Astr. Soc. 1974. V. 36. P. 717–725.
- McFadden P., Merrill R., McElhinny M., Lee S. Reversals of the Earth’s magnetic field and temporal variations of the dynamo families // J. Geophys. Res. Solid Earth. 1991. V. 96. № B3. P. 3923–3933.
 
				
			 
						 
					 
						 
						 
						 
									
 
  
  
  Мақаланы E-mail арқылы жіберу
			Мақаланы E-mail арқылы жіберу 



