On the Statistical Significance Test for the Procedure of Polarity Classification by Types of Acoustic Emission Sources
- Authors: Smirnov V.B.1,2, Isaeva A.V.1, Kartseva T.I.2, Patonin A.V.3, Shikhova N.M.3, Ponomarev A.V.2
-
Affiliations:
- Faculty of Physics, Moscow State University
- Schmidt Institute of Physics of the Earth, Russian Academy of Science
- Geophysical Observatory “Borok,” Schmidt Institute of Physics of the Earth, Russian Academy of Sciences
- Issue: No 1 (2023)
- Pages: 95-110
- Section: Articles
- URL: https://journal-vniispk.ru/0002-3337/article/view/138998
- DOI: https://doi.org/10.31857/S0002333723010052
- EDN: https://elibrary.ru/CADTET
- ID: 138998
Cite item
Full Text
Abstract
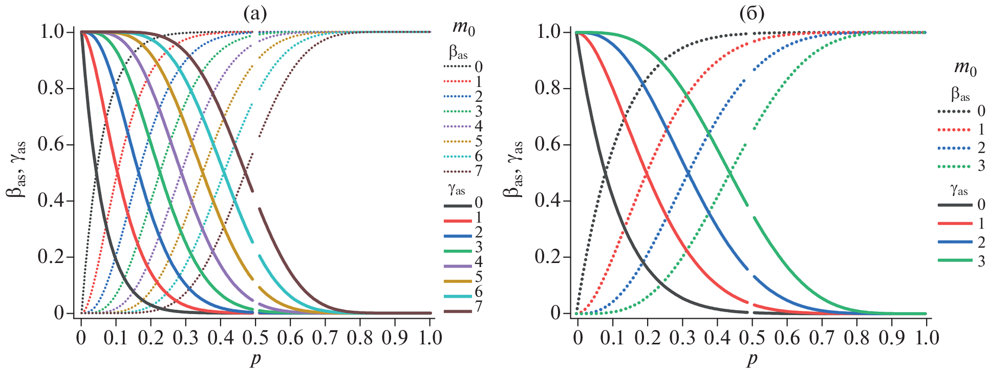
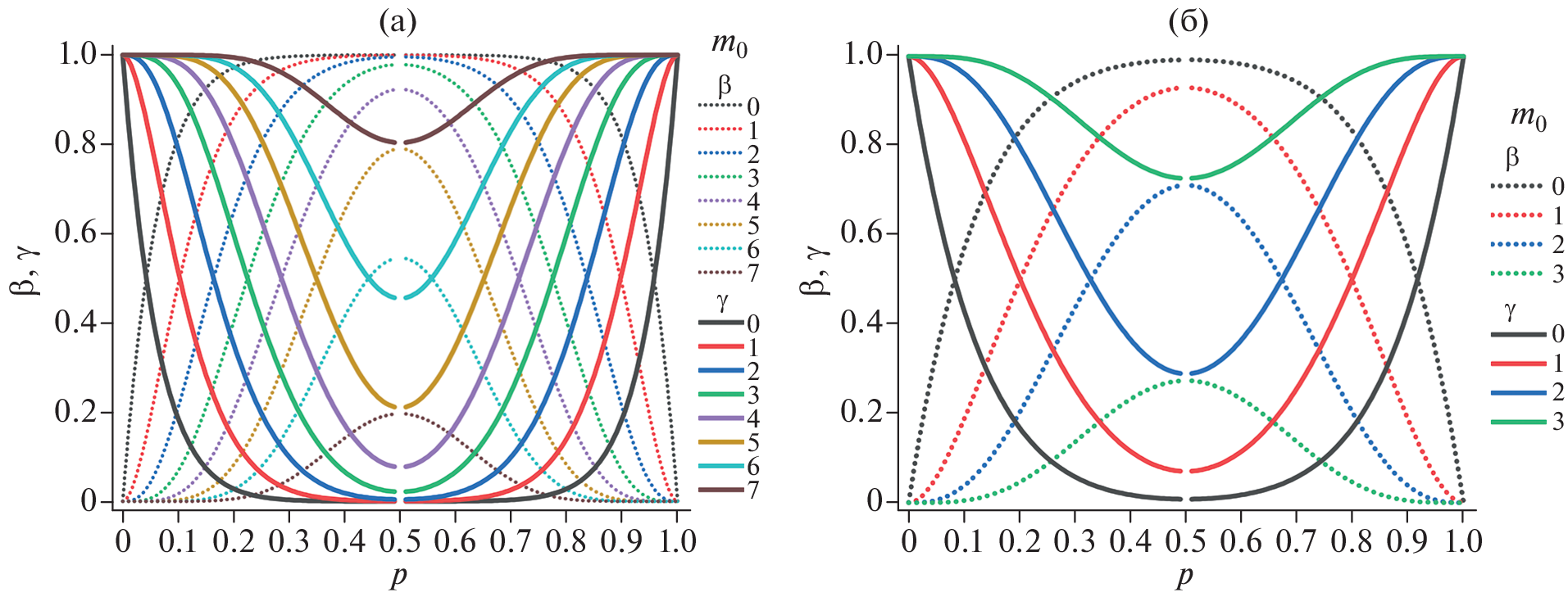
Using a mathematical statistics approach, we review the procedure for type classification of acoustic emission (AE) events into shear, tension, and collapse, proposed by Zang et al. (1998). The procedure is based on counting the signs of first pulses of waves arriving at acoustic sensors and is widely used in rock physics experiments. Under the assumption that the determination errors of first-pulse signs at sensors have uniform and independent distribution, the statistical significance and power of the type separation test are evaluated for a given number of sensors used. We consider and compare three methods of the construction of a statistical test based on the P-value approach and symmetric and asymmetric statistical hypothesis tests. Considering the results of the statistical study, we propose some practical recommendations for selecting a threshold to classify AE event types in experimental studies.
About the authors
V. B. Smirnov
Faculty of Physics, Moscow State University; Schmidt Institute of Physics of the Earth, Russian Academy of Science
Author for correspondence.
Email: vs60@mail.ru
119991 Russia, Moscow; 123242 Russia, Moscow
A. V. Isaeva
Faculty of Physics, Moscow State University
Email: vs60@mail.ru
119991 Russia, Moscow
T. I. Kartseva
Schmidt Institute of Physics of the Earth, Russian Academy of Science
Email: vs60@mail.ru
123242 Russia, Moscow
A. V. Patonin
Geophysical Observatory “Borok,” Schmidt Institute of Physics of the Earth, Russian Academy of Sciences
Email: vs60@mail.ru
152742 Russia, Borok
N. M. Shikhova
Geophysical Observatory “Borok,” Schmidt Institute of Physics of the Earth, Russian Academy of Sciences
Email: vs60@mail.ru
152742 Russia, Borok
A. V. Ponomarev
Schmidt Institute of Physics of the Earth, Russian Academy of Science
Email: vs60@mail.ru
123242 Russia, Moscow
References
- Abubakirov I.R., Pavlov V.M. Determining the Double Couple Moment Tensor for Kamchatka Earthquakes from Regional Seismic Waveforms // Izv., Phys. Solid Earth. 2021. V. 57. P. 332–347. https://doi.org/10.1134/S1069351321030010
- Aki K., Richards P.G. Quantitative Seismology. Univ. Science Books. 2002. 685 p.
- Amrhein V., Korner-Nievergelt F., Roth T. The earth is flat (p > 0.05): significance thresholds and the crisis of unreplicable research // Peer J. 2017. V. 5. P. e3544. https://doi.org/10.7717/peerj.3544
- Borovkov A.A. Mathematical Statistics. Gordon and Breach Publishers. Amsterdam. 1998. 478 p.
- Charalampidou E.M., Stanchits S., Kwiatek G., Dresen G. Brittle failure and fracture reactivation in sandstone by fluid injection // Eur. J. Environ. Civ. Eng. 2015. https://doi.org/10.1080/19648189.2014.896752
- Clarke J., Adam L., Sarout J., van Wijk K., Kennedy B., Dautriat J. The relation between viscosity and acoustic emissions as a laboratory analogue for volcano seismicity // Geology. 2019. V. 47. P. 499-503. https://doi.org/10.1130/G45446.1
- D’Amico S. Moment tensor solutions: A useful tool for seismotectonics / D’Amico S. (ed.). Springer. 2018. 752 p.
- Dreger D.S. Berkeley Seismic Moment Tensor Method, Uncertainty Analysis, and Study of Non-double-couple Seismic Events / D’Amico S. (ed.). Moment Tensor Solutions. Springer Natural Hazards. Springer, Cham. 2018. https://doi.org/10.1007/978-3-319-77359-9_4
- Emanov A.F., Emanov A.A., Chechel’nitskii V.V. et al. The Khuvsgul Earthquake of January 12, 2021 (MW = 6.7, ML = 6.9) and Early Aftershocks // Izv. Phys. Solid Earth. 2022. V. 58. P. 59–73. https://doi.org/10.1134/S1069351322010025
- Everitt B., Skrondal A. The Cambridge dictionary of statistics. Cambridge University Press. Cambridge. 2002. 106 p.
- Fortin J., Stanchits S., Dresen G., Gueguen Y. Acoustic Emissions Monitoring during Inelastic Deformation of Porous Sandstone: Comparison of Three Modes of Deformation // Pure Appl. Geophys. 2009. V. 166. P. 823–841. https://doi.org/10.1007/s00024-009-0479-0
- Graham C.C., Stanchits S., Main I.G., Dresen G. Comparison of polarity and moment tensor inversion methods for source analysis of acoustic emission data // Int. J. Rock. Mech. Min. Sci. Oxford, 2010. V. 47. P. 161–169.
- Kanamori H. Earthquake Seismology: Treatise on Geophysics / Kanamori H. (ed.). Elsevier. 2009. 653 p.
- Kolář P., Petružálek M., Lokajíček T., Šílený J., Jechumtálová Z., Adamová P., Boušková A. Acoustic emission events interpreted in terms of source directivity // Pure Appl Geophys. 2020. V. 177. P. 4271–4288. https://doi.org/10.1007/s00024-020-02517-w
- Kostrov B.V., Das S. Principles of Earthquake Source Mechanics. Cambridge Univ Press. 2005. 286 p.
- Kwiatek G., Charalampidou E.M., Dresen G., Stanchits S. An improved method for seismic moment tensor inversion of acoustic emissions through assessment of sensor coupling and sensitivity to incidence angle // Int. J. Rock. Mech. Min. Sci. 2013. V. 65. P. 153–161. https://doi.org/10.1016/j.ijrmms.2013.11.005
- Lei X.L., Nishizawa O., Kusunose K., Satoh T. Fractal structure of the hypocenter distributions and focal mechanism solutions of acoustic emission in two granites of different grain sizes // Journal of Physics of the Earth. 1992. V. 40. P. 617–634. https://doi.org/10.4294/jpe1952.40.617
- Naoi M., Chen Y., Yamamoto K., Morishige Y. et al. Tensile-dominant fractures observed in hydraulic fracturing laboratory experiment using eagle ford shale // Geophysical J. International. 2020. V. 222(2). P. 769–780. https://doi.org/10.1093/gji/ggaa183
- Ohtsu M. Simplified moment tensor analysis and unified decomposition of acoustic emission source: application to in situ hydrofracturing test // J Geophys Res. 1991. V. 96 (B4)7. P. 6211–6221. https://doi.org/10.1029/90JB02689
- Ohtsu M. Source Mechanisms of AE. Acoustic Emission Testing / Grosse C., Ohtsu M. (eds.). Berlin, Heidelberg, Springer. 2008a. P. 149–174. https://doi.org/10.1007/978-3-540-69972-9_7
- Ohtsu M. Moment Tensor Analysis. Acoustic Emission Testing / Grosse C., Ohtsu M. (eds.). Berlin, Heidelberg, Springer. 2008b. P. 175–200. https://doi.org/10.1007/978-3-540-69972-9_8
- Ohtsu M., Isoda T., Tomoda Y. Acoustic emission techniques standardized for concrete structures // J Acoustic Emission. 2007. V. 25. P. 21–32.
- Patonin A.V., Ponomarev A.V., Smirnov V.B. A laboratory instrumental complex for studying the physics of the destruction of rocks // Seismic instruments. 2014. V. 50. P. 9–19. https://doi.org/10.3103/S0747923914010046
- Patonin A.V., Shikhova N.M. Variations of types of acoustic emission signals during the destruction of rocks in a laboratory experiment. The nineteenth international conference “Physical-Chemical and petrophysical researches in the Earth’s sciences”. Proceedings of the conference. Moscow. 2018. P. 254–256.
- Petružálek M., Jechumtálová Z., Kolář P., Adamová P., Svitek T., Šílený J., Lokajíček T. Acoustic emission in a laboratory: mechanism of microearthquakes using alternative source models // J Geophys Res. Solid Earth. 2018. V. 123(6). P. 4965–4982. https://doi.org/10.1029/2017JB015393
- Petružálek M., Jechumtálová Z., Šílený J., Kolář P., Svitek T., Lokajíček T., Turková I., Kotrlý M., Onysko R. Application of the shear-tensile source model to acoustic emissions in Westerly granite // Int. J. Rock. Mech. Min. Sci. 2020. V. 128. https://doi.org/10.1016/j.ijrmms.2020.104246
- Petružálek M., Lokajíček T., Svitek T., Jechumtálová Z., Kolář P., Šílený J. Fracturing of migmatite monitored by acoustic emission and ultrasonic sounding // Rock. Mech. Rock. Eng. 2019. V. 52. P. 47–59. https://doi.org/10.1007/s00603-018-1590-2
- Sondergeld C.H., Estey L.H. Source mechanisms and microfracturing during uniaxial cycling of rock // Pure and Applied Geophysics. 1982. V. 120(1). P. 151–166. https://doi.org/10.1007/BF00879434
- Stanchits S., Dresen G. Advanced acoustic emission analysis of brittle and porous rock fracturing. EPJ Web of Conferences. EDP Sciences. 2010. V. 6. https://doi.org/10.1051/epjconf/20100622010
- Stanchits S., Mayr S., Shapiro S., Dresen G. Fracturing of porous rock induced by fluid injection // Tectonophysics. 2011. V. 503. P. 129–145. https://doi.org/10.1016/j.tecto.2010.09.022
- Stanchits S., Vinciguerra S., Dresen G. Ultrasonic velocities, acoustic emission characteristics and crack damage of basalt and granite // Pure Appl Geophys. 2006. V. 163. P. 975–994. https://doi.org/10.1007/s00024-006-0059-5
- Stein S., Wysession M. An introduction to seismology, earthquakes, and earth structure. Blackwell Publishing. 2003. 498 p.
- Stern H.S. A test by any other name: P values, Bayes factors, and statistical inference // Multivariate behavioral research. 2016. V. 51(1). P. 23–29. https://doi.org/10.1080/00273171.2015.1099032
- Stierle E., Vavryčuk V., Kwiatek G., Charalampidou E.M., Bohnhoff M. Seismic moment tensors of acoustic emissions recorded during laboratory rock deformation experiments: sensitivity to attenuation and anisotropy // Geophysical Supplements to the Monthly Notices of the Royal Astronomical Society. 2016. V. 205. P. 38–50. https://doi.org/10.1093/gji/ggw009
- Timoshkina E.P., Mikhailov V.O., Smirnov V.B. et al. Model of the Rupture Surface of the Khuvsgul Earthquake of January 12, 2021 From InSAR Data // Izv. Phys. Solid Earth. 2022. V. 58. P. 74–79. https://doi.org/10.1134/S1069351322010098
- Udias A., Buforn E. Principles of seismology. Cambridge Univ Press. 2018. 544 p.
- Udias A., Madariaga R., Buforn E. Source Mechanism of Earthquakes. Cambridge Univ Press. 2014. 302 p.
- Watts A.B. Crust and lithosphere dynamics. Treatise in Geophysics / Watts A.B. (ed.). Elsevier. 2015. 630 p.
- Zang A., Wagner F.C., Stanchits S., Dresen G., Andresen R., Haidekker M.A. Source analysis of acoustic emissions in Aue granite cores under symmetric and asymmetric compressive loads // Geophys J Int. 1998. V. 135. P. 1113–1130. https://doi.org/10.1046/j.1365-246X.1998.00706.x
- Zang A., Wagner F.C., Stanchits S., Janssen C., Dresen G. Fracture process zone in granite // J. Geophys. Res. 2000. V. 105. P. 651–661.
- Zang A., Wagner F.C., Dresen G. Acoustic emission, microstructure, and damage model of dry and wet sandstone stressed to failure // J Geophys Res Solid Earth. 1996. V. 101. P. 17507–17521.
- Zhang B., Xiaopeng T., Binxiang J., Jinzhou Z., Zheming Z., Shunde Y. Study on microseismic mechanism of hydro-fracture propagation in shale // J. Petroleum Science and Engineering. 2019. V. 178. P. 711–722. https://doi.org/10.1016/j.petrol.2019.03.085
- Zhuang L., Zang A. Laboratory hydraulic fracturing experiments on crystalline rock for geothermal purposes // Earth-Science Reviews. 2021. 103580. https://doi.org/10.1016/j.earscirev.2021.103580
Supplementary files











