Transient Electromagnetic Process in the Waters of the Sea Shelf with Axial and Equatorial Electric Installations and a Field Experiment
- Авторлар: Ageenkov E.V.1, Sitnikov A.A.2, Vladimirov V.V.2, Pesterev I.Y.2
- 
							Мекемелер: 
							- Trofimuk Institute of Petroleum-Gas Geology and Geophysics, Siberian Branch of the Russian Academy of Sciences
- OOO Siberian Geophysical Research Production Company
 
- Шығарылым: № 2 (2023)
- Беттер: 224-240
- Бөлім: ДИСКУССИИ
- URL: https://journal-vniispk.ru/0002-3337/article/view/139010
- DOI: https://doi.org/10.31857/S0002333723020011
- EDN: https://elibrary.ru/LGSTNS
- ID: 139010
Дәйексөз келтіру
Толық мәтін
Аннотация
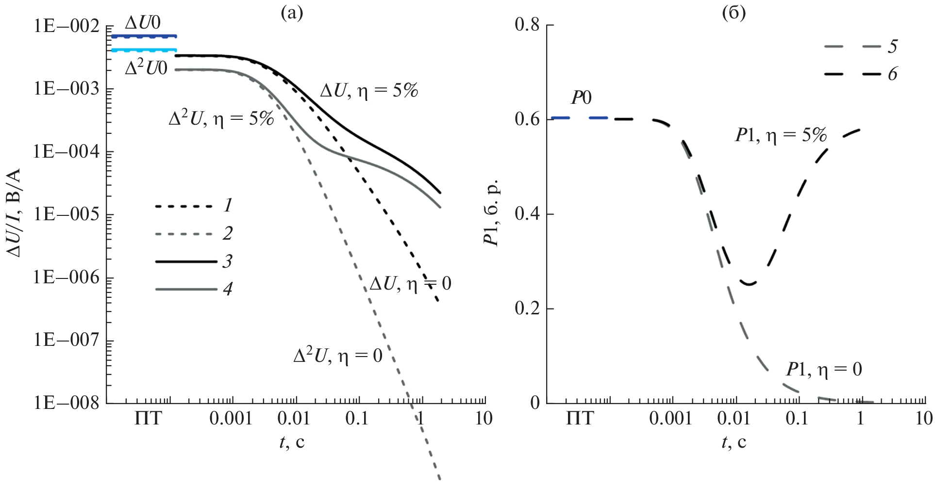
A change in the non-stationary electromagnetic (EM) signal over the conducting polarizable Earth covered by sea water on measuring lines located in the axial and equatorial regions of the source – a pulsed horizontal electric line (HEL) – is considered. When the HEL operates under pulsed conditions, it creates a galvanic and eddy current in the medium. If the medium affected by the HEL is heterogeneous, both influences lead to the separation of bound charges. After attenuating the impact of an artificial source, relaxation (depolarizing) processes of various nature appear in such a medium, manifesting themselves, in particular, in the form of an EM signal. As a result, the transient process recorded by the grounded line after the pulsed effect of the HEL is at least a superposition of three components: the transient electromagnetic (TEM) signals, galvanically induced polarization (GIP) and inductively induced polarization (IIP). As the contribution of the TEM field component to the overall signal decreases, the IP signal is manifested in the transient process by a change in the time response of the decay, to the point where the signal reverses polarity. As shown earlier by numerical simulations for the axial region of the HEL, the manifestation of the IIP signal at late transient process times, for most of the geoelectric conditions on land, is invisible against the GIP manifestation (Ageenkov et al., 2020). These calculations also show that in the axial region, the GIP signal manifests itself in the form of a deceleration of the transient process rate, and the IDP signal – an acceleration of the decay rate, to the point where the signal changes its sign. Field measurements performed by the aquatic differential-normalized method of electrical prospecting (ADNME), which uses axial electrical installations, record transient processes with a change in the time response of the decay: it becomes more delayed or, vice versa, runs faster and may be accompanied by a change in the polarity of the signal. In other words, measured signals of different forms are observed, which are presumably associated with the manifestation of the GIP or IIP signals. The relevance of the publication lies in the need to explain the results of field measurements performed offshore, to understand the relationship between the course of the transient process and the geoelectric conditions existing in the water area. And in general, to describe the formation of the transient response of the medium in the axial and equatorial region of the HEL for the conditions of aquatic geoelectrics. The calculated signal for axial and equatorial electrical installations with several spacings under the conditions of the sea shelf water area is studied when the installation is located on the surface of and inside the water layer, and on the seabed of the water area – on geological formations. For axial installations, calculations are made of the quantities used in the ADNME: the transient process ΔU(t), the finite difference of the transient process Δ2U(t) and the transformant P1(t) – the ratio of Δ2U(t) to ΔU(t). For equatorial installations, the signal ΔU(t). is calculated. The signals of a two-layered model of the medium with polarizable and non-polarizable bases are compared.
Авторлар туралы
E. Ageenkov
Trofimuk Institute of Petroleum-Gas Geology and Geophysics, Siberian Branch of the Russian Academy of Sciences
							Хат алмасуға жауапты Автор.
							Email: AgeenkovEV@ipgg.sbras.ru
				                					                																			                												                								630090 Russia, Novosibirsk						
A. Sitnikov
OOO Siberian Geophysical Research Production Company
							Хат алмасуға жауапты Автор.
							Email: AAS@dnme.ru
				                					                																			                												                								664050  Russia, Irkutsk						
V. Vladimirov
OOO Siberian Geophysical Research Production Company
														Email: AAS@dnme.ru
				                					                																			                												                								664050  Russia, Irkutsk						
I. Pesterev
OOO Siberian Geophysical Research Production Company
														Email: AAS@dnme.ru
				                					                																			                												                								664050  Russia, Irkutsk						
Әдебиет тізімі
- Агеев В.В., Каринский С.Д., Светов Б.С. Становление электромагнитного поля в поляризующейся среде и определение параметров Cole-Cole // Геофизика. 2006. № 5. С. 40–45.
- Агеенков Е.В., Давыденко Ю.А., Фомицкий В.А. Влияние неосевого расположения приемной и питающей электрических линий на результаты дифференциально-нормированного метода электроразведки // Геология и геофизика. 2012. Т. 53 (1). С. 150–157.
- Агеенков Е.В., Ситников А.А., Пестрев И.Ю., Попков А.В. О проявлении процессов индукционного становления и вызванной поляризации при работе с осевой и симметричной электрическими установками // Геология и геофизика. 2020. Т. 61. № 7. С. 976–991. https://doi.org/10.15372/GiG2019151
- Агеенков Е.В., Ситников А.А., Воднева Е.Н. Проявление сигнала вызванной поляризации на многоразносных установках в условиях акваторий с глубиной моря до 100 м // Науки о Земле и недропользование. 2021. Т. 44. № 3. С. 301–311.
- Агеенков Е.В., Ситников А.А., Воднева Е.Н. Результаты математического моделирования переходных процессов для условий акваторий морского шельфа // Геология и геофизика. 2022. Т. 63. № 7. С. 971—987.
- Антонов Е.Ю., Шеин А.Н. Разделение эффекта становления и явления вызванной поляризации при зондировании поляризующихся сред методом переходных процессов. Сборник материалов международного научного конгресса “Гео-Сибирь-2007”. 25–27 апреля 2007 г. Новосибирск: СГГА. 2006. С. 231–218.
- Антонов Е.Ю., Шеин А.Н. Способы повышения качества инверсии данных нестационарных электромагнитных зондирований // Геология и геофизика. 2008. № 10. С. 1046–1062.
- Вишняков А.Э., Лисицын Е.Д., Яневич М.Ю. Влияние временных параметров вызванной поляризации залежей углеводородов на переходные процессы электромагнитного поля. Техника и методика геофизических исследований Мирового океана. Сборник научных трудов. ПГО “Севморгеология”. 1988. С. 124–132.
- аменецкий Ф.М., Тригубович Г.М., Чернышев А.В. Три лекции о вызванной поляризации геологической среды. Мюнхен: Вела Ферлаг. 2014. 58 с
- Кожевников Н.О., Антонов Е.Ю. Импульсная индуктивная электроразведка поляризующихся сред // Геофизический журнал. 2009. Т. 31. № 4. С. 104–118.
- Кожевников Н.О. Быстропротекающая индукционно-вызванная поляризация в мерзлых породах // Геология и геофизика. 2012. Т. 53. № 4. С. 527–540.
- Комаров В.А. Электроразведка методом вызванной поляризации. Л.: Недра. 1980. 391 с.
- Кормильцев В.В. Переходные процессы при вызванной поляризации. М.: Недра. 1980. 130 с.
- Левченко А.В. Взаимное влияние процессов индукции и вызванной поляризации при индуктивном и гальваническом возбуждении. Дис. … канд. техн. наук. Свердловск: УрО РАН институт геофизики. 1992. 17 с.
- Легейдо П.Ю., Мандельбаум М.М., Рыхлинский Н.И. Дифференциально-нормированный метод электроразведки при прямых поисках залежей углеводородов // Геофизика. 1995. № 4. С. 42–45.
- Легейдо П.Ю., Мандельбаум М.М., Рыхлинский Н.И. Информативность дифференциальных методов электроразведки при изучении поляризующихся сред // Геофизика. 1997. № 3. С. 49–56.
- Легейдо П.Ю. Теория и технология дифференциально-нормированной геоэлектроразведки для изучения поляризующихся разрезов в нефтегазовой геофизике. Дисс. ... докт. геол.-мин. наук. Иркутск: ИрГТУ. 1998. 198 с.
- Марков С.Ю., Горбачев С.В., Иванов С.А., Мятчин О.М., Нурмухамедов Т.В., Смилевец Н.П. и др. Повышение надежности прогноза углеводородов на шельфе Печорского моря по результатам переинтерпретации электроразведочных работ в комплексе с сейсморазведочными данными // Геофизика. 2021. № 3. С. 25–33.
- Матвеев Б.К. Электроразведка. М.: Недра. 1990. 368 с.
- Мезенцев А.Н. Математическое моделирование неустановившихся электромагнитных полей заземленных и незаземленных источников в поляризующихся средах. Дис. … докт. физ.-мат. наук. Свердловск: УрО АН СССР Институт геофизики. 1990. 38 с.
- Могилатов В.С. Импульсная электроразведка. Новосибирск: НГУ. 2014. 300 с.
- Могилатов В.С. Эффективная электроразведка в море: csem и другие методы // Геофизика. 2015. № 6. С. 38–42.
- Моисеев В.С. Метод вызванной поляризации при поисках нефтеперспективных площадей. Новосибирск: Наука. 2002. 136 с.
- Небрат А.Г. Интерпретация данных ЗСБ в морских условиях. Дис. … канд. геол.-мин. наук. 04.00.12. Москва. 1990. 198 с. 15 с.
- Персова М.Г., Соловейчик Ю.Г., Абрамов М.В. Конечноэлементное моделирование геоэлектромагнитных полей, возбуждаемых горизонтальной электрической линией //Сибирский журн. индустриальной математики. 2009. № 4(40). С. 106–119.
- Петров А.А. Возможности метода становления электрического поля при поисках углеводородов в шельфовых зонах // Геофизика. 2000. № 5. С. 21–26.
- Ситников А.А., Иванов С.А., Жуган П.П., Мальцев С.Х., Агеенков Е.В. Аппаратура, устройства и системы наблюдений для решения нефтегазопоисковых и инженерно-геологических задач на акваториях электроразведочными методами ДНМЭ и НДЭМЗ // Приборы и системы разведочной геофизики. 2017. № 2. С. 34–41.
- Соловейчик Ю.Г., Персова М.Г., Абрамов М.В., Токарева М.Г. Конечноэлементное моделирование электрического и магнитного полей вызванной поляризации в трехмерной среде // Сибирский журн. индустриальной математики. 2011. Т. 14. № 3. С. 112–124.
- Табаровский Л.А. Применение метода интегральных уравнений в задачах геоэлектрики. Новосибирск: Наука. 1975. 143 с.
- Уэйт Дж.Р. Геоэлектромагнетизм. М.: Недра. 1987. 235 с.
- Pelton W.H., Ward S.H., Hallof P.G., Sill W.R., Nelson P.H. Mineral discrimination and removal of inductive coupling with multifre-quency IP // Geophysics. 1978. V. 43. P. 588–609.
- Strack K.-M. Exploration with deep transient electromagnetics. Elsevier science publishing Co. 1992. 373 p.
- Strack K.-M., Vozoff K. Integreiting long offset transient electromagnetic (LOTEM) with seismics in an exploration environment // Geophysical prospecting. 1999. V. 44(6). P. 997–1017.
- West G.F., Macnae J.C. Electromagnetic physics of the electromagnetic induction exploration method // Electromagnetic Methods in Applied Geophysics–Applications. SEG Investigations in Geophysics. 2008. V. 2. P. 5–46.
Қосымша файлдар
 
				
			 
						 
					 
						 
						 
						 
									
 
  
  
  Мақаланы E-mail арқылы жіберу
			Мақаланы E-mail арқылы жіберу 












