On the Nature of Negative Values of Induced Polarization in the Transient Electromagnetic Process when Working with an Axial Electrical Installation on the Sea Shelf
- Authors: Ageev V.V.1
-
Affiliations:
- Geoelectromagnetic Research Center, Schmidt Institute of Physics of the Earth, Russian Academy of Sciences
- Issue: No 2 (2023)
- Pages: 241-250
- Section: ДИСКУССИИ
- URL: https://journal-vniispk.ru/0002-3337/article/view/139011
- DOI: https://doi.org/10.31857/S0002333723020023
- EDN: https://elibrary.ru/LGYWWP
- ID: 139011
Cite item
Full Text
Abstract
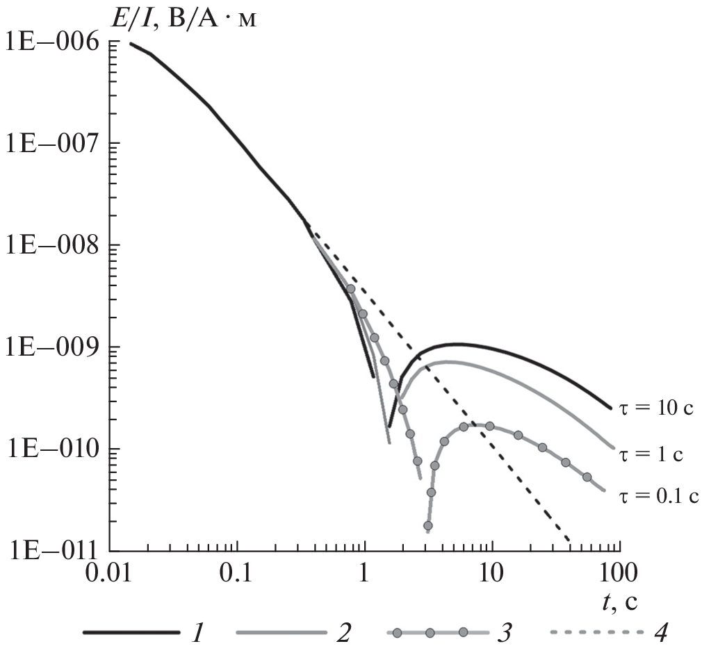
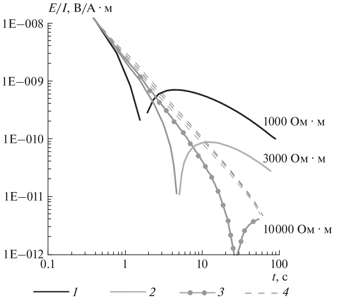
The paper describes the ideas about the sources of induced polarization fields generated by external forces of non-electrical origin. Layered polarizable media are considered, over which a change in the sign of induced polarization can be observed for an axial electrical installation. Numerical model experiments substantiate the conclusion that the induced polarization is caused by galvanic currents and is not related to the induction component in this case.
About the authors
V. V. Ageev
Geoelectromagnetic Research Center, Schmidt Institute of Physics of the Earth, Russian Academy of Sciences
Author for correspondence.
Email: ageevvv@yandex.ru
108840 Russia, Troitsk
References
- Агеев В.В., Каринский С.Д., Светов Б.С. Об определении параметров Cole-Cole в поляризующихся средах // Геофизика. 2006. № 5. С. 40–45.
- Агеенков Е.В., Ситников А.А., Владимиров В.В., Пестерев И.Ю. Переходный процесс на акваториях морского шельфа при работе с осевой и экваториальной электрическими установками и полевой эксперимент // Физика Земли. 2022. № 2. С. 224–240.
- Каринский А.Д. Решение осесимметричной прямой задачи теории каротажа КС при возбуждении поля переменным током // Геофизика. 1998. № 2. С. 20–28.
- Каринский С.Д. Квазистатический метод расчета переходных процессов вызванной поляризации // Физика Земли. № 2. 2011. С. 27–34.
- Кауфман А.А., Андерсон Б.И. Принципы методов наземной и скважинной электроразведки. Тверь: АИС. 2013. 488 с.
- Кормильцев В.В. Вызванная поляризация в уравнениях электродинамики. Свердловск. 1981. 44 с.
- Светов Б.С., Агеев В.В., Агеева О.А., Каринский С.Д. О связи феноменологического описания вызванной поляризации среды с происходящими в ней физическими процессами. Постановка вопроса // Геофизика. 2011. № 4. С. 25–29.
- Титов К.В. Электрокинетические явления горных пород и их применение в геоэлектрике. Дис. … докт. геол.-мин. наук. С.-Пб. 2003.
- Шестернев Д.М., Карасев А.П., Оленченко В.В. Исследование криолитозоны методом РСВП. Новосибирск. СО РАН. 2003. 238 с.
Supplementary files











