Analysis of Contemporary Deformations of the North-Western Caucasu s and Ciscaucasia Based on GNSS Data
- Autores: Steblov G.M.1,2, Agibalov A.O.1, Beloborodov D.E.1, Zaitsev V.A.3, Perederin .P.1, Perederin F.V.1, Sentsov A.A.1, Fadeeva K.V.3
-
Afiliações:
- Schmidt Institute of Physics of the Earth, Russian Academy of Sciences
- Institute of Earthquake Prediction Theory and Mathematical Geophysics, Russian Academy of Sciences
- Moscow State University
- Edição: Nº 4 (2023)
- Páginas: 65-74
- Seção: Articles
- URL: https://journal-vniispk.ru/0002-3337/article/view/139022
- DOI: https://doi.org/10.31857/S0002333723040117
- EDN: https://elibrary.ru/TMKUHM
- ID: 139022
Citar
Texto integral
Resumo
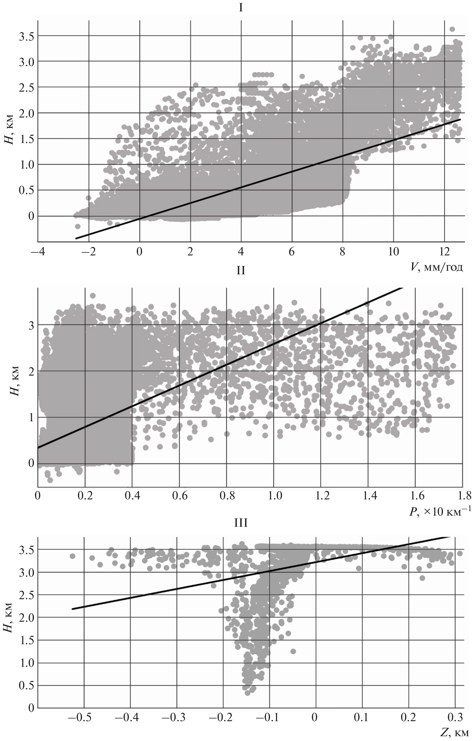
The field of the contemporary deformation of the North-Western Caucasus and Ciscaucasia is described based on GNSS horizontal movement data. It is shown that the deformation velocity is sufficient for the activation of large-scale faults of the region to be followed by seismic events with a moment magnitude of up to 7.0. Yet, the orogenic uplift at a rate of up to 12 mm/yr and the development of its varied, deep-broken relief cannot be explained only by the effect of external horizontal stresses. These processes are conditioned, to a great extent, on internal isostatic forces.
Palavras-chave
Sobre autores
G. Steblov
Schmidt Institute of Physics of the Earth, Russian Academy of Sciences; Institute of Earthquake Prediction Theory and Mathematical Geophysics, Russian Academy of Sciences
Autor responsável pela correspondência
Email: steblov@ifz.ru
Russia, 123995, Moscow; Russia, 117997, Moscow
A. Agibalov
Schmidt Institute of Physics of the Earth, Russian Academy of Sciences
Autor responsável pela correspondência
Email: agibalo@yandex.ru
Russia, 123995, Moscow
D. Beloborodov
Schmidt Institute of Physics of the Earth, Russian Academy of Sciences
Autor responsável pela correspondência
Email: denbeloborodov@gmail.com
Russia, 123995, Moscow
V. Zaitsev
Moscow State University
Autor responsável pela correspondência
Email: v.zaitsev@mail.ru
Russia, 119991, Moscow
V. Perederin
Schmidt Institute of Physics of the Earth, Russian Academy of Sciences
Autor responsável pela correspondência
Email: vpp@ifz.ru
Russia, 123995, Moscow
F. Perederin
Schmidt Institute of Physics of the Earth, Russian Academy of Sciences
Autor responsável pela correspondência
Email: crash@ifz.ru
Russia, 123995, Moscow
A. Sentsov
Schmidt Institute of Physics of the Earth, Russian Academy of Sciences
Autor responsável pela correspondência
Email: alekssencov@yandex.ru
Russia, 123995, Moscow
K. Fadeeva
Moscow State University
Autor responsável pela correspondência
Email: karina-fadeeva-2000@mail.ru
Russia, 119991, Moscow
Bibliografia
- Агибалов А.О., Зайцев В.А., Сенцов А.А., Девяткина А.С. Оценка влияния современных движений земной коры и активизированного в новейшее время докембрийского структурного плана на рельеф Приладожья (юго-восток Балтийского щита) // Геодинамика и тектонофизика. 2017. Т. 8. № 4. С. 791–807.
- Артюшков Е.В. Вертикальные движения земной коры на континентах как отражение глубинных процессов в коре и мантии Земли: геологические следствия // Вестник Российской академии наук. 2012а. Т. 82. № 12. С. 1075–1091.
- Артюшков Е.В. Новейшие поднятия земной коры как следствие инфильтрации в литосферу мантийных флюидов // Геология и геофизика. 2012б. Т. 53. № 6. С. 738–760.
- Астахов В.В., Нечипорова Т.П. Современное состояние и перспективы геоморфологического картографирования территории Северного Кавказа // Изв. ВУЗов. Северо-Кавказский регион. Серия: Естественные науки. 2014. № 4. С. 104–108.
- Бабешко В.А., Калинчук В.В., Шестопалов В.Л., Шереметьев В.М. Технологии геодинамического мониторинга района транспортного перехода через Керченский пролив // Наука Юга России. 2016. Т. 12. № 1. С. 22–31.
- Горбатиков А.В., Рогожин Е.А., Степанова М.Ю., Хазарова Ю.В., Андреева Н.В., Передерин Ф.В., Заалишвили В.Б., Мельков Д.А., Дзеранов Б.В., Дзебоев Б.А., Габараева А.Ф. Особенности глубинного строения и современной тектоники большого Кавказа в осетинском секторе по комплексу геофизических данных // Физика Земли. 2015. № 1. С. 28–39.
- Делоне Б.Н. О пустоте сферы // Изв. АН СССР. ОМЕН. 1934. № 4. С. 793–800.
- Каждан А.Б., Гуськов О.И. Математические методы в геологии. М.: Недра. 1990. 251 с.
- Карта современных вертикальных движений земной коры Восточной Европы / Ю.А. Мещеряков (гл. ред.). М.: ГУГК. 1971. М-б 1 : 10 000 000.
- Маркович К.И. Влияние конфигурации конечных элементов на точность определения компонентов деформации // Вестник СГУГиТ. 2019. Т. 24. № 3. С. 37–51.
- Милюков В.К., Миронов А.П., Овсюченко А.Н., Горбатиков А.В., Стеблов Г.М., Корженков А.М., Дробышев В.Н., Хубаев Х.М., Агибалов А.О., Сенцов А.А., Dogan U., Ergintav S. Современные тектонические движения Западного Кавказа и Предкавказья по ГНСС наблюдениям // Геотектоника. 2022. № 1. С. 51–67.
- Нечаев Ю.В. Линеаменты и тектоническая раздробленность. Дистанционное изучение внутреннего строения литосферы / акад. А.О. Глико (ред.). М.: ИФЗ РАН. 2010. 215 с.
- Осика Д.Г. Пономарева Н.Л., Отинова А.Ю., Магомедов Ю.М. К сейсмотектонике Кавказа. Труды Института геологии Дагестанского научного центра РАН. 2011. №. 57. С. 95–98.
- Рогожин Е.А., Овсюченко А.Н, Лутиков А.И., Собисевич А.Л., Собисевич Л.Е., Горбатиков А.В. Эндогенные опасности Большого Кавказа. М.: ИФЗ РАН. 2014. 256 с.
- Руководство по безопасности при использовании атомной энергии “Оценка исходной сейсмичности района и площадки размещения объекта использования атомной энергии при инженерных изысканиях и исследованиях” РБ-019-18. URL: https://docs.secnrs.ru/documents/rbs/РБ-019-18/РБ-019-18.pdf. Дата обращения: 07.07.2022.
- Руководство пользователя “Analysis Package Reservoir Modelling System”. URL: www.geodisaster.ru/index.php?page=uchebnye-posobiya-2. Дата обращения 01.12.2022.
- Спиридонов А.И. Геоморфологическое картографирование. М.: Недра. 1975. 184 с.
- Трихунков Я.И. Морфоструктура и опасные геоморфологические процессы Северо-Западного Кавказа. Дис. … канд. геогр. наук. М. 2009. 213 с.
- Фадеева К.В., Зайцев В.А. Связь новейшего и современного полей напряжений Большого Кавказа и Предкавказья // Динамическая геология. 2022. № 1. С. 121–150.
- Хаин В.Е. Тектоническая карта Кавказа. М.: ГУГК. 1972. М-б 1 : 5 500 000.
- Цифровая модель рельефа. URL: https://topex.ucsd.edu/cgi-bin/get_data.cgi. Дата обращения 07.07.2022.
- Яковлев Ф.Л., Горбатов Е.С. Выявление основных процессов формирования альпийского Большого Кавказа по параметрам сбалансированной модели его структуры (факторный анализ). Тектонофизика и актуальные вопросы наук о Земле. Материалы Четвертой тектонофизической конференции. М.: ИФЗ РАН. 2016. Т. 1. С. 304–313.
- Allmendinger R.W., Cardozo N.C., Fisher D. Structural geology algorithms: Vectors & Tensors. Cambridge: Cambridge University Press. 2012. 302 p.
- International Seismological Centre Bulletin: Focal mechanism search. URL: http://www.isc.ac.uk/iscbulletin/search/fmechanisms / Дата обращения 01.08.2022.
Arquivos suplementares






