Влияние структуры на особенности разрушения горных пород: моделирование методом дискретных элементов и лабораторный эксперимент
- Авторы: Гиляров В.Л.1, Дамаскинская Е.Е.1, Гесин И.Д.2
-
Учреждения:
- Физико-технический институт им. А.Ф. Иоффе РАН
- Санкт-Петербургский политехнический университет Петра Великого
- Выпуск: № 3 (2023)
- Страницы: 158-167
- Раздел: Статьи
- URL: https://journal-vniispk.ru/0002-3337/article/view/139034
- DOI: https://doi.org/10.31857/S0002333723030031
- EDN: https://elibrary.ru/JZNSMS
- ID: 139034
Цитировать
Полный текст
Аннотация
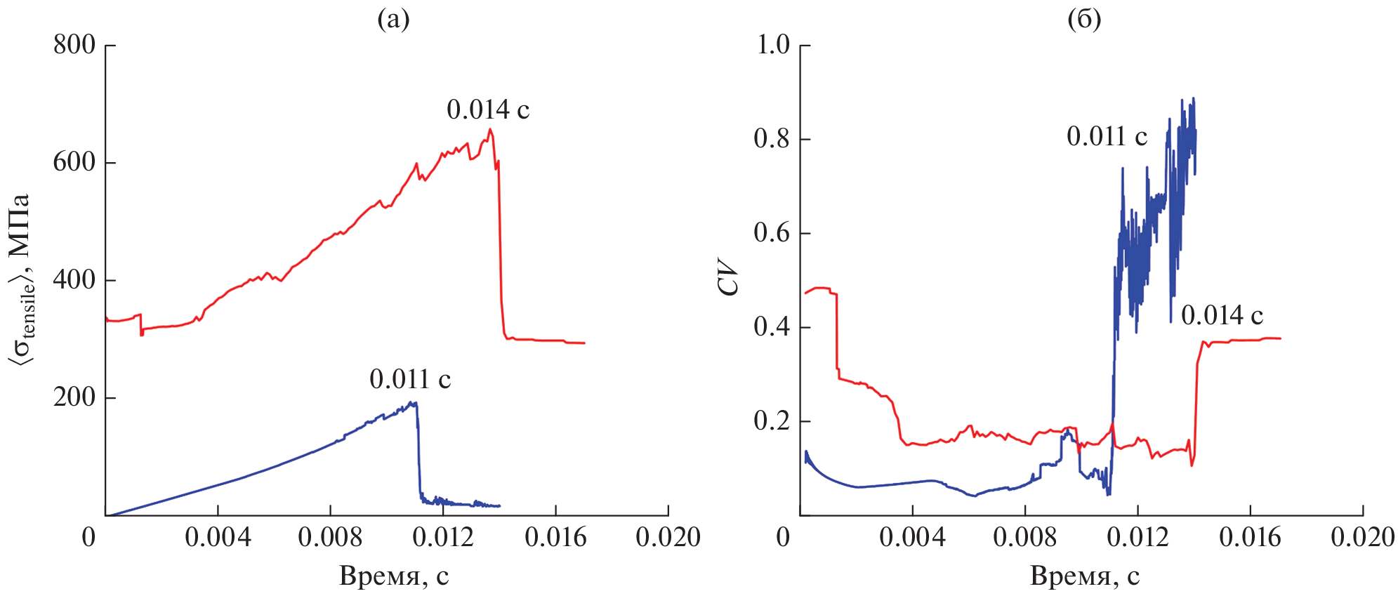
Предложена компьютерная модель разрушения гетерогенных материалов (в том числе, горных пород), позволяющая исследовать эволюцию дефектной структуры (трещин) в процессе деформирования. Модель основана на методе дискретных элементов (DEM – Discrete element method), который в отличие от методов, основанных на механике сплошных сред, естественным образом имитируют образование и развитие трещин. В работе была использована модель связанных частиц (bonded particle model – BPM). Материал представляется как совокупность сферических частиц (моделирующих зерна поликристалла), соединенных связями (моделирующими межзеренные границы) в местах контактов частиц. В модели BPM зарождение трещин определяется разрывом связей между частицами, а распространение - слиянием множества разорванных связей. Были проведены компьютерные эксперименты при различных параметрах материала (дисперсия зерен по механическим свойствам и размеру, различные свойства на границах зерен), с целью выявления их влияния на картину локальных напряжений, процесс образования дефектов и формирование очага разрушения. Расчеты производились в свободно распространяемом пакете программ MUSEN. Моделировались образцы цилиндрической формы, которые заполнялись сферическими частицами одного или разных размеров и упаковывались до достижения пористости 0.35–0.37. В качестве материалов, из которых состояли сферические зерна и связи между ними (межзеренные границы), использовались материалы с механическими параметрами, соответствующими различным минералам и горным породам: гранит, кварц, ортоклаз, олигоклаз, стекло. Образец помещался в виртуальный пресс, в котором нижняя плита была неподвижна, а верхняя перемещалась в направлении нижней с постоянной скоростью до тех пор, пока образец не разрушался. Расчет максимальных локальных напряжений показал, что гомогенность материала приводит к большей неоднородности локальных напряжений в пространстве, и наоборот, гетерогенность способствует большей их однородности. Сопоставление с результатами лабораторных экспериментов по деформированию горных пород показало, что предложенная модель реалистично описывает некоторые особенности разрушения в тех случаях, когда основные процессы протекают по границам зерен. К таким особенностям относятся хрупкий характер разрушения гомогенных материалов и наличие нелинейной упругости (пластичности) для более гетерогенных, выявленные при помощи диаграммы напряжение–деформация, и поведение во времени “акустической активности” – числа разорванных связей за единицу времени. Для гетерогенных материалов модель демонстрирует двухстадийный характер разрушения, когда на первой стадии происходит накопление дефектов однородно по образцу, а на второй стадии - формирование и рост очага разрушения.
Об авторах
В. Л. Гиляров
Физико-технический институт им. А.Ф. Иоффе РАН
Автор, ответственный за переписку.
Email: Vladimir.Hilarov@mail.ioffe.ru
Россия, г. Санкт-Петербург
Е. Е. Дамаскинская
Физико-технический институт им. А.Ф. Иоффе РАН
Автор, ответственный за переписку.
Email: Kat.Dama@mail.ioffe.ru
Россия, г. Санкт-Петербург
И. Д. Гесин
Санкт-Петербургский политехнический университет Петра Великого
Email: Kat.Dama@mail.ioffe.ru
Россия, г. Санкт-Петербург
Список литературы
- Botvina L.R. Damage evolution on different scale levels // Izv. Phys. Solid Earth, 2011. V. 47. № 10. P. 859–872.
- Brown N.J. Discrete Element Modelling of Cementitious Materials. Ph.D. Thesis. Edinburgh: The University of Edinburgh. 2013. 247 p.
- Carpinteri A., Chiodoni A., Manuello A., Sandrone R. Compositional and microchemical evidence of piezonuclear fission reactions in rock specimens subjected to compression tests // Strain. 2011. V. 47. P. 282–292.
- Cundall P.A. A computer model for simulating progressive largescale movements in blocky rock systems. Proceedings of the Symposium of International Society of Rock Mechanics. Nancy: France. 1971. V. 1. Paper № II-8.
- Damaskinskaya E.E., Hilarov V.L., Nosov Yu.G., Podurets K.M., Kaloyan A.A., Korost D.V., Panteleev I.A. Defect structure formation in quartz single crystal at the early stages of deformation // Physics of the Solid State. 2022. V. 64. № 4. P. 439–445.
- Damaskinskaya E.E., Panteleev I.A., Gafurova D.R., Frolov D.I. Structure of a Deformed Inhomogeneous Material on the Data of Acoustic Emission and X-Ray Computer Microtomography // Phys. Solid State. 2018. V. 60. № 7. P. 1363–1367.
- Damaskinskaya E.E., Panteleev I.A., Korost D.V., Damaskinskii K.A. Structure-Energy Regularities of Accumulation of Damages during Deformation of a Heterogeneous Material // Phys. Solid State. 2021. V. 63. № 1. P. 101–106.
- Dosta M., Skorych V. MUSEN: An open-source framework for GPU-accelerated DEM simulations // SoftwareX. 2020. 12. 100618.
- Hamiel Y., Katz O., Lyakhovsky V., Reches Z., Fialko Yu. Stable and unstable damage evolution in rocks with implications to fracturing of granite // Geophys. J. Int. 2006. V. 167. P. 1005–1016.
- Hertz H. Über die Berührung fester elastischer Körper // Journal die reine und angewandte Mathematik. 1882. V. 92. P. 156–171.
- Krajcinovic D. Damage mechanics // Mech Mater. 1989. V. 8. P. 117–97.
- Kuksenko V., Tomilin N., Damaskinskaya E., and Lockner D. A two-stage model of fracture of rocks // Pure Appl. Geophys. 1996. V. 146. № 2. P. 253–263.
- Lei X. Evolution of b-Value and Fractal Dimension of Acoustic Emission Events During Shear Rupture of an Immature Fault in Granite // Applied Sciences. 2019. V. 9. № 12. P. 2498.
- Lisjak A., Grasselli G. A review of discrete modeling techniques for fracturing processes in discontinuous rock masses // J. Rock Mechanics and Geotechnical Engineering. 2014. V. 6. № 4. P. 301–314.
- Lockner D.A., Byerlee J.D., Kuksenko V., Ponomarev A., Sidorin A. Quasi-static fault growth and shear fracture energy in granite // Nature. 1991. V. 350. P. 39–42.
- Naimark O.B. Collective Properties of Defects Ensemble and Some Nonlinear Problems of Plasticity and Failure // Phys. Mesomech. J. 2003. V. 4. № 4. P. 45–72
- Panteleev I.A., Plekhov O.A., Naimark O.B. Nonlinear dynamics of the blow-up structures in the ensembles of defects as a mechanism of formation of earthquake sources // Izv. Phys. Solid Earth. 2012. V. 48. P. 504–515.
- Petružálek M., Vilhelm J., Rudajev V., Lokajíček T., Svitek T. Determination of the anisotropy of elastic waves monitored by a sparse sensor network // Int. J. Rock Mech. Min. Sci. 2013. V. 60. P. 208–216.
- Ponomarev A.V., Zavyalov A.D., Smirnov V.B., Lockner D.A. Physical modeling of the formation and evolution of seismically active fault zones // Tectonophysics. 1997. V. 277. P. 57–81.
- Potyondy D.O., Cundall P.A. A bonded-particle model for rock // Int. J. Rock Mech. Min. Sci. 2004. V. 41. P. 1329–1364.
- Rapaport D.C. The Art of Molecular Dynamics Simulation. Cambridge University Press: Cambridge. 1995. 549 p.
- Smirnov V.B., Ponomarev A.V., Benard P., Patonin A.V. Regularities in transient modes in the seismic process according to the laboratory and natural modeling // Izv. Phys. Solid Earth. 2010. V. 46. P. 104–135.
- Tal Y., Goebel T., Avouac J.-P. Experimental and modeling study of the effect of fault roughness on dynamic frictional sliding // Earth and Planetary Science Letters. 2020. V. 536. P. 116133.
- Tsuji Y., Tanaka T., Ishida T. Lagrangian numerical simulation of plug flow of cohesionless particles in horizontal pipe // Powder Technology. 1992. 71. P. 239–250.
- Xinglin L., Shengli M. Laboratory acoustic emission study for earthquake generation Process // Earthq Sci. 2014. V. 27. 6. P 627–646.
Дополнительные файлы










