Reconstructions of Paleowind Directions in the Pleistocene: Evidence from the Anisotropy of Magnetic Susceptibility of the Loess–Paleosol Series of Tajikistan and the Azov Region
- Authors: Meshcheryakova O.A.1,2,3, Kurbanov R.N.3,4, Pavlov V.E.1
-
Affiliations:
- Schmidt Institute of Physcis of the Earth, Russian Academy of Sciences
- Institute of Archaelogy and Ethnography, Siberian Branch, Russian Academy of Sciences
- Institute of Geography, Russian Academy of Sciences
- Lomonosov Moscow State University
- Issue: No 5 (2023)
- Pages: 47-61
- Section: Articles
- URL: https://journal-vniispk.ru/0002-3337/article/view/139040
- DOI: https://doi.org/10.31857/S000233372305006X
- EDN: https://elibrary.ru/VZMYBG
- ID: 139040
Cite item
Full Text
Abstract
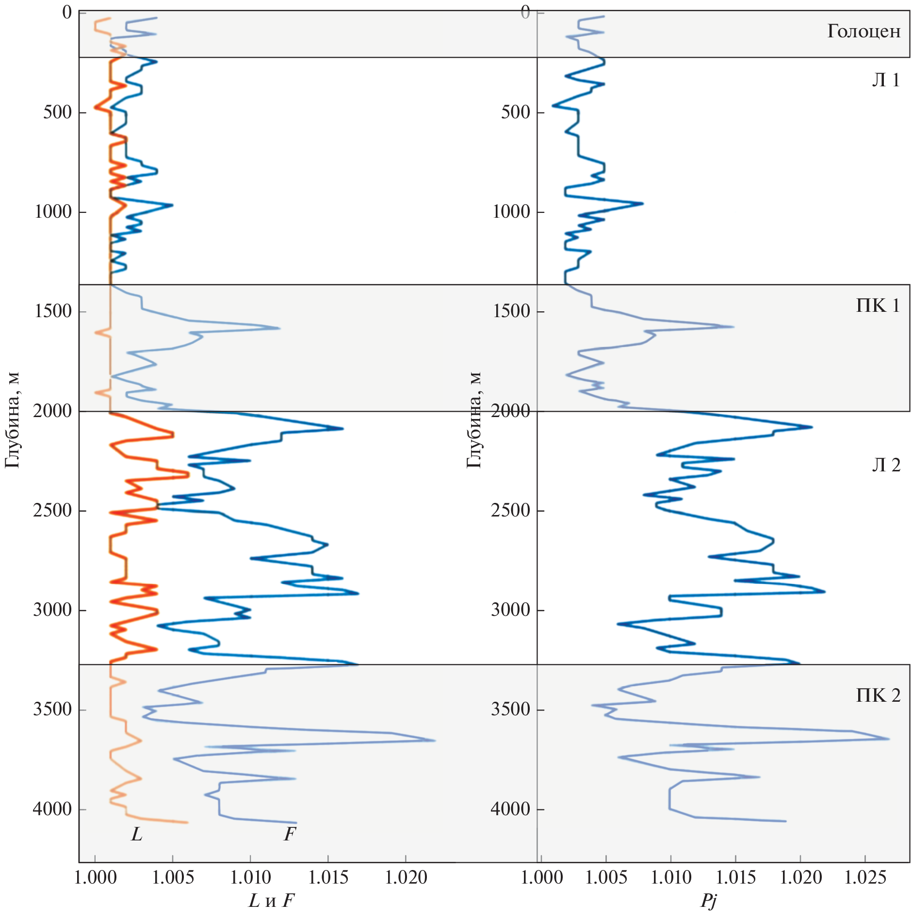
Abstract—The magnetic fabric of the reference Khonako-II (south Tajikistan), Beglitsa, and Chumbur-Kosa (Azov region) loess-paleosol sections was studied to reconstruct the paleowind directions during the Middle and Upper Pleistocene. The paleosols and loesses of the Khonako-II section represent a promising object for study of paleowinds. Our data indicate a prevailing ~ northwestward or ~northeastward wind directions during accumulation of the upper 40.8 m of the section. Thereby, a change from warm (pedocomplex 2) to cold (loess 2) epochs during the accumulation of the lower half of the studied sequence (end of the Middle Pleistocene) was accompanied by “switching” the predominant winds (from northwestern to northeastern ones), whereas accumulation of the upper part of the sequence was mainly controlled by winds of intermediate directions. The latter can be considered as evidence for the lesser contrast of wind rose during later epochs that were responsible for the formation of the upper part of the sequence. The study revealed that the magnetic fabric of loess and paleosol horizons of the Azov region sequences was deformed and cannot be used for paleowind reconstruction. It was demonstrated that sampling using plastic container technique widely applied in studying loess–paleosol deposits could led to the significant deformation of primary magnetic fabric.
About the authors
O. A. Meshcheryakova
Schmidt Institute of Physcis of the Earth, Russian Academy of Sciences; Institute of Archaelogy and Ethnography, Siberian Branch, Russian Academy of Sciences; Institute of Geography, Russian Academy of Sciences
Author for correspondence.
Email: oliya@ifz.ru
Russia, 123242, Moscow; Russia, 630090, Novosibirsk; Russia, 119017, Moscow
R. N. Kurbanov
Institute of Geography, Russian Academy of Sciences; Lomonosov Moscow State University
Email: oliya@ifz.ru
Russia, 119017, Moscow; Russia, 119234, Moscow
V. E. Pavlov
Schmidt Institute of Physcis of the Earth, Russian Academy of Sciences
Email: oliya@ifz.ru
Russia, 123242, Moscow
References
- Додонов А.Е. Четвертичный период Средней Азии. Стратиграфия, корреляция, палеогеография М.: Геос. 2002. 247 с.
- Додонов А.Е., Ранов В.А. Антропоген Средней Азии: стратиграфия, корреляция, палеолит // Четвертичная геология и геоморфология. 1984. С. 67–81.
- Лазаренко А.А., Пахомов М.М., Пеньков А.В. О возможности климатостратиграфического расчленения лёссовой формации Средней Азии. Поздний кайнозой Северной Евразии. М.: Гин АН СССР. 1977. С. 70–32.
- Поспелова Г.А., Лаухин С.А., Ранов В.А., Власов В.К., Волгина В.А., Куликов О.А., Пилипенко О.В., Шаронова З.В. Новые данные о хроностратиграфии верхней региональной погребенной почвы лёссового разреза Хонако-3, Таджикистан (археологические, палеомагнитные и магнитные свидетельства) // Археология, этнография и антропология Евразии. 2005. № 1(21). С. 21.
- Ранов В.А. Лессово-почвенная формация в Южном Таджикистане и лессовый палеолит // Археологические работы в Таджикистане. 2000. № 2000. С. 21–49.
- Abramowski U., Bergau A., Seebach D., Zech R., Glaser B., Sosin P., Kubik P.W., Zech W. Pleistocene glaciations of Central Asia: results from 10Be surface exposure ages of erratic boulders from the Pamir (Tajikistan), and the Alay-Turkestan range (Kyrgyzstan) // Quaternary Science Reviews. 2006. V. 25(9–10). P. 1080–1096.
- Bradák B., Újvári G., Seto Y., Hyodo M., Végh T. A conceptual magnetic fabric development model for the Paks loess in Hungary // Aeolian Research. 2018. V. 30. P. 20–31.
- Bradák B., Kovács J., Magyari Á. The origin and significance of some ‘irregular’loess magnetic fabric found in the Paks succession (Hungary) // Geophysical J. International. 2019. V. 217. № 3. P. 1742–1754.
- Chadima M., Hrouda F., Jelínek V. Anisoft5. AGICO: Brno, Czech Republic. 2020.
- Chen J., Stevens T., Yang T., Qiang M., Matishov G., Konstantinov E., Kurbanov R., Zeng B., Shi P. Revisiting Late Pleistocene Loess–Paleosol Sequences in the Azov Sea Region of Russia: Chronostratigraphy and Paleoenvironmental Record // Frontiers in Earth Science. 2022. V. 9. № 808157.
- Copons R., Parés J.M., Dinarès-Turell J., Bordonau J. Sampling induced AMS in soft sediments: A case study in Holocene (glaciolacustrine rhythmites from Lake Barrancs (central Pyrenees, Spain) // Physics and Chemistry of the Earth. 1997. V. 22. № 1–2. P. 137–141.
- Flinn D. On folding during three-dimensional progressive deformation // Quarterly Journal of the Geological Society. 1962. V. 118. № 1–4. P. 385–428.
- Gravenor C.P., Symons D.T.A., Coyle D.A. Errors in the anisotropy of magnetic susceptibility and magnetic remanence of unconsolidated sediments produced by sampling methods // Geophysical Research Letters. 1984. V. 11. № 9. P. 836–839.
- Hus J.J. The magnetic fabric of some loess/palaeosol deposits // Phys. Chem. Earth 2003. V. 208. P. 689–699. https://doi.org/10.1016/S1474-7065(03)00128-1
- Jelinek V. Characterization of the magnetic fabric of rocks // Tectonophysics. 1981. V. 79. № 3–4. P. T63–T67.
- Jelínek V. The statistical theory of measuring anisotropy of magnetic susceptibility of rocks and its application // Czech Republic: Geofyzika. 1977. V. 29. P. 1–87.
- Jordanova N., Jordanova D., Karloukovski V. Magnetic fabric of Bulgarian loess sediments derived by using various sampling techniques // Studia Geophysica et Geodaetica. 1996. V. 40. № 1. P. 36–49.
- Konstantinov, E.A., Velichko, A.A., Kurbanov, R.N., Zakharov, A.L. Middle to Late Pleistocene topography evolution of the North-Eastern Azov region // Quaternary International, 2018. V. 465. P. 72-84.
- Lagroix F., Banerjee S. K. Cryptic post-depositional reworking in aeolian sediments revealed by the anisotropy of magnetic susceptibility // Earth and Planetary Science Letters. 2004a. V. 224. № 3–4. P. 453–459.
- Lagroix, F., Banerjee, S.K. The regional and temporal significance of primary aeolian magnetic fabrics preserved in Alaskan loess // Earth Planet Sci. Lett. 2004b. V. 225. P. 379–395. https://doi.org/10.1016/j.epsl.2004.07.003
- Lisiecki L.E., Raymo M.E. A Pliocene-Pleistocene stack of 57 globally distributed benthic δ18O records // Paleoceanography. 2005. V. 20. № 1.
- Liu X., Xu T., Liu T. The Chinese loess in Xifeng, II. A study of anisotropy of magnetic susceptibility of loess from Xifeng // Geophysical J.International. 1988. V. 92. № 2. P. 349–353.
- Mann H.B., Wald A. On the choice of the number of class intervals in the application of the chi square test // The Annals of Mathematical Statistics. 1942. V. 13. № 3. P. 306–317.
- Matasova G.G., Kazansky A.Y. Magnetic properties and magnetic fabrics of Pleistocene loess/palaeosol deposits along west-central Siberian transect and their palaeoclimatic implications // Geological Society, London, Special Publications. 2004. V. 238. № 1. P. 145–173.
- Nawrocki J., Polechon’ska O., Boguckij A., Lanczont M. Palaeowind directions recorded in the youngest loess in Poland and western Ukraine as derived from anisotropy of magnetic susceptibility measurements // Boreas. 2006. V. 35. № 2. P. 266–271.
- Tarling D., Hrouda F. Magnetic anisotropy of rocks. Springer Science & Business Media / Hrouda F. (ed.). 1993.
- Velichko A.A., Borisova O.K., Kononov Y.M., Konstantinov E.A., Kurbanov R.N., Morozova T.D., Panin P.G., Semenov V.V., Tesakov A.S., Timireva S.N., Titov V.V., Frolov P.D. Reconstruction of Late Pleistocene events in the periglacial area in the southern part of the East European Plain // Doklady Earth Sciences. 2017. V. 475(2). P. 895–899.
- Zhang R., Kravchinsky V. A., Zhu R., Yue L. Paleomonsoon route reconstruction along a W–E transect in the Chinese Loess Plateau using the anisotropy of magnetic susceptibility: Summer monsoon model // Earth and Planetary Science Letters. 2010. V 299. № 3–4. P. 436–446.
- Zhu R., Liu Q., Jackson M.J. Paleoenvironmental significance of the magnetic fabrics in Chinese loess-paleosols since the last interglacial (<130 ka) // Earth and Planetary Science Letters. 2004. V. 221. № 1–4. P. 55–69.
Supplementary files










