Геоэлектрическая интерпретация данных магнитного мониторинга в юго-западной части Байкала
- Авторы: Орехова Д.А.1, Попова И.В.1, Коротаев С.М.1, Кругляков М.С.2, Буднев Н.М.3, Кириаков В.Х.1, Москалев И.С.4
-
Учреждения:
- Центр геоэлектромагнитных исследований Института физики Земли им. О.Ю. Шмидта РАН (ЦГЭМИ ИФЗ РАН)
- University of Otago, Department of Physics
- Иркутский государственный университет (ИГУ)
- Институт солнечно-земной физики СО РАН (ИСЗФ СО РАН)
- Выпуск: № 5 (2023)
- Страницы: 101-113
- Раздел: Статьи
- URL: https://journal-vniispk.ru/0002-3337/article/view/139044
- DOI: https://doi.org/10.31857/S0002333723050083
- EDN: https://elibrary.ru/VZRQMO
- ID: 139044
Цитировать
Полный текст
Аннотация
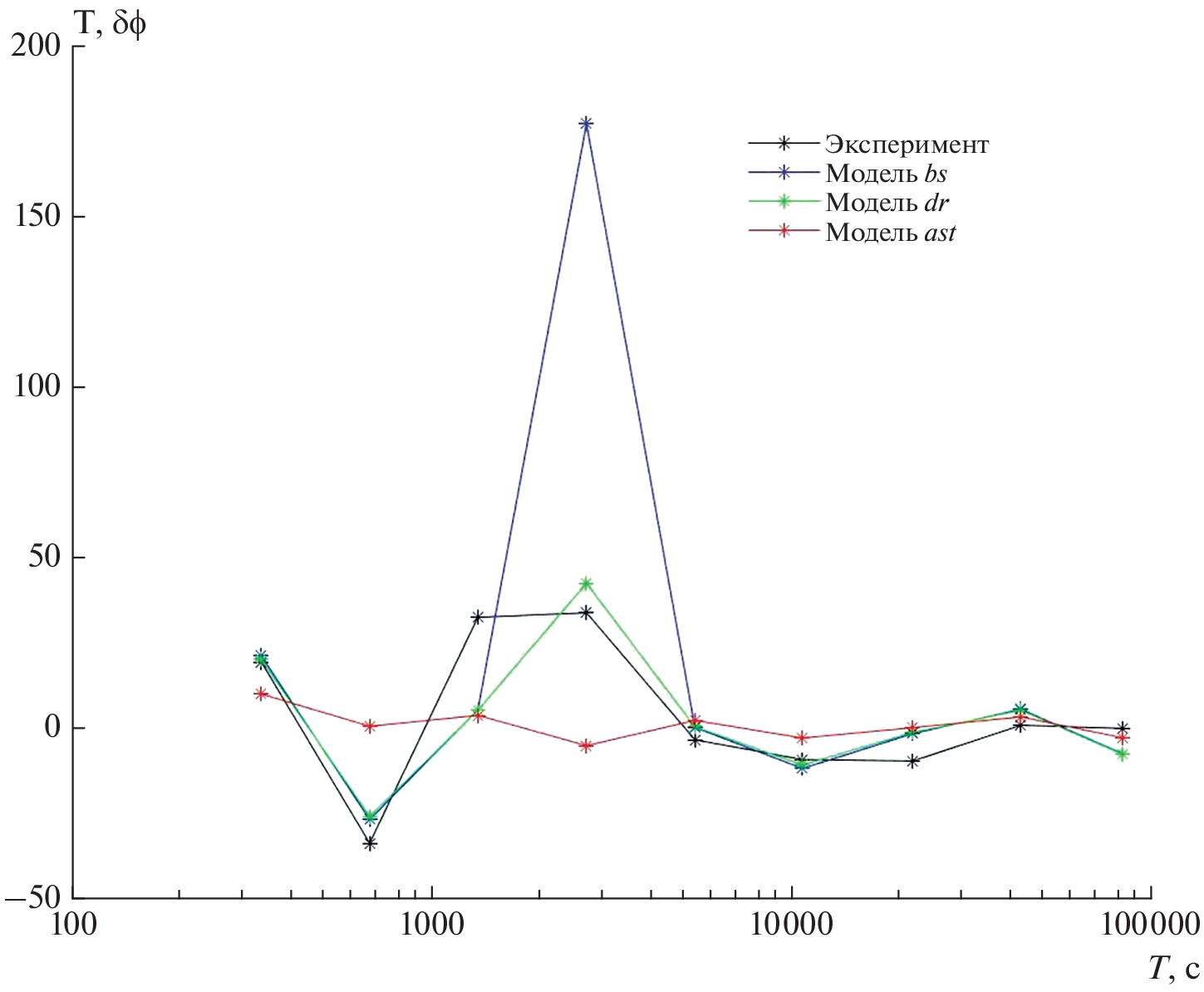
Длительные градиентные магнитные измерения, которые проводятся в юго-западной части Байкала как сопровождающие эксперимент по глубоководному мониторингу вертикальной компоненты электрического поля, могут быть применены для целей изучения глубинного геоэлектрического разреза. В изучаемой области Байкал не может быть аппроксимирован двумерной моделью. Поэтому нами построена трехмерная геоэлектрическая модель озера и прилегающих территорий по имеющимся геолого-геофизическим данным. Однако этих данных не хватает в той области, где проводятся наши наблюдения. Уточнение верхней части разреза по градиентам магнитного поля на длинных базах осуществлено методом нейросетевой инверсии. Затем, на основании полученной базовой модели, строятся альтернативные модели отражающие известные гипотезы о строении глубинной части разреза Байкальского рифта – мантийный диапир и астеносферный выступ. Для них рассчитываются разности фаз между средним по базе градиентом поля и самим полем в базовой точке, а также разности фаз на концах этой базы как наиболее помехозащищенные градиентные функции. На основе сопоставления экспериментальных и модельных частотных кривых сделан вывод о наибольшей адекватности эксперименту модели мантийного диапира, по крайней мере, в юго-западной части Байкальской рифтовой зоны.
Ключевые слова
Об авторах
Д. А. Орехова
Центр геоэлектромагнитных исследований Института физики Земли им. О.Ю. Шмидта РАН (ЦГЭМИ ИФЗ РАН)
Автор, ответственный за переписку.
Email: ordaal@gmail.com
Россия, г. Москва
И. В. Попова
Центр геоэлектромагнитных исследований Института физики Земли им. О.Ю. Шмидта РАН (ЦГЭМИ ИФЗ РАН)
Автор, ответственный за переписку.
Email: popov7376@mail.ru
Россия, г. Москва
С. М. Коротаев
Центр геоэлектромагнитных исследований Института физики Земли им. О.Ю. Шмидта РАН (ЦГЭМИ ИФЗ РАН)
Email: popov7376@mail.ru
Россия, г. Москва
М. С. Кругляков
University of Otago, Department of Physics
Email: popov7376@mail.ru
New Zealand, Dunedin
Н. М. Буднев
Иркутский государственный университет (ИГУ)
Email: popov7376@mail.ru
Россия, г. Иркутск
В. Х. Кириаков
Центр геоэлектромагнитных исследований Института физики Земли им. О.Ю. Шмидта РАН (ЦГЭМИ ИФЗ РАН)
Email: popov7376@mail.ru
Россия, г. Москва
И. С. Москалев
Институт солнечно-земной физики СО РАН (ИСЗФ СО РАН)
Email: popov7376@mail.ru
Россия, г. Иркутск
Список литературы
- Бердичевский М.Н, Ваньян Л.Л., Кошурников А.В. Магнитотеллурические зондирования в Байкальской рифтовой зоне // Физика Земли. 1999. № 10. С 3–25.
- Велихов Е.П., Григорьев В.Ф., Жданов М.С., Коротаев С.М., Кругляков М.С., Орехова Д.А., Попова И.В., Терещенко Е.Д., Щорс Ю.Г. Электромагнитное зондирование Кольского полуострова мощным крайне низкочастотным источниками // Докл. РАН. Геофизика. 2011. Т. 438. № 3. С. 390–395.
- Глинский Б.М., Дихтер И.Я., Зейгарник В.А. и др. Комплекс методических аппаратурных средств и результаты электромагнитных зондировании с мощным энергоисточником на Байкальском прогностическом полигоне // Докл. АН СССР. 1989. Т. 308. №1. С. 59–61.
- Грачёв А.Ф. Основные проблемы новейшей тектоники и геодинамики северной Евразии // Физика Земли. 1996. № 12. С. 5–36.
- Григорьев В.Ф., Коротаев С.М., Кругляков М.С., Орехова Д.А., Попова И.В., Терещенко Е.Д., Терещенко П.Е., Щорс Ю.Г. Результаты морского электромагнитного зондирования мощным удаленным источником в Кольском заливе Баренцева моря // Физика Земли. 2013. № 3. С. 75–86.
- Зорин Ю.А. Новейшая структура и изостазия Байкальской рифтовой зоны и сопредельных территорий. М.: Наука. 1971. 167 с.
- Коротаев С.М., Буднев Н.М., Сердюк В.О., Киктенко Е.О., Горохов Ю.В. Глубоководный электромагнитный мониторинг в Байкале – классический и неклассический аспекты // Вопросы естествознания. 2016. № 2. С. 41–53.
- Коротаев С.М., Буднев Н.М., Сердюк В.О., Киктенко Е.О., Орехова Д.А. Байкальский глубоководный мониторинг – новые результаты // Физика Земли. 2022. № 5. С. 116–127.
- Крылов С.В., Мандельбаум М.М., Мишенькин Б.П., Мишенькина З.Р., Петрик Г.В., Селезнев В.С. Недра Байкала (по сейсмическим данным). Новосибирск: Наука. 1981. 105 с.
- Логачев Н.А. Главные структурные черты и геодинамика Байкальской рифтовой зоны // Физическая мезомеханика. 1999. Т. 2. № 1–2. С. 163–170.
- Лунина О.В., Гладков А.С., Гладков А.А. Систематизация активных разломов для оценки сейсмической опасности // Тихоокеанская геология. 2012. Т. 31. С. 49–60.
- Мац В.Д., Уфимцев Г.Ф., Мандельбаум М.М. Кайнозой Байкальской рифтовой впадины. Строение и геологическая история. Новосибирск: изд-во СО РАН, филиал “Гео”. 2001. 252 с.
- Мороз Ю.Ф., Мороз Т.А. Глубинный геоэлектрический разрез Байкальского рифта // Вестник КРАУНЦ. Науки о Земле. 2012. № 2. Вып. 20. С. 114–126.
- Морозова Г. М., Манштейн А. К., Ельцов И. Н. Глубинные электромагнитные зондирования с контролируемым источником в Байкальской рифтовой зоне. Геофизические методы изучения земной коры. Новосибирск: Объед. Ин-т геологии, геофизики и минералогии. 1998. С. 57–62.
- Орехова Д.А., Кругляков М.С., Коротаев С.М., Буднев Н.М. Возможности выбора адекватной геоэлектрической модели Байкальского рифта по наблюдениям в районе эксперимента по глубоководному электромагнитному мониторингу // Актуальные проблемы науки Прибайкалья. 2017. Вып. 2. С. 150–159.
- Поспеева Е.В., Витте Л.В., Потапов В.В. Геологическое истолкование результатов магнитотеллурического зондирования в Юго–Восточной части Байкальской рифтовой зоны // Интерэкспо Гео–Сибирь. 2012. №2. P. 3–8.
- Поспеева Е.В., Потапов В.В., Витте Л.В. Магнитотеллурические зондирования в западно–забайкальском секторе Центрально–Азиатского складчатого пояса // Геология и геофизика. 2017. Т. 58. С. 157–175.
- Розен О.М., Манаков А.В., Зинчук Н.Н. Сибирский кратон: формирование, алмазоносность. М.: Научный мир. 2006. 212 с.
- Семинский К.Ж., Кожевников Н.О., Черемных А.В., Поспеева Е.В., Бобров А.А., Оленченко В.В., Тугарина М.А., Потапов В.В., Бурзунова Ю.П. Межблоковые зоны северо-западного плеча байкальского рифта: результаты геолого-геофизических исследований по профилю пос. Баяндай м. Крестовский // Геология и геофизика. 2012. Т. 53. С. 250–269.
- Терешкин С.А. Первые результаты интерпретации данных МТЗ, записанных станциями VEGA в Прибайкалье за период 2014–2017 гг. Всероссийская конф. Геонауки. Иркутск: ИГТУ. 2018. С. 20–25.
- Шимилевич М.И., Оборнев Е.А. Применение метода нейронных сетей для решения многопараметрических обратных задач магнитотеллурического зондирования аппроксимации обратных операторов в задачах электромагнитных зондирований // Изв. вузов. Геология и разведка. 1999. Т. 2. С. 102–106.
- Шкиря М.С., Терёшкин С.А., Давыденко Ю.А., Петрищев М.С. Применение комплекса электромагнитных зондирований изучения электропроводности донных отложений озера Байкал. Всероссийская конф. ГеоБайкал. Иркутск: ИГТУ. 2018. С. 11–16.
- Эпов М.И., Поспеева Е.В., Витте Л.В. Особенности состава и строения земной коры краевой части сибирского кратона (в зоне влияния рифтогенных процессов) по данным магнитотеллурических зондирований // Геология и геофизика. 2012. Т. 53. С. 380–398.
- Gao S.P., Davis M., Liu H., Slack P., Zorin Y.A., Logatchev N.A., Kogan M., Burkholder P., Meyer R.P. Asymmetric upwarp of the asthenosphere beneath the Baikal rift zone, Siberia // J. Geophys. Res. 1994. V. 99. P. 15319–15330.
- Korotaev S.M., Budnev N.M., Serdyuk V.O., Orekhova D.A., Kruglyakov M.S., Kiktenko E.O., Mirgazov R.R., Zurbanov V.L., Gorohov J.V., Ryabov E.V. Baikal electromagnetic experiment // Atmospheric and Oceanic Physics. 2018. V. 54. № 11. P. 1569–1594.
- Kruglyakov M, Kuvshinov A. Using high-order polynomial basis in 3-D EM forward modelling based on volume integral equation method // Geophysical J. International. 2018. V. 213. P. 1387–1401.
- Mackie R.I., Madden T.R. Three-dimensional magnetotelluric inversion using conjugate gradients // J.Geophys. 1993. V. 115. P. 215–229.
- Pospeev A.V. The velocity structure of the upper mantle and regional deep thermodynamics of the Baikal rift zone // Geodynamics & Tectonophysics. 2012. V. 3. № 4. P. 377–383.
- Rumelhart D., McClelland J., the PDP Research Group. Parallel Distributed Processing Cambridge: MIT Press. 1988. P. 547.
- Spichak V., Popova I. Artificial neural network inversion of magnetotelluric data in terms of three-dimensional earth macroparameters // Geophys. J. Int. 2000. V. 142. P. 15–26.
- Zhdanov M., Tartaras E. Inversion of multi-transmitter 3-D electromagnetic data based on the localized quasi-linear approximation // Geophys. J. 2002. V. 148. P. 506–519.
Дополнительные файлы










