Joint Three-Dimensional Interpretation of AMTS and RMT-C Tensor Data in a Region Promising the Discovery of Primary Diamond Sources (Karelian Isthmus)
- Authors: Shlykov A.A.1, Saraev A.K.1, Bobrov N.Y.1
-
Affiliations:
- Institute of Earth Sciences, St. Petersburg State University
- Issue: No 5 (2023)
- Pages: 131-149
- Section: Articles
- URL: https://journal-vniispk.ru/0002-3337/article/view/139046
- DOI: https://doi.org/10.31857/S0002333723050113
- EDN: https://elibrary.ru/WACJHN
- ID: 139046
Cite item
Full Text
Abstract
Abstract
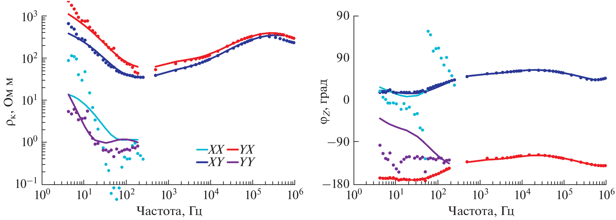
—The paper presents the techniques and results of the joint interpretation of AMTS and RMT-C tensor data in the area of the Karelian Isthmus near the village of Yablonovka, promising the discovery of primary diamond sources. Earlier, according to drilling data, fluid-cataclastic breccias, fluidolites, were identified here, which, according to modern geological concepts, can be primary diamond sources. The site is located in the marginal part of the Pash-Ladoga rift zone and is characterized by a complex three-dimensional structure. Under these conditions, in the presence of a system of multidirectional faults, the joint interpretation of the AMTS and RMT-C tensor data was performed within a 3D model of the medium. To reduce the inversion execution time, an approach and a procedure for transforming the RMT-C data obtained in the intermediate zone of a controlled source to sounding curves corresponding to the plane wave model are proposed. The transformed RMT-C apparent resistivity curves were also used to correct the static shifts of the AMTS curves. A joint 3D inversion was performed taking into account the relief. The resulting model is in good agreement with the geological data obtained from the wells previously drilled near the work site. The geoelectric sections show zones of relatively increased resistivity, which may be associated with fluidolites. The developed approaches to the joint 3D interpretation of AMTS and RMT-C tensor data and the obtained information about the structure and properties of the basement rocks, rocks hosting fluidolites, and overlying sedimentary deposits, can be used in prospecting works for diamonds on the Karelian Isthmus and adjacent territories.
About the authors
A. A. Shlykov
Institute of Earth Sciences, St. Petersburg State University
Author for correspondence.
Email: a.shlykov@spbu.ru
Russia, 199034, St. Petersburg
A. K. Saraev
Institute of Earth Sciences, St. Petersburg State University
Email: a.shlykov@spbu.ru
Russia, 199034, St. Petersburg
N. Yu. Bobrov
Institute of Earth Sciences, St. Petersburg State University
Email: a.shlykov@spbu.ru
Russia, 199034, St. Petersburg
References
- Афанасов М.Н. Отчет о проведении работ по геологическому доизучению площади Карельского перешейка. Территориальные фонды геологической информации по Северо-Западному федеральному округу Российской федерации. СПб. 2002.
- Афанасов М.Н., Николаев В.А. Перспективы алмазоносности Карельского перешейка // Региональная геология и металлогения. 2003. № 18. С. 116–121.
- Афанасов М.Н. Флюидолиты и полезные ископаемые на северо-западе России: поисково-прогнозные исследования на основе детального геолого-минералогического анализа / М.Н. Афанасов, А.П. Казак, К.Э. Якобсон (ред.). 2012. Saarbrücken: LAP LAMBERТ. 98 с.
- Бердичевский М.Н., Кузнецов В.А. Метод псевдорельефа – новый подход к анализу магнитовариационных и магнитотеллурических данных // Физика Земли. 2006. № 8. С. 66–77.
- Бердичевский М.Н., Дмитриев В.И. Модели и методы магнитотеллурики. М.: Научный мир. 2009. 680 с.
- Вешев А.В. Электропрофилирование на постоянном и переменном токе. Л.: Недра. 1980. 391 с.
- Зорин Н.И., Яковлев А.Г. Гибридная приемная линия для измерения электрического поля в широкой полосе частот // Вестн. Моск. ун-та. Сер. 4. Геология. 2021. № 5. С. 54–60.
- Московская Л.Ф. Импедансно-адмитанстный регрессионный анализ магнитотеллурических полей // Физика Земли. 2007. № 2. С. 51–65.
- Сараев А.К., Антащук К.М., Пертель М.И., Еремин И.С., Головенко В.Б., Ларионов К.А. Аппаратурно-программный комплекс аудиомагнитотеллурических зондирований АКФ-4М. Материалы Пятой всероссийской школы-семинара имени М.Н. Бердичевского и Л.Л. Ваньяна по электромагнитным зондированиям Земли. ЭМЗ-2011. В двух книгах. Книга 2. СПб.: СПбГУ. 2011. С. 475–478.
- Сараев А.К., Симаков А.А., Шлыков А.А. Метод радиомагнитотеллурических зондирований с контролируемым источником // Геофизика. 2014. № 1. С. 18–25.
- Стогний В.В., Коротков Ю.В. Поиск кимберлитовых тел методом переходных процессов. Новосибирск: Издательство “Малотиражная типография 2D”. Новосибирск. 2010. 121 с.
- Устинов В.Н., Антащук М.Г., Загайный А.К., Кукуй И.М., Лобкова И.П., Микоев И.И., Антонов С.А. Перспективы выявления месторождений алмазов на севере Восточно-Европейской платформы // Руды и металлы 2018. № 1. 11–26.
- Харькив А.Д., Зинчук Н.Н., Крючков А.И. Коренные месторождения алмазов Мира. М.: Недра. 1998. 554 с.
- Шлыков А. А., Сараев А. К. Оценка макроанизотропии горизонтально-слоистого разреза по данным радиомагнитотеллурических зондирований с контролируемым источником // Физика Земли. 2015. № 4. С. 128–147.
- Яковлев Д.В., Яковлев А.Г., Валясина О.А. Статический сдвиг магнитотеллурических кривых в осадочных бассейнах. VIII Всероссийская школа-семинар ЭМЗ-2021. Москва, 4–9 октября 2021. С. 1–7.
- Bastani M., Hubert J., Kalscheuer T., Pedersen L.B., Godio A., Bernard J. 2D joint inversion of RMT and ERT data versus individual 3D inversion of full tensor RMT data: an example from Trecate site in Italy // Geophysics. 2012. V. 77(4). P. WB233-WB243.
- Caldwell T.G., Bibby H.M., Brown C. The magnetotelluric phase tensor // Geophys. J. Int. 2004. V. 158. P. 457–469.
- Egbert G.D., Booker J.R. Robust estimation of geomagnetic transfer functions //Geophys. J.R. astr. Soc. 1986. V. 87. P. 173–194.
- Garcia X., Jones A. G. Atmospheric sources for audio-magnetotelluric (AMT) sounding // Geophysics. 2002. V. 67(2). P. 448–458.
- Grayver A.V., Streich R., Ritter O. Three-dimensional parallel distributed inversion of CSEM data using a direct froward solver // Geophysical J. Int. 2013. V. 193(3). P. 1432–1446.
- Kelbert A., Meqbel N., Egbert G.D., Tandon K. ModEM: a modular syste, for inversion of electromagnetic geophysical data // Computers & Geosciences. 2014. V. 66. P. 40–53.
- Marti A., Queralt P., Ledo J. WALDIM: A code for the dimensionality analysis of magnetotelluric data using the rotational invariants of the magnetotelluric tensor // Computers & Geosciences. 2009. V. 35. P. 2295–2303.
- Newman G.A., Recher S., Tezkan B. 3D inversion of a scalar radio magnetotelluric field data set // Geophysics. 2003. V. 68(3). P. 791.
- Pace F., Martí A., Queralt P., Santilano A., Manzella A., Ledo J., Godio A. Three-Dimensional Magnetotelluric Characterization of the Travale Geothermal Field (Italy) // Remote Sens. 2022. V. 14. P. 542.
- Rodi W.L., Mackie R. Nonlinear conjugate gradients algorithm for 2D magnetotelluric inversion // Geophysics. 2001. V. 66(1). P. 174–187.
- Roy K.K. Natural Electromagnetic Fields in Pure and Applied Geophysics. Springer Geophysics. Springer Nature Switzerland AG 2020. 589 p.
- Saraev A.K., Antaschuk K.M., Nikiforov A.B., Romanova N.E., Denisov R.V. Audiomagnetotelluric soundings for the diamond exploration // Chin. J. Geophys. 2010. V. 53. P. 657–676.
- Saraev A.K., Shlykov A.A.,Tezkan B. Application of the Controlled Source Radiomagnetotellurics (CSRMT) in the Study of Rocks Overlying Kimberlite Pipes in Yakutia/Siberia // Geosciences. 2022. V. 12. P. 34.
- Siripunvaraporn W., Uyeshima M., Egbert G. three-dimensional inversion for Network-Magnetotelluric data // Earth, Planets and Space. 2004. V. 56. P. 893–902.
- Weaver J.T., Agarwal A.K., Lilley F.E.M. Characterization of the magnetotelluric tensor in terms of its invariants // Geophys. J. Int. 2000. V. 141. P. 321–336.
- Yakovlev D., Yakovlev A. Static shift correction in sedimentary basins. Abstract. 25th EM Induction Workshop. Turkey: Çeşme. September 11–17. 2022. P. 163.
Supplementary files


















