Очаговые параметры сильных турецких землетрясений 06.02.2023 г. (Mw = 7.8 и Mw = 7.7) по данным поверхностных волн*
- Авторы: Филиппова А.И.1,2, Фомочкина А.С.2,3
-
Учреждения:
- Институт земного магнетизма, ионосферы и распространения радиоволн им. Н.В. Пушкова РАН
- Институт теории прогноза землетрясений и математической геофизики РАН
- РГУ нефти и газа (НИУ) имени И.М. Губкина
- Выпуск: № 6 (2023)
- Страницы: 89-102
- Раздел: Статьи
- URL: https://journal-vniispk.ru/0002-3337/article/view/249486
- DOI: https://doi.org/10.31857/S0002333723060078
- EDN: https://elibrary.ru/DTDKQT
- ID: 249486
Цитировать
Полный текст
Аннотация
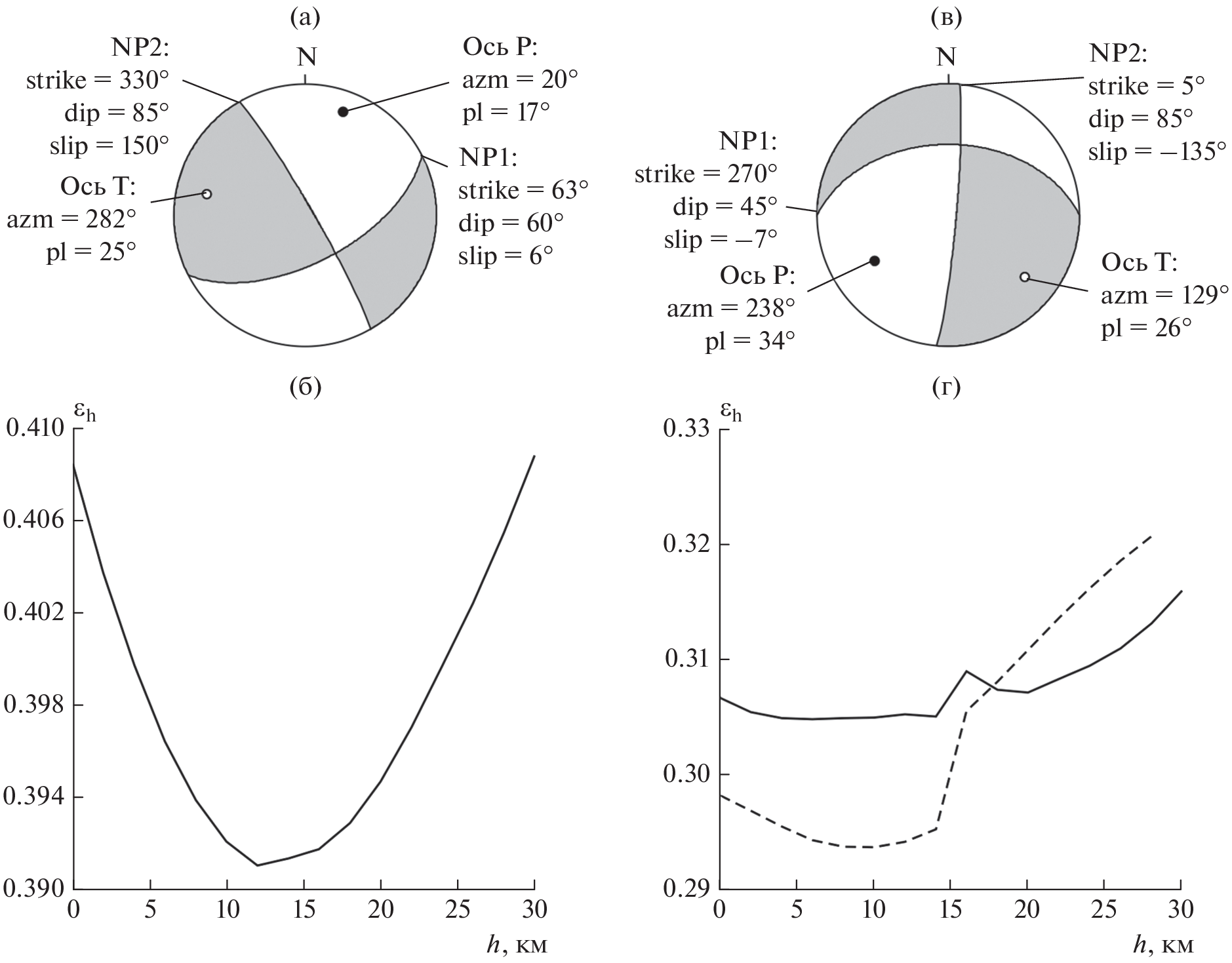
По амплитудным спектрам поверхностных волн проведены расчеты очаговых параметров сильных Турецких землетрясений 06.02.2023 г. (Mw = 7.8 и Mw = 7.7) в двух приближениях: мгновенного точечного источника и сдвиговой дислокации эллиптической формы. В результате были выделены плоскости разрыва, получены данные о скалярном сейсмическом моменте, моментной магнитуде, фокальном механизме и глубине очага рассматриваемых событий, а также оценки интегральных параметров, характеризующих геометрию разрыва и его развитие во времени. Показано, что очаги исследуемых землетрясений сформировались под влиянием регионального поля напряжений, а их фокальные механизмы представляли собой левосторонние сдвиги с направлением простирания, близким к простиранию зоны Восточно-Анатолийского разлома для первого события и близким к простиранию системы разломов Сургу–Чардак для второго. Для первого землетрясения, полученные нами оценки длительности разрыва и его длины (t = 52.5 с, L = 180 км), вероятно, относятся не ко всему разрыву, а только к его основной фазе, приуроченной к северо-восточным сегментам Восточно-Анатолийского разлома и характеризующейся максимальными смещениями и значениями выделившегося сейсмического момента. Полученные нами для второго землетрясения значения t = 30 c и L = 180 км характеризуют полностью весь разрыв.
Ключевые слова
Об авторах
А. И. Филиппова
Институт земного магнетизма, ионосферы и распространения радиоволн им. Н.В. Пушкова РАН; Институт теории прогноза землетрясений и математической геофизики РАН
Автор, ответственный за переписку.
Email: aleirk@mail.ru
Россия, г. Москва, г. Троицк; Россия, г. Москва
А. С. Фомочкина
Институт теории прогноза землетрясений и математической геофизики РАН; РГУ нефти и газа (НИУ) имени И.М. Губкина
Email: aleirk@mail.ru
Россия, г. Москва; Россия, г. Москва
Список литературы
- База данных активных разломов Евразии. Масштаб: 1 : 1 000 000. ГИН РАН. 2018. http://neotec.ginras.ru/database.html
- Букчин Б.Г. Об определении параметров очага землетрясения по записям поверхностных волн в случае неточного задания характеристик среды // Изв. АН СССР. Сер. Физика Земли. 1989. № 9. С. 34–41.
- Букчин Б.Г. Особенности излучения поверхностных волн мелкофокусным источником // Физика Земли. 2006. № 8. С. 88–93.
- Букчин Б.Г. Описание очага землетрясения в приближении вторых моментов и идентификация плоскости разлома // Физика Земли. 2017. № 2. С. 76–83. https://doi.org/10.7868/S0002333717020041
- Левшин А.Л., Яновская Т.Б., Ландер А.В., Букчин Б.Г., Бармин М.П., Ратникова Л.И., Итс Е.Н. Поверхностные сейсмические волны в горизонтально-неоднородной Земле. М.: Наука. 1986. 278 с.
- Середкина А.И., Козьмин Б.М. Очаговые параметры Таймырского землетрясения 9 июня 1990 г. // Докл. РАН. 2017. Т. 473. № 2. С. 214–217. https://doi.org/10.7868/S0869565217060202
- Фомочкина А.C., Филиппова А.И. Очаговые параметры Улахан-Чистайского землетрясения 20 января 2013 г. (Якутия) по данным поверхностных волн // Вопросы инженерной сейсмологии. 2023. Т. 50. № 3. С. 17–29. https://doi.org/10.21455/VIS2023.3-2
- Abdelmeguid M., Zhao C., Yalcinkaya E., Gazetas G., Elbanna A., Rosakis A. Revealing The dynamics of the Feb 6th 2023 M7.8 Kahramanmaraş/Pazarcik earthquake: near-field records and dynamic rupture modeling. Pre-print, EarthArXiv. 2023. https://arxiv.org/pdf/2305.01825.pdf Last accessed 17 May 2023.
- Albuquerque Seismological Laboratory/USGS. 2014. Global Seismograph Network (GSN - IRIS/USGS) [Data set]. International Federation of Digital Seismograph Networks. https://doi.org/10.7914/SN/IU
- Albuquerque Seismological Laboratory (ASL)/USGS. 1992. New China Digital Seismograph Network [Data set]. International Federation of Digital Seismograph Networks. https://doi.org/10.7914/SN/IC
- Acarel D., Cambaz M.D., Turhan F., Mutlu A.K., Polat R. Seismotectonics of Malatya fault, Eastern Turkey // Open Geosciences. 2019. V. 11. № 1. P. 1098–1111. https://doi.org/10.1515/geo-2019-0085
- Balkaya M., Ozden S., Akyüz H.S. Morphometric and morphotectonic characteristics of Sürgü and Çardak Faults (East Anatolian Fault Zone) // J. Advanced Research in Natural and Applied Sciences. 2021. V. 7. № 3. P. 375–392. https://doi.org/10.28979/jarnas.939075
- Barbot S., Luo H., Wang T., Hamiel Y., Piatibratova O., Javed M.T., Braitenberg C., Gurbuz G. Slip distribution of the February 6, 2023 Mw 7.8 and Mw 7.6, Kahramanmaraş, Turkey earthquake sequence in the East Anatolian fault zone // Seismica. 2023. V. 2. № 3. https://doi.org/10.26443/seismica.v2i3.502
- Bird P. An updated digital model of plate boundaries // Geochem. Geophys. Geosyst. 2003. V. 4. № 3. 1027. https://doi.org/10.1029/2001GC000252
- Bukchin B. Determination of stress glut moments of total degree 2 from teleseismic surface wave amplitude spectra // Tectonophysics. 1995. V. 248. P. 185–191. https://doi.org/10.1016/0040-1951(94)00271-A
- Bukchin B., Clévédé E., Mostinskiy A. Uncertainty of moment tensor determination from surface wave analysis for shallow earthquakes // J. Seismol. 2010. V. 14. P. 601–614. https://doi.org/10.1007/s10950-009-9185-8
- Bukchin B.G., Fomochkina A.S., Kossobokov V.G., Nekrasova A.K. Characterizing the foreshock, main shock, and aftershock sequences of the recent major earthquakes in Southern Alaska, 2016–2018 // Frontiers in Earth Science. 2020. V. 8. 584659. https://doi.org/10.3389/feart.2020.584659
- Bulut F., Bohnhoff M., Eken T., Janssen C., Kiliç T., Dresen G. The East Anatolian fault zone: seismotectonic setting and spatiotemporal characteristics of seismicity based on precise earthquake locations // J. Geophys. Res. 2012. V. 117. B07304. https://doi.org/10.1029/2011JB008966
- Chen W., Rao G., Kang D., Wan Z., Wang D. Early report of the source characteristics, ground motions, and casualty estimates of the 2023 Mw 7.8 and 7.5 Turkey earthquakes // J. Earth Sci. 2023. V. 34. P. 297–303. https://doi.org/10.1007/s12583-023-1316-6
- Clévédé E., Bukchin B., Favreau P., Mostinskiy,A., Aoudia A., Panza G.F. Long-period spectral features of the Sumatra-Andaman 2004 earthquake rupture process // Geophys. J. Int. 2012. V. 191. P. 1215–1225. https://doi.org/10.1111/j.1365-246X.2012.05482.x
- Clévédé E., Bouin M.-P., Bukchin B., Mostinskiy A., Patau G. New constraints on the rupture process of the 1999 August 17 Izmit earthquake deduced from estimates of stress glut rate moments // Geophys. J. Int. 2004. V. 159. P. 931–942. https://doi.org/10.1111/j.1365-246X.2004.02304.x
- Dal Zilio L., Ampuero J.P. Earthquake doublet in Turkey and Syria // Commun. Earth Environ. 2023. V. 4. 71. https://doi.org/10.1038/s43247-023-00747-z
- Delouis B., van den Ende M., Ampuero J.-P. Kinematic rupture model of the February 6th 2023 Mw 7.8 Turkey earthquake from a large set of near-source strong motion records combined by GNSS offsets reveals intermittent supershear rupture. Pre-print. 2023. https://doi.org/10.22541/essoar.168286647.71550161/v1
- Dziewonski A.M., Anderson D.L. Preliminary Reference Earth Model // Phys. Earth Planet. Inter. 1981. V. 25. № 4. P. 297–356. https://doi.org/10.1016/0031-9201(81)90046-7
- Dziewonski A.M., Woodhouse J.H. An experiment in systematic study of global seismicity: Centroid-moment-tensor solutions for 201 moderate and large earthquakes of 1981 // J. Geophys. Res. 1983. V. 88. P. 3247–3271. https://doi.org/10.1029/JB088iB04p03247
- EMSC/CSEM. European-Mediterranean Seismological Centre. Available from https://www.emsc-csem.org/Earthquake/. Last accessed 17 May 2023.
- Erdik M., Tümsa M.B.D., Pınar A., Altunel E., Zülfikar A.C. A preliminary report on the February 6, 2023 earthquakes in Türkiye. 2023. Available from http://doi.org/. Last accessed 12 May 2023.https://doi.org/10.32858/temblor.297
- ETOPO 2022: 15 Arc-Second Global Relief Model. https://doi.org/10.25921/fd45-gt74. Available from https:// www.ncei.noaa.gov/products/etopo-global-relief-model Last accessed 15 May 2023.
- Filippova A.I., Bukchin B.G., Fomochkina A.S., Melnikova V.I., Radziminovich Ya.B., Gileva N.A. Source process of the September 21, 2020 Mw 5.6 Bystraya earthquake at the south-eastern segment of the Main Sayan fault (Eastern Siberia, Russia) // Tectonophysics. 2022. V. 822. 229162. https://doi.org/10.1016/j.tecto.2021.229162
- Global CMT Web Page, 2023. On-line Catalog. Lamont-Doherty Earth Observatory (LDEO) of Columbia University, Columbia, SC, USA. Available from http://www.globalcmt.org Last accessed 15 May 2023.
- Gómez J.M., Bukchin B., Madariaga R., Rogozhin E.A., Bogachkin B.M. Rupture process of the 19 August 1992 Susamyr, Kyrgyzstan, earthquake // J. Seismol. 1997. V. 1. P. 219–235. https://doi.org/10.1023/A:1009780226399
- Güvercin S.E., Karabulut H., Konca A.Ö., Doğan U., Ergintav S. Active seismotectonics of the East Anatolian Fault // Geophys. J. Int. 2022. V. 230. P. 50–69. https://doi.org/10.1093/gji/ggac045
- Hanks T., Kanamori H. A moment magnitude scale // J. Geophys. Res. 1979. V. 84. B5. P. 2348–2350.
- Hayes G.P., Rivera L., Kanamori H. Source inversion of the W-phase: real-time implementation and extension to low magnitudes // Seism. Res. Lett. 2009. V. 80. № 5. P. 817–822. https://doi.org/10.1785/gssrl.80.5.817
- Heidbach O., Rajabi M., Cui X., Fuchs K., Müller B., Reinecker J., Reiter K., Tingay M., Wenzel F., Xie F., Ziegler M.O., Zoback M.-L., Zoback M. The World Stress Map database release 2016: Crustal stress pattern across scales // Tectonophysics. 2018. V. 744. P. 484–498. https://doi.org/10.1016/j.tecto.2018.07.007
- International Seismological Centre, 2023. On-line Bulletin. Internatl. Seis. Cent., Thatcham, United Kingdom. Available from http://www.isc.ac.uk. Last accessed 15 May 2023.
- Ji C., Wald D.J., Helmberger D.V. Source description of the 1999 Hector Mine, California, earthquake, part I: Wavelet domain inversion theory and resolution analysis // Bull. Seismol. Soc. Am. 2002. V. 92. P. 1192–1207. https://doi.org/10.1785/0120000916
- Jiang X.Y., Song X.D., Li T., Wu K.X. Moment magnitudes of two large Turkish earthquakes on February 6, 2023 from long-period coda // Earthq. Sci. 2023. V. 36. № 2. P. 169–174. https://doi.org/10.1016/j.eqs.2023.02.008
- Kagan Y.Y. Simplified algorithms for calculating double-couple rotation // Geophys. J. Int. 2007. V. 171. № 1. P. 411–418. https://doi.org/10.1111/j.1365-246X.2007.03538.x
- Kanamori H., Rivera L. Source inversion of W-phase: speeding up seismic tsunami warning // Geophys. J. Int. 2008. V. 175. № 1. P. 222–238. https://doi.org/10.1111/j.1365-246X.2008.03887.x
- Karabacak V., Özkaymak Ç., Sözbilir H., Tatar O., Aktuğ B., Özdağ Ö.C., Çakir R., Aksoy E., Koçbulut F., Softa M., Akgün A., Demir A., Arslan G. The 2023 Pazarcik (Kahramanmaraş, Türkiye) earthquake (Mw 7.7): implications for surface rupture dynamics along the East Anatolian Fault Zone // J. Geolog. Soc. 2023. V. 180. jgs2023-020. https://doi.org/10.1144/jgs2023-020
- Karabulut H., Güvercin S.E., Hollingsworth J., Konca A.Ö. Long silence on the East Anatolian Fault Zone (Southern Turkey) ends with devastating double earthquakes (6 February 2023) over a seismic gap: implications for the seismic potential in the Eastern Mediterranean region // J. Geolog. Soc. 2023. V. 180. jgs2023-021. https://doi.org/10.1144/jgs2023-021
- Kusky T.M., Bozkurt E., Meng J., Wang L. Twin Earthquakes Devastate southeast Türkiye and Syria: first report from the epicenters // J. Earth Sci. 2023. V. 34. № 2. P. 291–296. https://doi.org/10.1007/s12583-023-1317-5
- Lasserre C., Bukchin B., Bernard P., Tapponier P., Gaudemer Y., Mostinsky A., Dailu R. Source parameters and tectonic origin of the 1996 June 1 Tianzhu (Mw = 5.2) and 1995 July 21 Yongen (Mw = 5.6) earthquakes near the Haiyuan fault (Gansu, China) // Geophys. J. Int. 2001. V. 144. № 1. P. 206–220. https://doi.org/10.1046/j.1365-246x.2001.00313.x
- Mai P.M., Aspiotis T., Aquib T.A., Cano E.V., Castro-Cruz D., Espindola-Carmona A., Li B., Li X., Liu J., Matrau R. et al. The destructive earthquake doublet of 6 February 2023 in south-central Türkiye and northwestern Syria: initial observations and analyses // The Seismic Record. V. 3. № 2. P. 105–115. https://doi.org/10.1785/0320230007
- McKenzie D.P. Active tectonics of the Mediterranean region // Geophys. J. R. Astron. Soc. 1972. V. 30. P. 109–185. https://doi.org/10.1111/j.1365-246X.1972.tb02351.x
- Melgar D., Taymaz T., Ganas A., Crowell B.W., Öcalan T., Kahraman M., Tsironi V., Yolsal-Çevikbilen S., Valkaniotis S., Irmak T.S. et al. Sub- and super-shear ruptures during the 2023 Mw 7.8 and Mw 7.6 earthquake doublet in SE Türkiye // Seismica. 2023. V. 2. № 3. https://doi.org/10.26443/seismica.v2i3.387
- Nataf H.-C., Ricard Y. 3SMAC: on a priori tomographic model of the upper mantle based on geophysical modeling // Phys. Earth Planet. Inter. 1996. V. 95. № 1–2. P. 101–122. https://doi.org/10.1016/0031-9201(95)03105-7
- National Earthquake Information Center. 2023. On-line Catalog. US Geological Survey, USA Available from https://earthquake.usgs.gov Last accessed 15 May 2023.
- Okuwaki R., Yagi Y., Taymaz T., Hicks S.P. Multi-scale rupture growth with alternating directions in a complex fault network during the 2023 south-eastern Türkiye and Syria earthquake doublet. Pre-print, EarthArXiv. 2023. Last accessed 17 May 2023.https://doi.org/10.31223/X5RD4W
- Rosakis A.J., Abdelmeguid M., Elbanna A. Evidence of early supershear transition in the Feb 6th 2023 Mw 7.8 Kahramanmaraş Turkey earthquake from near-field records. Pre-print, EarthArXiv. 2023. https://doi.org/10.31223/X5W95G
- Scripps Institution of Oceanography. 1986. Global Seismograph Network - IRIS/IDA [Data set]. International Federation of Digital Seismograph Networks. https://doi.org/10.7914/SN/II
- Şengör A.M.C., Yilmaz Y. Tethyan evolution of Turkey: a plate tectonic approach // Tectonophysics. 1981. V. 75. P. 181–241. https://doi.org/10.1016/0040-1951(81)90275-4
- Seredkina A., Melnikova V., Radziminovich Ya., Gileva N. Seismicity of the Erguna region (Northeastern China): evidence for local stress redistribution // Bull. Seism. Soc. Am. 2020. V. 110. P. 803–815. https://doi.org/10.1785/0120190182
- Sesetyan K., Stucchi M., Castelli V., Gomez Caper A.A. Kahramanmaraş − Gaziantep Türkiye M7.7 earthquake, 6 February 2023 (04:17 GMT + 03:00). Large historical earthquakes of the earthquake-affected region: a preliminary report. 16.02.2023 (V1). 2023. Available from https://eqe. boun.edu.tr/sites/eqe.boun.edu.tr/files/kahramanmaras-gaziantep_earthquake_06-02-2023_large_hist_eqs_v1.pdf Last accessed 17 May 2023.
- Sipkin S. Estimation of earthquake source parameters by the inversion of waveform data: synthetic waveforms // Phys. Earth Planet. Inter. 1982. V. 30. № 2–3. P. 242–259. https://doi.org/10.1016/0031-9201(82)90111-X
- Stein R.S., Toda S., Özbakir A.D., Sevilgen V., Gonzalez-Huizar H., Lotto G., Sevilgen S. Interactions, stress changes, mysteries, and partial forecasts of the 2023 Kahramanmaraş, Türkiye, earthquakes. Temblor, 2023. https://doi.org/10.32858/temblor.299
- Yilmaz H., Over S., Ozden S. Kinematics of the East Anatolian Fault Zone between Turkoglu (Kahramanmaras) and Celikhan (Adiyaman), eastern Turkey // Earth Planet. Sp. 2006. V. 58. P. 1463–1473. https://doi.org/10.1186/BF03352645
- Zahradnik J., Turhan F., Sokos E., Gallovič F. Asperity-like (segmented) structure of the 6 February 2023 Turkish earthquakes. Pre-print, EarthArXiv. 2023. https://doi.org/10.31223/X5T666
- Zelenin E.A, Bachmanov D.M., Garipova S.T., Trifonov V.G., Kozhurin A.I. The Active Faults of Eurasia Database (AFEAD): the ontology and design behind the continental-scale dataset // Earth System Science Data. 2022. V. 14. № 10. P. 4489–4503. https://doi.org/10.5194/essd-14-4489-2022
Дополнительные файлы







