Вариации палеонапряженности геомагнитного поля, записанные в археологической керамике ПОЗДНЕГО бронзового и раннего железного ВЕКОВ центра русской равнины
- Авторы: Пилипенко О.В.1, Начасова И.Е.1, Азаров Е.С.2
-
Учреждения:
- Институт физики Земли им. О.Ю. Шмидта РАН
- Государственный исторический музей
- Выпуск: № 6 (2023)
- Страницы: 224-244
- Раздел: Статьи
- URL: https://journal-vniispk.ru/0002-3337/article/view/249497
- DOI: https://doi.org/10.31857/S0002333723060157
- EDN: https://elibrary.ru/DSXCIY
- ID: 249497
Цитировать
Полный текст
Аннотация
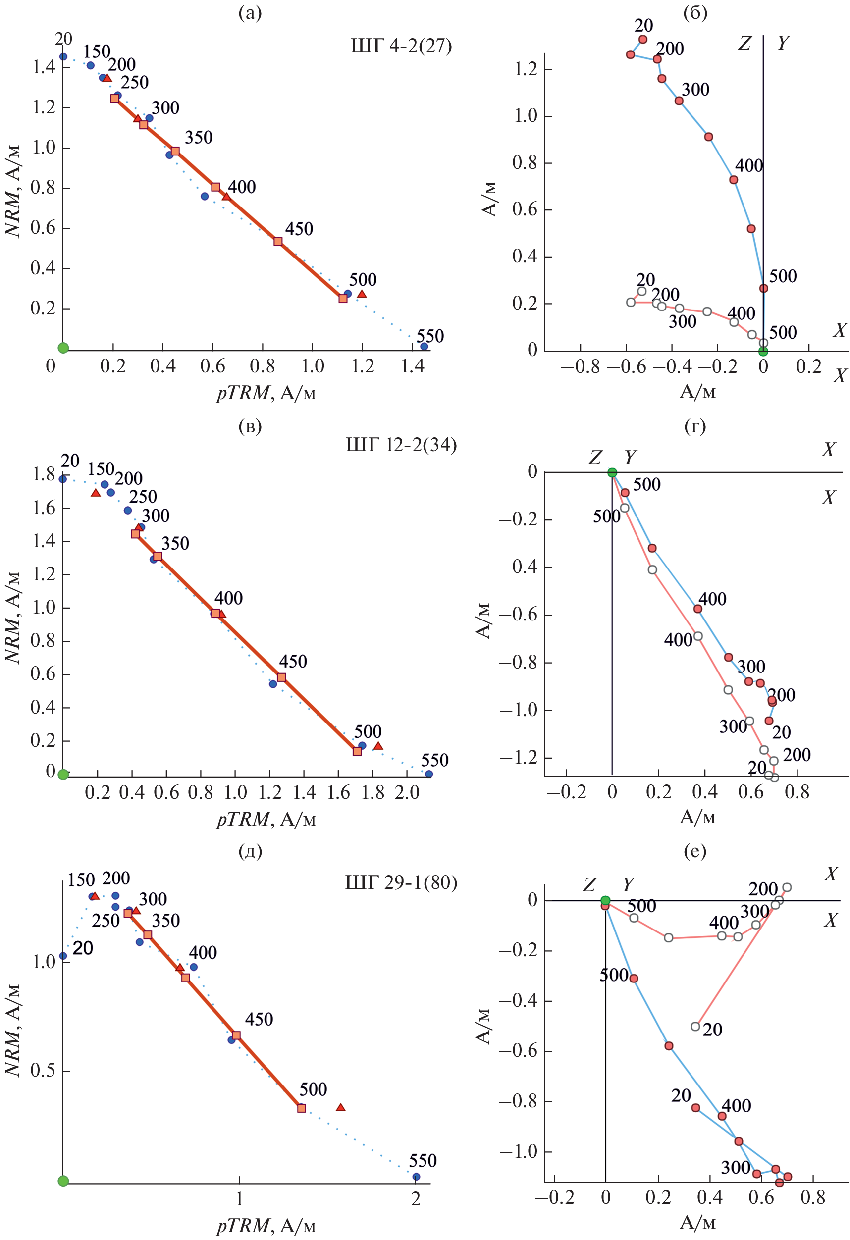
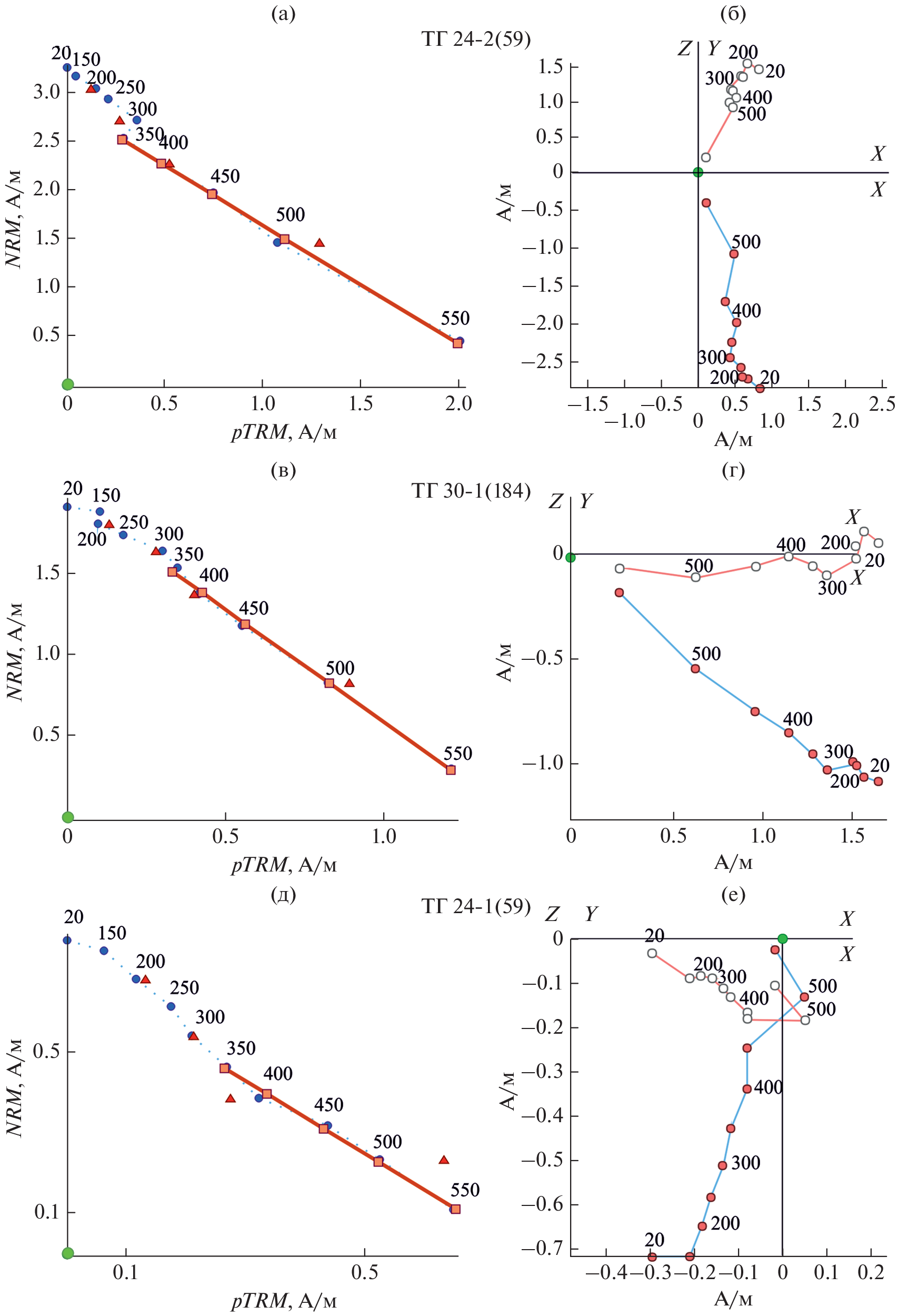
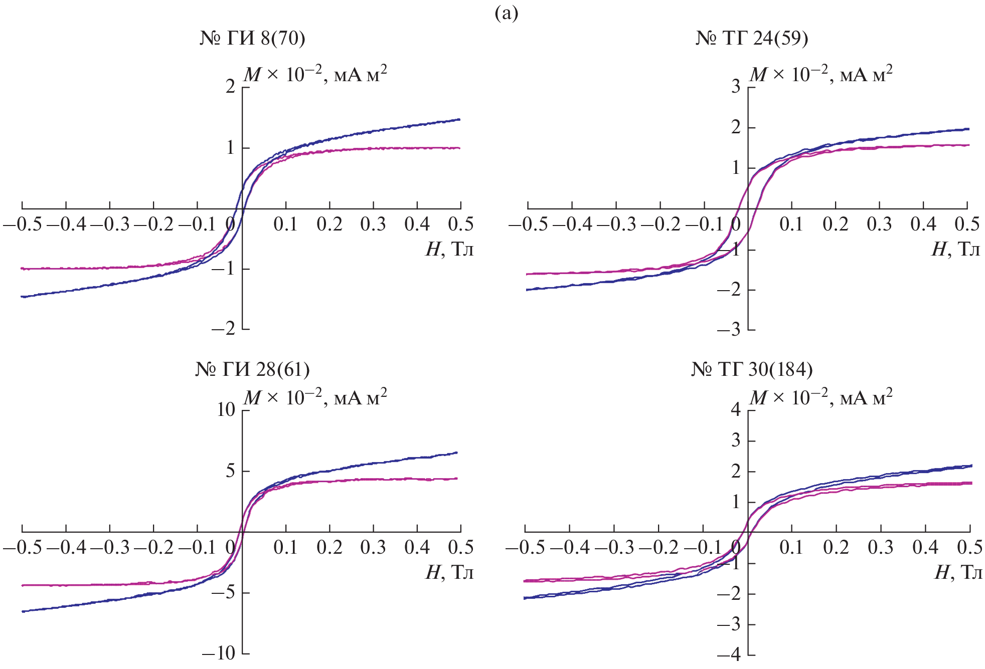
Проведены петромагнитные и археомагнитные исследования фрагментов керамики конца эпохи бронзы и начала железного века археологических памятников Гришинский исток III, Тюков городок и Шишкинское городище, расположенных в бассейне р. Оки, Рязанской обл. РФ. В общей сложности получено сорок три определения напряженности геомагнитного поля для временного интервала XV–IV вв. до н. э. Из них на образцах керамики Гришинский исток III было получено 10 определений, Тюков городок – 11 определений, Шишкинское городище – 22 определения. В исследуемом интервале времени имеют место повышенные значения напряженности геомагнитного поля 55–59 мкТл, что существенно выше среднего уровня напряженности поля для территории Русской равнины в IV–первой половине III тыс. до н. э. Полученные значения VADM для центра Русской равнины попадают в широкий интервал значений, полученный по расположенным в том же долготном секторе одновозрастным археологическим памятникам Грузии. Разброс данных может быть связан как с большой ошибкой определения возраста по 14C, сопоставимой по величине с протяженностью самого исследуемого временного интервала, так и с высокой скоростью изменения магнитного поля в этот интервал времени.
Об авторах
О. В. Пилипенко
Институт физики Земли им. О.Ю. Шмидта РАН; Институт физики Земли им. О.Ю. Шмидта РАН
Автор, ответственный за переписку.
Email: pilipenko@ifz.ru
Россия, г. Москва; Россия, г. Москва
И. Е. Начасова
Институт физики Земли им. О.Ю. Шмидта РАН
Email: hazari4@yandex.ru
Россия, г. Москва
Е. С. Азаров
Государственный исторический музей; Государственный исторический музей
Автор, ответственный за переписку.
Email: hazari4@yandex.ru
Россия, г. Москва; Россия, г. Москва
Список литературы
- Азаров Е.С. К планиграфии поселений культуры “текстильной” керамики позднего бронзового века Поочья. Жилые постройки // Археология евразийских степей. Эпоха бронзы и ранний железный век. Материалы III международной научной конференции “Ананьинский мир: культурное пространство, связи, традиции и новации”. Издательский дом “Казанская недвижимость”. 2017. № 3. С. 63–79.
- Бураков К.С., Начасова И.Е. Изменение интенсивности геомагнитного поля на территории Грузии в V–III тысячелетиях до н. э. // Геомагнетизм и аэрономия. 1988. № 6. С. 1033–1035.
- Бурлацкая С.П. Археомагнетизм. Исследование магнитного поля Земли в прoшлые эпохи. М.: Наука. 1965. 127 с.
- Веселовский Р.В., Дубиня Н.В., Пономарев А.В. и др. Центр коллективного пользования Института физики Земли им. О.Ю. Шмидта РАН “Петрофизика, геомеханика и палеомагнетизм” // Геодинамика и тектонофизика. 2022. Т. 13. № 2. 0579. https://doi.org/10.5800/GT-2022-13-2-0579
- Драбкина Е.А., Попов В.В., Сергиенко Е.С., Смирно-ва Р.В. Исследование возможности определения палеонапряженности методом Телье по импактным породам // Вопросы геофизики. Вып. 44. 2011. С. 155–164.
- Клайн Э.Х. 1177 год до н. э. М.: изд-во АСТ. 2018. 320 с.
- Клименко В.В. Холодный климат ранней субатлантической эпохи в Северном полушарии. М.: изд-во МЭИ. 2004. 144 с.
- Лопатина О.А. Опыт технологического изучения “текстильных” отпечатков. У истоков археологии Волго-Камья (к 150-летию открытия Ананьинского могильника). Археология Евразийских степей. Вып. 8. Елабуга: ИИ АН РТ, ИА РАН, ЕГМЗ. 2009. С. 204–213.
- Начасова И.Е. Характеристики вариаций напряженности геомагнитного поля по археомагнитным данным. Автореферат дис. докт. физ.-мат. наук. ИФЗ им. О.Ю. Шмидта РАН. 1998. 65 с.
- Начасова И.Е., Бураков К.С. Изменение напряженности геомагнитного поля во втором тысячелетии до нашей эры на территории Грузии // Геомагнетизм и аэрономия. 1987. № 5. С. 869–872.
- Начасова И.Е., Пилипенко О.В., Марков Г.П., Грибов С.К., Цетлин Ю.Б. Напряженность геомагнитного поля в неолите в центре Русской равнины // Геомагнетизм и аэрономия. 2018. № 3. С. 451–468.
- Начасова И.Е., Пилипенко О.В., Марков Г.П., Недомолкина Н.Г. Напряженность геомагнитного поля в районе Русской равнины в V–III тыс. до н. э. // Физика Земли. 2020. № 2. С. 103–114.
- Начасова И.Е., Пилипенко О.В., Цетлин Ю.Б. Запись геомагнитного поля в керамике центра Русской равнины в III–II тыс. до н. э. // Физика Земли. 2022. № 2. С. 60–72.
- Сулержицкий Л.Д., Фоломеев Б.А. Радиоуглеродные даты археологических памятников бассейна средней Оки. Древние памятники Окского бассейна / В.П. Челяпов (отв. ред.). Рязань: НПЦ по ОИПИКРО. 1993. С. 42–55.
- Тейлор Дж. Введение в теорию ошибок. М.: Мир. 1985. 272 с.
- Фоломеев Б.А. Тюков городок // Советская археология. 1975. № 1. С. 154–170.
- Фоломеев Б.А. Отчет о работе Окской археологической экспедиции Государственного исторического музея за 1989 г. Архив ИА РАН. 1990. Р. 1. Д. 14847.
- Фоломеев Б.А. Отчет о работе Окско-Донской археологической экспедиции Государственного исторического музея за 1990 г. Архив ИА РАН. 1991. Р. 1. Д. 15718.
- Фоломеев Б.А. Окские городища. Памятники раннего железного века Окско-Донского междуречья. Сборник научных статей. Рязань. 1993. С. 3–21.
- Фоломеев Б.А. Шишкинское городище. Древности Оки. Труды ГИМ. Вып. 85. М.: Издательский центр ГИМ. 1994. С. 138–157.
- Цетлин Ю.Б. Древняя керамика. Теория и методы историко-культурного подхода. М.: ИА РАН. 2012. 384 с.
- Bullard E.C., Freedman C. Gellman H., Nixon J. The westward drift of the Earth’s magnetic field // Philos. Trans. R. Soc. London. Ser. A. 1950. V. 243. P. 67–92.
- Coe R.S. Paleointensities of the Earth’s magnetic field determined from tertiary and quaternary rocks // J. Geophys. Res. 1967. V. 72. P. 3247–3262.
- Coe R.S., Gromme S., Mankinen E.A. Geomagnetic paleointensity from radiocarbon -dated flows on Hawaii and the question of the Pacific nondipole low // J. Geophys. Res. 1978. V. 83. № B4. P. 1740–1756.
- Day R., Fuller M.D., Schmidt V.A. Hysteresis properties of titanomagnetite: Grain size and composition dependence // Phys. Earth Planet. Inter. 1977. V. 13. P. 260–266.
- Gallet Y., Genevey A., Fluteau F. Does Earth’s magnetic field secular variation control centennial climate change? // Earth Planet. Sci. Lett. 2005. V. 236. P. 339–347.
- Gallet Y., Genevey A., Le Goff M., Fluteau F., Eshraghi A. Possible impact of the Earth’s magnetic field on the history of ancient civilizations // Earth Planet. Sci. Lett. 2006. V. 246. P. 17–26.
- Kissel C., Laj C. Improvements in procedure and paleointensity selection criteria (PICRIT-03) for Thellier and Thellier determintions: application to Hawaiian basaltic long cores // Phys. Earth Planet. Inter. 2004. V. 147 № 2–3. P. 155–169.
- Korte M., Constable C., Donadini F., Holme R. Reconstructing the Holocene geomagnetic field // Earth Planet. Sci. Lett. 2011. V. 312. P. 497–505.
- Merrill R., McElhinny M., McFadden P. The magnetic field of the Earth, paleomagnetism, the core and the deep mantle. San Diego, USA: Academic Press. 1996. 531 p.
- Nagata T., Arai Y., Momose K. Secular variation of the geomagnetic total force during the last 5000 years // J. Geophys. Res. 1963. V. 68. №18. P. 5277–5281.
- Paterson G.A., Tauxe L., Biggin A.J., Shaar R., Jonestrask L.C. On improving the selection of Thellier-type paleointensity data // Geochem. Geophys. Geosyst. 2014. V. 15(4). P. 1180–1192.
- Pilipenko O.V., Nachasova I.E., Gribov S.K., Zelentsova O.V. Archaeomagnetic studies of the material of the archaeological monument Dmitrievskaya Sloboda II of the second millennium B.C. Recent advances in rock magnetism, environmental magnetism and paleomagnetism. International Conference on Geomagnetism, Paleomagnetism and Rock Magnetism (Kazan, Russia). Springer International Publishing. 2019. P. 97–107.
- Prévot M., Mankinen E.A., Coe R.S., Gromme S.C. The Steens Mountain (Oregon) geomagnetic polarity transition 2. Field intensity variations and discussion of reversal models // J. Geophys. Res. 1985. V. 90. № B12. P. 10417–10448.
- Riisager P. Riisager J. Detecting multidomain magnetic grains in Thellier palaeointensity experiments // Phys. Earth Planet. Int. 2001. V. 125. P. 111–117.
- Selkin P.A., Tauxe L. Long-term variations in palaeointensity // Philos. Trans. R. Soc. London, Ser A. 2000. V. 358. № 1768. P. 1065–1088.
- Thellier E., Thellier O. Sur l’intensité du champ magnéttique terrestre dans le passé historique et géologique // Ann. Geophys. V. 15. P. 285–378. 1959.
- Van der Plicht J. Radiocarbon, the calibration curve and Scythian chronology // Impact of the environment on human migration in Eurasia. NATO Science Series IV Earth and Environmental Sciences. V. 42 / E.M. Scott, A.Y. Alekseev, G. Zaitseva (eds.). Amsterdam: University of Groningen, Centre for Isotope Research. 2004. P. 45–61.
- Zijderveld J.D.A. A. C. demagnetization of rocks: analysis of results. Methods in Paleomagnetism / D. W. Collinson, K. Creer, S. Runcorn (eds.) Elsevier. 1967. P. 254–286.
Дополнительные файлы















