Contribution of the Photonic Component to the Ionization of the Atmosphere by Earth Crust Nuclides and Radioactive Emanations
- Authors: Anisimov S.V.1, Galichenko S.V.1, Klimanova E.V.1, Prokhorchuk A.A.1, Afinogenov K.V.1
-
Affiliations:
- Borok Geophysical Observatory, Branch of the Schmidt Institute of Physics of the Earth, Russian Academy of Sciences
- Issue: No 6 (2023)
- Pages: 245-258
- Section: Articles
- URL: https://journal-vniispk.ru/0002-3337/article/view/249498
- DOI: https://doi.org/10.31857/S0002333723060029
- EDN: https://elibrary.ru/WMDEUS
- ID: 249498
Cite item
Full Text
Abstract
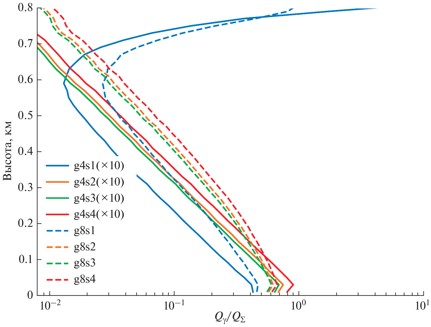
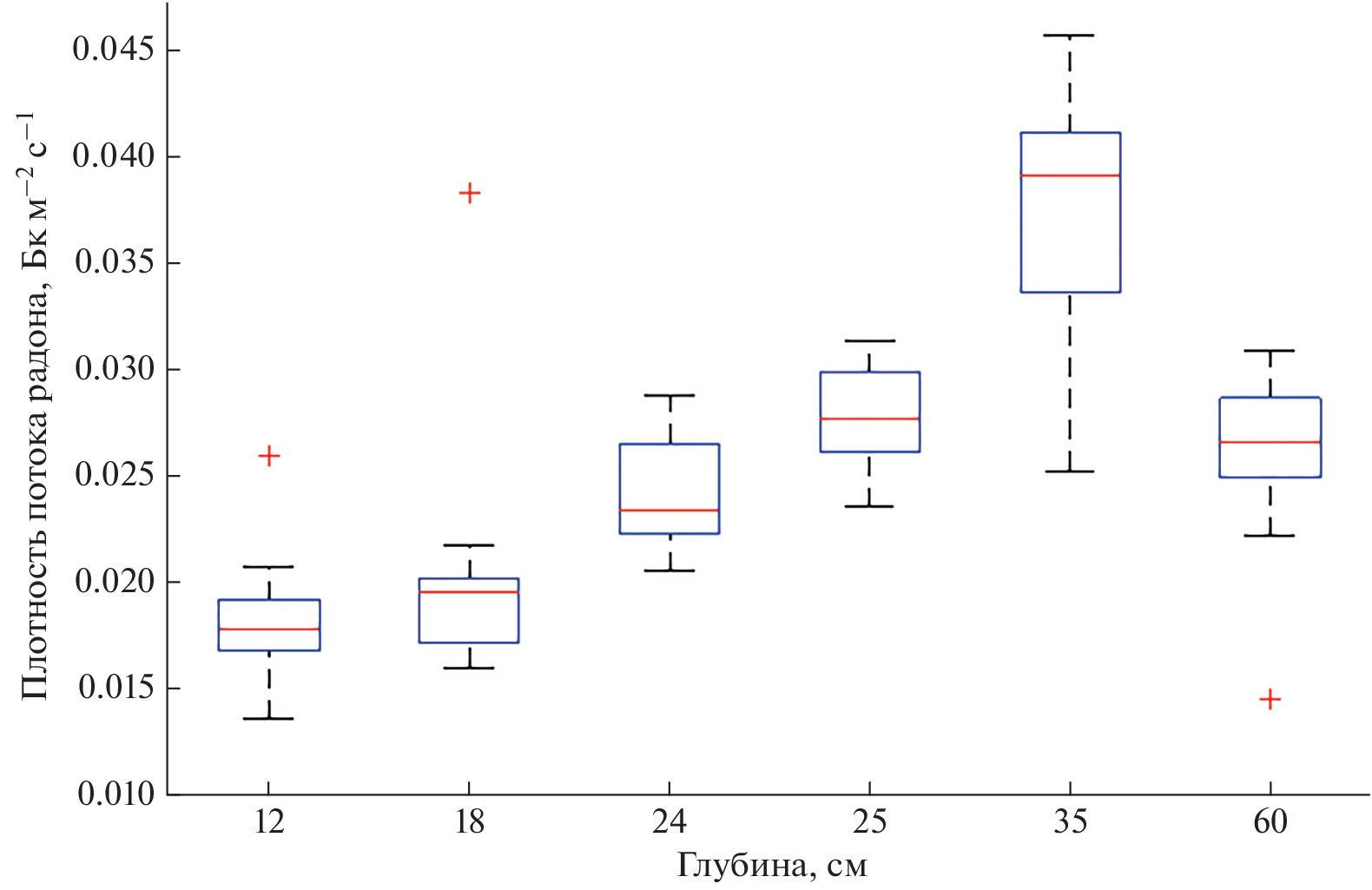
Abstract—We investigate the contribution of gamma radiation of natural radionuclides constituting the Earth crust, radioactive emanations, and their decay product in the ground to the intensity of production of ion pairs in the atmosphere against the background of ionization of the atmosphere by radioactive gases flowing to the atmosphere from the ground and propagating together with their short-lived daughter products. The density of the radon flux to the atmosphere is estimated by three methods: the reservoir method, the integration of altitude profiles of volume activity of radon, based on gamma spectroscopic observation and diffusion model. The distribution of the gamma dose rate dose from the earth radionuclides in the soil and in the atmosphere is calculated using Gleant4 software. The propagation of the radon isotopes and their decay products in the atmosphere is calculated using large eddy simulations supplemented with kinematic simulations of the subgrid transport of a passive scalar. It is shown that depending on the specific activity of nuclides in the ground and the turbulent regime of the atmosphere, the total contribution of the γ-radiation to the ion pair production rate in the atmospheric boundary layer is approximately from 1% to 20% and increases upon a decrease in the penetrability of the upper ground layer for radioactive emanations.
About the authors
S. V. Anisimov
Borok Geophysical Observatory, Branch of the Schmidt Institute of Physics of the Earth, Russian Academy of Sciences
Email: svga@borok.yar.ru
Russia, 152742, Yaroslavl oblast, Borok
S. V. Galichenko
Borok Geophysical Observatory, Branch of the Schmidt Institute of Physics of the Earth, Russian Academy of Sciences
Author for correspondence.
Email: svga@borok.yar.ru
Russia, 152742, Yaroslavl oblast, Borok
E. V. Klimanova
Borok Geophysical Observatory, Branch of the Schmidt Institute of Physics of the Earth, Russian Academy of Sciences
Email: svga@borok.yar.ru
Russia, 152742, Yaroslavl oblast, Borok
A. A. Prokhorchuk
Borok Geophysical Observatory, Branch of the Schmidt Institute of Physics of the Earth, Russian Academy of Sciences
Email: svga@borok.yar.ru
Russia, 152742, Yaroslavl oblast, Borok
K. V. Afinogenov
Borok Geophysical Observatory, Branch of the Schmidt Institute of Physics of the Earth, Russian Academy of Sciences
Email: svga@borok.yar.ru
Russia, 152742, Yaroslavl oblast, Borok
References
- Анисимов С.В., Афиногенов К.В., Гурьев А.В. Аппаратная платформа аэростатных аэроэлектрических наблюдений // Научное приборостроение. 2017a. Т. 27. № 1. С. 24–28.
- Анисимов С.В., Галиченко С.В., Афиногенов К.В., Макрушин А.П., Шихова Н.М. Объемная активность радона и ионообразование в невозмущенной нижней атмосфере: наземные наблюдения и численное моделирование // Физика Земли. 2017б. № 1. С. 155–170.
- Зукау В.В., Яковлева В.С., Каратаев В.Д., Нагорский П.М. Ионизация приземной атмосферы излучением почвенных радионуклидов // Известия Томского политехнического университета. 2010. Т. 317. № 2. С. 171–175.
- Смирнов В.В. Ионизация в тропосфере. С.-Пб.: Гидрометеоиздат. 1992. 312с.
- Яковлев Г.А., Кобзев А.А., Смирнов С.В., Беляева И.В., Аршинов М.Ю., Яковлева В.С. Синхронный мониторинг γ, β-фона и атмосферных осадков в геофизических обсерваториях ИМКЭС СО РАН и БЭК ИОА СО РАН // Вестник КРАУНЦ. Физ.-мат. Науки 2020. Т. 32. № 3. С. 165–179.
- Яковлев Г.А., Яковлева В.С. Особенности сезонной динамики изотопов радона в приземной атмосфере // Вестник КРАУНЦ. Физ.-мат. Науки 2020. Т. 31. № 2. С. 129–138.
- Яковлева В.С. Моделирование влияния состояния и изменчивости атмосферы и литосферы на плотность потоков радона и торона с поверхности земли // Известия Томского политехнического университета. 2010. Т. 317. № 2. С. 162–166.
- Allison J., Amako K., Apostolakis J. et al. Recent developments in Geant4 // Nucl. Instrum. Methods Phys. Res. 2016. V. 835. P. 186–225.
- Anisimov S.V., Galichenko S.V., Prokhorchuk A.A., Aphinogenov K.V. Mid-latitude convective boundary-layer electricity: A study by large-eddy simulation // Atmos. Res. 2020. V. 244. P. 105035.
- Barbosa S.M., Miranda P., Azevedo E.B. Short-term variability of gamma radiation at the ARM Eastern North Atlantic facility (Azores) // J. Envir. Rad. 2017. V. 172. P. 218–231.
- Barbosa S.M., Huisman J.A., Azevedo E.B. Meteorological and soil surface effects in gamma radiation time series – Imlications for assessment of earthquake precursors // J. Envir. Rad. 2018. V. 195. P. 72–78.
- Bernard D. A 5D, polarized, Bethe-Heitler event generator for γ → e+e− conversion // Nucl. Instr. Meth. Phys. Research Section A 2018. V. 899. № 11. P. 85–93.
- Binks W. Energy per ion pair // Acta Radiologica 1954. V. 41. № 117. P. 85–104.
- Burnett J.L., Croudace I.W., Warwick P.E. Short-lived variations in the background gamma-radiation dose // J. Radiol. Prot. 2010. V. 30. P. 525–533.
- Dueñas C., Fernándes M.C., Carretero J., Liger E., Pérez M. Release of 222Rn from some soils // Ann. Geophysicae 1997. V. 15. P. 124–133.
- Grasty R.L. Radon emanation and soil moisture effects on airborne gamma-ray measurements // Geophys. 1997. V. 62. № 5. P. 1379–1385.
- Greenfield M.B., Domondon A.T., Okamoto N., Watanabe I. Variation in γ-ray count rates as a monitor of precipitation rates, radon concentrations, and tectonic activity // J. Appl. Phys. 2002. V. 91. № 3. P. 1628–1633.
- Griffiths A.D., Zahorowski W., Element A., Werczynsky S. A map of radon flux at the Australian land surface // Atmos. Chem. Phys. 2010. V. 10. P. 8969–8982.
- Guedalia D., Allet C., Fontan J., Druilhet A. Lead-212, radon and vertical mixing in the lower Atmosphere (100–2000) m // Tellus. XXV. 1973. V. 4. P. 381–385.
- Hassan N.M., Hosoda M., Ishikawa T., Sorimachi A., Sahoo S.K., Tokonami S., Fukushi M. Radon migration process and its influence factors; Review // Jpn. J. Health Phys. 2009. V. 44 (2). P. 218–231.
- Hosoda M., Sorimachi A., Yasuoka Y., Ishikawa T., Sahoo S.K., Furukawa M., Hassan N.M., Tokonami S., Uchida S. Simultaneous measurements of radon and thoron exhalation rates and comparison with values calculated by UNSCEAR equation // J. Radiat. Res. 2009. V. 50. P. 333–343.
- Inomata Y., Chiba M., Igarashi Y., Aoyama V., Hirose K. Seasonal and spatial variations of enhanced gamma ray dose rates derived from 222Rn progeny during precipitation in Japan // Atmos. Envir. 2007. V. 41. P. 8043–8057.
- Kardos R., Gregorič A., Jónás J., Vaupotič J., Kovács T., Ishimori Y. Dependence of radon emanation of soil on lithology // J. Radioanal. Nucl. Chem. 2015. V. 304. P. 1321–1327.
- Laakso L., Petäjä T., Lehtinen K.E.J., Kulmala M., Paatero J., Hõrrak U., Tammet H., Joutsensaari J. Ion production rate in a boreal forest based on ion, particle and radiation measurements // Atmos. Chem. Phys. 2004. V. 4. P. 1933–1943.
- Maronga B., Banzhaf S. et al. Overview of the PALM model system 6.0 // Geosci. Model. Dev. 2020. V. 13. P. 1335–1372.
- Melintescu A., Chambers S.D., Crawford J., Williams A.G., Zorila B., Galeriu D. Radon-222 related influence on ambient gamma dose // J. Envir. Rad. 2018. V. 189. P. 67–78.
- Ongori J.N., Lindsay R., Newman R.T., Maleka P.P. Determining the radon exhalation rate from a gold mine tailings dump by measuring the gamma radiation // J. Envir. Rad. 2015. V. 140. P. 16-24.
- Pearson J.E., Jones G.E. Soil concentrations of “emanating radium-226” and the emanation of radon-222 from soils and plants // Tellus. XVIII. 1966. V. 2. P. 655–662.
- Porstendörfer J. Properties and behavior of radon and thoron and their decay products in the air // J. Aerosol. Sci. 1994. V. 25. № 2. P. 219–263.
- Prasad G., Ishikawa T., Hosoda M., Sorimachi A., Janik M., Sahoo S.K., Tokonami S., Uchida S. Estimation of radon diffusion coefficients in soil using an updated experimental system // Rev. Sci. Instr. 2012. V. 83. P. 093503.
- Rizzo A., Antonacci G., Borra E., Cardellini F., Ciciani L., Sperandio L., Vilardi I. Environmental gamma dose rate monitoring and radon correlations: evidence and potential applications // Environments. 2022. V. 9. P. 66.
- Ryzhakova N.K. A new method for estimating the coefficients of diffusion and emanation of radon in the soil // J. Envir. Rad. 2014. V. 135. P. 63–66.
- Singh B., Singh S., Virk H.S. Radon diffusion studies in air, gravel, sand, soil and water // Nucl. Tracks Radiat. Meas. 1993. V. 22. № 1–4. P. 455–458.
- Sun K., Guo Q., Cheng J. The effect of some soil characteristics on soil radon concentration and radon exhalation rate // J. Nucl. Sci. Tech. 2004. V. 41. № 11. P. 1113–1117.
- Tchorz-Trzeciakiewicz D.E., Rysiukiewicz M. Ambient gamma dose rate as an indicator of geogenic radon potential // Sci. Total Envir. 2021. V. 755. 142771.
- Tchorz-Trzeciakiewicz D.E., Solecki A.T. Variations of radon concentration in the atmosphere. Gamma dose rate // Atmos. Envir. 2018. V. 174. P. 54–65.
- Waggy S.B., Biringen S., Sullivan P.P. Direct numerical simulation of top-down and bottom-up diffusion in the convective boundary layer // J. Fluid Mech. 2013. V. 724. P. 581–606.
- Wilkening M.H., Clements W.E., Stanley D. Radon flux measurements in widely separated regions. The Natural radiation environment II / Adams J.A.S. (ed.). Rice University Houston. Texas. 1972. P. 717–730.
- Williams A.G., Zahorowski W., Chambers S., Griffiths A., Hacker J.M., Element A., Werczynsky S. The vertical distribution of radon in clear and cloudy daytime terrestrial boundary layers // J. Atmos. Sci. 2011. V. 68. P. 155–174.
- Yakovleva V., Poberezhnikov A.D., Yakovlev G.A., Kobzev A.A., Smirnov S.V., Arshinov M. Yu. Analysis of gamma-radiation background changes during periods of atmospheric precipitation // Atomic Energy. 2021. V. 131. № 1. P. 50–55.
- Yakovleva V.S., Yakovlev G., Parovik R., Smirnov S., Kobzev A. Geant4 simulation of precipitated activity-to-γ-dose rate conversion factors for radon and thoron decay products // Mathematics. 2022. V. 10. P. 293.
- Ye Y., Zhang Y., Dai X., Ding D. A universal laboratory method for determining physical parameters of radon migration in dry granulated porous media // J. Envir. Rad. 2017. V. 177. P. 135-141.
- Zhang K., Feichter J., Kazil J., Wan H., Zhuo W., Griffiths A.D., Sartorius H., Zahorowski W., Ramonet M., Schmidt M., Yver C., Neubert R.E.M.,Brunke E.-G. Radon activity in the lower troposphere and its impact on ionization rate: a global estimate using different radon emissions // Atmos. Chem. Phys. 2011. V.11. P. 7817–7838.
Supplementary files











