Актуальные вопросы гидрогеологии сейсмогенных разломных зон
- Авторы: Кочарян Г.Г.1, Шатунов И.В.1
-
Учреждения:
- Институт динамики геосфер имени академика М.А. Садовского РАН
- Выпуск: № 4 (2024)
- Страницы: 182-211
- Раздел: ДИСКУССИИ
- URL: https://journal-vniispk.ru/0002-3337/article/view/261878
- DOI: https://doi.org/10.31857/S0002333724040121
- EDN: https://elibrary.ru/FVYLQS
- ID: 261878
Цитировать
Полный текст
Аннотация
Гидрогеология разломных зон, особенно на значительной глубине, является, возможно, наиболее слабо разработанной областью механики очага землетрясений. Это связано как с недостаточным количеством данных о фильтрационных характеристиках материала на большой глубине, так и со сложностью процессов массопереноса, образования и залечивания нарушений сплошности в условиях высоких температур и давлений. При этом очевидно сильнейшее влияние флюида как на фрикционные характеристики, так и на напряженное состояние массива горных пород в окрестности зоны скольжения. Флюиды являются носителями растворенного вещества и тепловой энергии, эффективным катализатором различного рода метаморфических превращений. Согласно некоторым моделям, перетоки флюида могут являться триггерами старта и остановки сейсмогенных разрывов. Развивающаяся в последние годы в мировой сейсмологии тенденция к построению комплексной расчетной модели, адекватно описывающей процессы подготовки, инициирования и остановки различных мод скольжения по разломам, требует совершенствования представлений о флюидодинамике сейсмогенных разломов.
В настоящем обзоре собраны сведения о гидрогеологии разломных зон, полученные в последние годы. Проанализированы развиваемые на основе натурных данных, лабораторных и полевых экспериментов и численных расчетов модели и представления о роли флюидов на разных стадиях сейсмического цикла.
Полный текст
ВВЕДЕНИЕ
Предлагаемая статья продолжает серию публикаций, в которых рассматривается состояние дел в столь важной для понимания процессов, происходящих в земной коре, области, как физика разломных зон. В первом обзоре были проанализированы различные аспекты проблемы зарождения и эволюции процессов скольжения по разломам земной коры – от структуры участков локализации скольжения до инициирования динамических разрывов экзогенными факторами [Кочарян, 2021]. Во второй публикации были детально рассмотрены результаты недавних исследований структуры и фрикционных свойств областей скольжения разломных зон, которые в значительной степени определяют режим деформирования [Кочарян и др., 2023]. Ясно, что и фрикционные характеристики, и напряженное состояние в окрестности зоны скольжения существенно зависят от порового давления и характеристик флюида, насыщающего зону разлома. Более того, флюид, являясь наиболее подвижной составляющей массива горных пород, выступает носителем растворенного вещества и тепловой энергии, сильно влияет на физические и, в частности, реологические свойства вещества литосферы. В широком диапазоне температур флюид является также эффективным катализатором различного рода метаморфических превращений и механических эффектов [Киссин, 2015; Родкин, Рундквист 2018; и др.].
Современные представления о динамике флюидов земной коры основаны на достижениях многих направлений наук о Земле – гидрогеологии, структурной геологии, петрологии, геофизики, а также на базовых положениях гидродинамики и термодинамики. Получение натурных данных ограничено глубинами разведочных и добывающих скважин. Сведения об условиях формирования и миграции флюидов на глубинах до 3–5 км довольно обширны. “Рекордные” сверхглубокие скважины проникли до 9–12 км [Кольская…, 1998; Grawinkel, Stockhert, 1997], однако сведения о характере обводнения и P-T-условиях на больших глубинах носят лишь “точечный” характер.
Гидрогеология разломных зон на малых глубинах (до 1–3 км) изучена сравнительно неплохо. Разработаны концептуальные модели, основанные на наблюдениях, выполненных на участках, открытых в результате денудации, обширных данных гидрогеологических исследований в горных выработках, а также с использованием результатов глубинного бурения разломных зон. Эти модели основаны на представлениях, что разломные зоны действуют как сложные системы проводящих каналов и малопроницемых барьеров, затрудняющих течение флюида. Как правило, полагают, что при течении в направлении субпараллельном магистральному направлению скольжения, проницаемость существенно выше, чем во вмещающих породах. В то же время центральная часть разлома часто служит препятствием для течения в направлении поперек разломной зоны [Bense et al., 2013].
Флюиды играют важнейшую роль во многих деформационных процессах в земной коре, в значительной степени определяя эффективную прочность тектонических разломов. С вариациями порового давления часто связывают как инициирование сильных землетрясений, так и медленных асейсмических сдвигов. Последние, в свою очередь, могут являться как триггерами крупнейших землетрясений, так и напротив, приводить к снижению порового давления в окрестности зоны скольжения, повышая стабильность участка разломной зоны [Behr, Bürgmann, 2021].
Разломная зона является объектом, сильно подверженным влиянию подземных вод. Под воздействием флюида могут существенно изменяться и гидравлические, и механические, и структурные свойства разломных зон [Ружич и др., 1990; Richard et al., 2015; Tenthorey et al., 2003]. Возможность чрезвычайно быстрого (в геологическом смысле) изменения гидравлических свойств разлома связана с широким спектром причин – от дилатансии/компакции, нагрева, плавления, термального разложения геоматериала в ходе динамического деформирования или крипа, до процессов геотермального залечивания. Минерализация, связанная с потоком флюида и взаимодействием вода–порода, может влиять на механическую прочность разломов, потенциально влияя и на характер деформирования (например, см. работы [Moore, Rymer, 2007; Carpenter et al., 2011]). При этом время “запечатывания” или “заживления” трещин радикально снижается в условиях высоких температур и давлений [Brantley et al., 1990; Laubach et al., 2019].
Существенную роль играют и механохимические процессы [Бернштейн, 1987]. Разупрочняющее действие воды связано с накоплением разрывов Si–O–Si связей на фоне механических напряжений в присутствии молекул воды, что приводит к уменьшению коэффициента трения филлосиликатов. Кроме того, поверхность минералов листовой структуры, которые регулярно обнаруживаются в зонах скольжения разломов [Kameda et al., 2011], притягивает молекулы воды, образуя тонкую пленку между двумя соседними пластинами [Renard, Ortoleva, 1997; Moore, 2004]. Влияние адсорбированной воды на степень снижения фрикционной прочности непосредственно продемонстрировано в лабораторных экспериментах на образцах мусковита [Kawai et al., 2015].
До сих пор нет ясности в таком важном вопросе, как изменение прочности и проницаемости разломных зон в результате динамического воздействия как в зоне высокой интенсивности колебаний, так и на удалении от эпицентра в сотни и тысячи километров [Кочарян, Спивак, 2003; Elkhoury et al., 2006; Faoro et al., 2012; Yan et al., 2022; и др.]
Адекватное описание взаимного влияния разломных зон и режимов течений флюидов имеет как фундаментальное значение для физики Земли, так и практическое значение для многих инженерных приложений, включая добычу углеводородов, обеспечение безопасного хранения радиоактивных отходов и т.д.
Со времен трудов [Scholz et al., 1973, Райс, 1982; Николаевский, 1982; Киссин, 2015; Щелкачев, Лапук, 1949; и др.], сформировавших основополагающие представления о подземной флюидодинамике, получено довольно много новых сведений о гидравлических свойствах разломных зон, часть из которых проанализирована в настоящем обзоре.
МЕТОДЫ ОЦЕНКИ ГИДРАВЛИЧЕСКИХ СВОЙСТВ И СТРУКТУРА ГИДРАВЛИЧЕСКИХ ПЕРЕТОКОВ В РАЗЛОМНЫХ ЗОНАХ
В неглубокой коре, если исключить из рассмотрения коллекторы углеводородов, как правило, приемлема схема однофазного течения. На большей глубине трещиноватые породы будут содержать преимущественно соленые подземные воды и/или скопления углеводородов, а закономерности течения будут зависеть от плотности и многофазности потока.
При решении задач гидрогеологии разломных зон, последние рассматриваются как объем породы, свойства которого были изменены в процессе деформации, связанной с разломообразованием и залечиванием. Этот объем расположен в протолите – недеформированном геологическом материале.
Для удобства мы сочли уместным привести в табл. 1 основные параметры, которыми характеризуется подземный поток и соотношения их связывающие.
Таблица 1. Основные характеристики гидравлических свойств массива горных пород
Параметр | Англ. термин | Соотношения для расчета | |
Проницаемость, м2 | Permeability | q – расход на единицу площади, м/с μ – динамическая вязкость, Па с p – давление, Па ρ – плотность, кг/м3 g – ускорение силы тяжести, м/с2 βж – сжимаемость флюида, Па–1 βс – сжимаемость скелета, Па–1 β* – упругоемкость, Па–1 h – мощность пласта, м | |
Коэффициент фильтрации, м/с | Hydraulic conductivity | ||
Коэффициент пьезопроводности, м2/с | Hydraulic diffusivity | ||
Водопроводимость, м2/с | Transmissivity | ||
Гидропроводность пласта, м3/Па с | Conductivity |
Структура разломной зоны сложна и существенно различается на поверхности и на сейсмогенных глубинах. Систематические исследования разломных зон позволили получить детальные сведения о толщине основной зоны сдвига и распределении нарушений сплошности вокруг ядра разлома (например, [Кочарян, 2021] и ссылки там). Ядро (Fault core, FC) сейсмогенных разломов включает сильно локализованные слои сдвига, по которым происходит основная часть косейсмических и более медленных перемещений. Центральная часть (“ядро”, “магистральная часть разлома”) часто представляет собой зону (иногда зоны) ультракатакластических, глиносодержащих пород шириной в десятки-сотни миллиметров. При этом участок основного косейсмического сдвига может быть локализован внутри этого ультракатаклазитового ядра в зоне шириной менее 1–5 мм. Вдоль таких узких слоев (“зона магистрального сместителя”, “principal slip zone” (PSZ)) могут накапливаться километры (!) относительного перемещения бортов. Хотя предполагается, что протяженность PSZ может достигать многих километров, они редко могут быть прослежены более чем на несколько сотен метров. Вероятно в разломной зоне имеет место “взаимодействие” отрезков магистральных сместителей через зоны распределенных катакластических деформаций без ясных следов единого разрыва в последних [Кочарян, 2016]. Материал в зонах локализации скольжения (gouge или разломная глинка трения) обычно имеет широкий гранулометрический состав от нескольких нанометров до нескольких десятков микрон [Chester et al., 2005].
Сильно локализованные участки сдвига окружены зонами поврежденного материала (Damage zone, DZ), которые обычно ассоциируются с зоной повышенной, по сравнению с вмещающим массивом, плотности трещин [Рац, Чернышев, 1970; Faulkner et al., 2011; и др.]. С.И. Шерман с коллегами ввел более общий термин “зоны динамического влияния разломов” [Ружич, 1997; Шерман, 2014; Семинский, 2003]. Ширина и свойства зон влияния сильно различаются с глубиной и по простиранию [Anders, Wiltschko, 1994; Wilson et al., 2003; Faulkner et al., 2018; и др.]. Их ширина, определяемая расстоянием, на котором уровень нарушенности возвращается к фоновым значениям, масштабируется с перемещением по разлому, вплоть до очень малых смещений [Рац, Чернышев, 1970; Кочарян, 2016; Faulkner et al., 2011; и др]. Важно отметить, что максимальная степень поврежденности породы как на макро-, так и на микроуровне непосредственно вблизи магистральной части разлома, определяется типом породы, но практически не зависит от амплитуды смещения бортов. Это связано с тем, что порода может накопить лишь определенную критическую величину трещинной поврежденности [Родионов и др., 1986; Mitchell, Faulkner, 2009; Кочарян, 2016]. Монотонное изменение трещиноватости вдоль профиля, нормального к плоскости разлома, может нарушаться вследствие наличия вторичных разрывов или нескольких субпараллельных зон интенсивной деформации. В тех случаях, когда зона разлома содержит не одну, а несколько магистральных зон, последние могут быть извилистыми, пересекаясь и заключая между собой блоки сильно или слабо трещиноватой породы.
При определении гидравлических свойств разломов in situ возникает необходимость применения разных методов для исследования свойств различных элементов разлома вследствие большой разницы в значениях характеристик соответствующих областей и, как следствие, высоких градиентов, когда величина проницаемости может изменяться на несколько порядков на базе всего лишь в несколько метров.
На обнажениях активных разломных зон и эксгумированных участков разломов, поднятых на поверхность в результате денудации, отбираются образцы для проведения испытаний, а также выполняется оценка эффективной проницаемости отдельных трещин [Rempe et al., 2018; Walker et al., 2013; и др.].
На небольших глубинах для оценки фильтрационных свойств разлома и вмещающего массива, используют различные виды опытно-фильтрационных работ с регистрацией уровня подземных вод как в возмущающей, так и в наблюдательных скважинах [Doan et al., 2006; Kitagawa, Kano, 2016]. Ясно, что в этом случае значения получаются сильно осредненными по пространству. При решении многих инженерных задач, оценка проницаемости зон разломов и вмещающих пород проводится по скоростям притока воды в горные выработки [Кочарян, Спивак, 2003; Мохов, 2018а; 2018б].
Для оценки характеристик локальных участков, например объема горной породы с повышенной трещиноватостью в зоне влияния разлома, вскрытой при бурении скважины, применяют такие методы, как нагнетание, откачка, а также контроль уровня в скважине при вариации приливных деформаций [Brixel et al., 2020a; 2020б; Brodsky, Prejean, 2005; Ma et al., 2019; Gao et al., 2020; Горбунова и др., 2021].
Особенно ценные результаты получаются при интервальном опробовании скважин с использованием пакеров и поэтапных нагнетаниях воды или воздуха в открытые интервалы [Кочарян и др., 2001; Brixel et al., 2020a; 2020б]. В числе наиболее ранних работ такого типа следует упомянуть исследования проницаемости массива до и после ядерного взрыва “Днепр”, проведенные сотрудниками Спецсектора ИФЗ РАН (ныне ИДГ РАН) [Спивак, 1980; Родионов и др., 1981; Родионов и др., 1986].
Данные, получаемые подобными методами, называют “объемной проницаемостью” или “проницаемостью объема” (bulk permeability). Уменьшение расстояния между пакерами позволяет получить достаточно достоверную картину распределения гидравлических свойств в зоне влияния разлома. В то же время, высокая степень локализации ядра разлома, как правило, не дает возможности оценить его свойства. Для этого приходится использовать, так называемые, “точечные измерения” (matrix permeability), когда свойства породы определяют по результатам лабораторных испытаний кернов, извлеченных из скважин. Точечные измерения используют и для определения свойств протолита. Достоинства и недостатки оценки проницаемости по керну, извлеченному при бурении глубоких скважин хорошо известны, см., например, [Zharikov et al., 2003; Ulusay, 2015; Тихоцкий и др., 2017]. Следует, в частности, иметь в виду, что результаты исследования кернов низкопроницаемых горных пород могут быть искажены из-за нелинейности фильтрационного потока [Барышников и др., 2022].
Таблица 2. Распределение участков с различной проницаемостью в массиве кварцитов [Кочарян, Спивак, 2003]
Проницаемость, Дарси | Суммарная длина участков, м | Относительная длина, % |
Нет водопроявлений | 6601 | 89.18 |
<0.01 | 80 | 1.08 |
0.01–0.1 | 368 | 4.97 |
0.1–1 | 314 | 4.24 |
>1 | 39 | 0.53 |
Доля высокопроницаемых участков в кристаллических породах, как правило, невелика. В монографии [Кочарян, Спивак, 2003] приводятся результаты анализа данных, полученных в 10 горизонтальных скважинах общей длиной 7402 м, пробуренных на глубине 200–300 м в массиве кварцитов (табл. 2). Как видно из приведенных данных, большая часть участков, где наблюдаются водопроявления, имеет проницаемость 0.01–1 Дарси. При этом участки с низкой проницаемостью (<0.1 Дарси) имеют, как правило, значительную протяженность и, вероятно, состоят, в свою очередь, из нескольких зон с более высокой проницаемостью выделить которые не позволяет точность измерений. Участки с проницаемостью свыше 0.1 Дарси имеют более выраженные границы и коррелируют с тектонически ослабленными зонами, определенными по результатам геофизических исследований, выполненных в скважинах.
Проницаемость отдельных участков массива вблизи тектонических узлов (пересечения разломных зон), по-видимому, может быть выше на несколько порядков. Об этом, в частности, свидетельствуют факты вскрытия при проходке штолен на глубине около 1000 м, субвертикальных веретенообразных полостей диаметром до 0.5–1.5 м, заполненных водой, приуроченных к тектоническим узлам. Судя по возникновению в результате горных работ, проседания осадочного чехла в окрестности тектонических узлов на поверхности массива, эти полости, вскрытые на глубине около 1000 м, могут представлять собой участки зон сверхвысокой проницаемости, имеющие связь с дневной поверхностью [Кочарян, Спивак, 2003].
Заслуживают внимания результаты недавних работ [Brixel et al., 2020a; 2020b], в которых проводились детальные измерения водопроводимости крупной разломной зоны, пересеченной горизонтальными скважинами на глубине около 500 м на испытательном полигоне Гримзель в Швейцарских Альпах. Особенность исследования заключалась в высокой детальности измерений именно в зоне повышенной трещиноватости в окрестности PSZ. Участки скважины длиной от 1 до 16 м отсекались пакерами и в них, практически мгновенно, давление жидкости увеличивалось до величины в несколько сот кПа. Всего было проведено 157 испытаний, из которых в 107 случаях длина интервала была менее 2.5 м, а в 67 – менее 1 м. Водопроводимость оценивалась по скорости снижения давления.
Рис. 1. Схема проведения измерений на двух разломных зонах в Швейцарских Альпах и примеры полученных результатов (по данным работы [Brixel et al., 2020a]): (а) – вид сверху на участок проведения наблюдений; AU и VE – горизонтальные выработки; скважины INJ1, INJ2 и др., пробуренные из камеры в тоннеле AU, пересекали разломные зоны S1 и S3. Синими отрезками показаны участки нагнетания давления между пакерами; (б) – изменение проницаемости массива в зависимости от расстояния до PSZ разломов S1 и S3.
На рис. 1 приведены схема измерений и построенный по данным работы [Brixel et al., 2020a] график изменения величины проницаемости среды в зависимости от расстояния до нескольких PSZ, пересекающих измерительные скважины. Проницаемость пересчитывалась по измеренной на каждом интервале величине водопроводимости. Как видно из данных рис. 1, даже на относительно небольшой глубине (∼500 м) проницаемость нарушенной зоны быстро снижается по мере удаления от ядра разлома, достигая фоновых значений уже на расстоянии около 3–5 м. Заметим, что удельная плотность трещин выходит на фоновые значения на этих же расстояниях.
Породы ядра разлома, как правило, имеют очень низкую проницаемость по сравнению с зоной влияния так, что зона скольжения служит своеобразным “барьером” на пути перетоков подземных флюидов. Зона повышенной трещиноватости, напротив имеет проницаемость существенно выше пород протолита и служит естественным резервуаром для накопления флюида.
В целом, картина повышения проницаемости в зоне влияния разлома по сравнению с протолитом и резкое ее снижение в ядре разлома, является типичной, см., например, врезку на рис. 2 [Sutherland et al., 2012].
Такая ситуация зачастую, приводит к аномалиям в распределении температуры и давления флюида. Так, например, при бурении через разлом “Альпина” (Новая Зеландия) было обнаружено, что центральная часть разлома является фактически непроницаемой [Janku-Capova et al., 2018]. Это приводит к активной циркуляции метеорных флюидов в висячем крыле (рис. 2), аномально высокому градиенту температуры – 12–15°C на 100 м глубины в окрестности основной зоны скольжения (среднее значение для региона составляет величину около 3°C/100 м) [Sutherland et al., 2012]. Подчеркнем, что схема, приведенная на рис. 2, носит, скорее, гипотетический характер, поскольку к моменту ее опубликования глубина бурения составляла всего лишь около 150 м. Детальнейшим образом структура этого разлома рассмотрена в более свежей работе [Schuck et al., 2020]. На отдельных участках температура порового флюида может превышать 200°С на глубине всего 1 км, а скорости перетока флюида составляют 10–6–10–7 м/с, что на 2–3 порядка выше региональных [Janku-Capova et al., 2018].
Широкое распространение получили методы косвенного изучения проницаемости, основанные на изучении геометрических характеристик порового пространства и измерения их по результатам исследования шлифов и полевого описания [Ustinov et al., 2022; Bense et al., 2013]. Геохимические и минералогические оценки палеопроницаемости пород позволяют реконструировать процесс эволюции разлома по наличию отдельных минералов и компонентов в пустотном пространстве. Например, высокое содержание глины в сочетании с жилами и открытыми трещинами может служить индикатором того, что в син- и постдеформационный этапы эволюции разлом выступал в роли проводяще-непроводящей структуры – глинка трения в ядре действует как барьер, открытые трещины зоны дробления действуют как каналы, зачастую преимущественно параллельно простиранию разлома [Caine et al., 1996].
В последнее время все шире применяются методы, основанные на регистрации и интерпретации отклика флюдонасыщенного коллектора на естественные возмущения. Эти методы значительно дешевле традиционных и особенно удобны при использовании для контроля долгосрочных изменений гидрогеологических характеристик разломных зон. Дополнительным преимуществом является то обстоятельство, что не происходит техногенного нарушения характеристик зоны разлома. В частности, данные прецизионного мониторинга уровня воды в скважине используются для оценки фильтрационных характеристик коллектора на основе анализа вариаций порового давления в скважинах под влиянием земных приливов [Brodsky, Prejean, 2005; Ma et al., 2019; Gao et al., 2020; Горбунова и др., 2021].
В недавней работе [He et al., 2023] выполнено детальное сравнение пассивных (приливных и барометрических) и традиционных методов мониторинга проницаемости разломных зон. Хотя тщательный анализ продемонстрировал некоторые различия в получаемых значениях по сравнению с традиционными гидрогеологическими испытаниями (отличие от результатов стандартных испытаний составило в среднем около 16% для приливного метода и около 6% для барометрического), сделан вывод, что реакция на естественные возмущения является достаточно надежным инструментом.
Ряд авторов полагает, что для оценки коэффициентов пьезопроводности или проницаемости могут быть использованы данные о миграции очагов землетрясений и скорости распространения фронта сейсмичности, индуцированной закачкой жидкости под давлением или облака афтершоков [Shapiro et al., 1997; Yamashita, Tsutsumi, 2018]. При этом чаcто используется сравнение скорости миграции гипоцентров с решением линейного уравнения диффузии жидкости. Предполагается также, что модель диффузии порового давления соответствует корреляции продолжительности предвестников землетрясений и масштаба зоны афтершоков [Николаевский, 1982; Scholz, 2019]. В монографии [Родкин, Рудквист, 2018] выполнен анализ миграции гипоцентров с использованием соотношения, связывающего скорость систематического перемещения очагов роя землетрясений V и проницаемость [Miller et al., 2004]:
, (1)
где: k – средняя проницаемость; ∆γ – разница в удельном весе вмещающих пород и флюида; η – динамическая вязкость; ϕ – пористость.
Значения пьезопроводности, определенные по скорости распространения облака очагов индуцированной сейсмичности на таких объектах, как инжекция флюида в скважине KTB, Германия, рои землетрясений в Mammoth Mountain (Калифорния), Hakone (Япония), Agios Ioanis (Греция) и др. находятся в диапазоне 0.1–1.5 м2/с [Yamashita, Tsutsumi, 2018].
Рис. 2. Схема разлома “Альпина” с предполагаемой циркуляцией флюида. На врезке показано изменение проницаемости (по работе [Sutherland et al., 2012]).
Ряд сейсмологических наблюдений демонстрируют концентрацию роевых землетрясений в тонких плоских зонах, по крайней мере на начальном этапе (см., например, [Yukutake et al., 2011; Hauksson et al., 2016; и др.]). Это может означать движение флюида преимущественно вдоль нарушенных зон существовующих разломов [Yamashita, Tsutsumi, 2018].
Необходимо отметить некоторую неоднозначность при оценках фильтрационных характеристик по скорости распространения облака афтершоков из-за того, что в соотношение, связывающее проницаемость и пьезопроводность, входят такие параметры, как вязкость, пористость и коэффициент сжимаемости. Так, например, К. Шольц с коллегами в работе [Scholz et al., 1973] и В.Н. Николаевский в работе [Николаевский, 1982], используя одно и то же значение коэффициента пропорциональности κ = 6 ⋅ 104 см2/с (пьезопроводность) в соотношении, связывающем характерный масштаб зоны очагов афтершоков L и продожительность предвестников θ:получили разные значения пористости ϕ, проницаемости k и упругоемкости B (см. таблицу 3).
Таблица 3. Значения констант в моделях в работе [Scholz et al., 1973] и работе [Николаевский, 1982]
k, Д | ϕ, % | Β, 1/атм | Ссылка на работу |
2 ⋅ 10–3 | 0.1 | 3.2 ⋅ 10–5 | [Scholz et al., 1973] |
1 | 1 | 10–3 | [Николаевский, 1982] |
Такое расхождение отражает концептуально разный подход. Если К. Шольц, согласно ДД модели выбрал значения для ненарушенного гранита, то В.Н. Николаевский предположил, что массив в окрестности разлома сильно трещиноватый.
ГИДРАВЛИЧЕСКИЕ СВОЙСТВА РАЗЛОМНЫХ ЗОН В ПРИПОВЕРХНОСТНОЙ ЧАСТИ КОРЫ
Вполне естественно, что гидравлические свойства пород и геологических структур, слагающих приповерхностную часть земной коры изучены наилучшим образом, по сравнению с более глубокими горизонтами [Шатунов, 2023]. Имеется значительный объем данных, полученных при бурении или при проходке подземных сооружений. Одна из последних опубликованных баз данных [Scibek, 2020] содержит сведения по матричной и объемной проницаемости как разломов, так и вмещающей породы, полученных на 521 объекте с использованием различных методов (откачек, нагнетаний, трассеров, приливного анализа и др.). Обобщенные значения проницаемости разломных зон и вмещающих пород, рассчитанные на основе данных [Scibek, 2020], приведены в табл. 4.
Таблица 4. Сводная таблица значений проницаемости разломных зон по данным работы [Scibek, 2020]
Проницаемость ядра разлома по керну | Объемная Проницаемость ядра разлома | Проницаемость в зоне влияния по керну | Объемная Проницаемость разломной зоны, включая FC и DZ | Проницаемость Протолита по керну | Проницаемость Протолита объемная | |
Количество измерений | 97 | 26 | 63 | 292 | 126 | 196 |
Среднее значение, м2 | 3.2 ⋅ 10–13 | 1.9 ⋅ 10–12 | 1.8 ⋅ 10–11 | 1.1 ⋅ 10–11 | 4.0 ⋅ 10–12 | 7.1 ⋅ 10–13 |
Min, м2 | 1.0 ⋅ 10–21 | 5.0 ⋅ 10–19 | 3.0 ⋅ 10–20 | 3.0 ⋅ 10–20 | 2.0 ⋅ 10–19 | 1.0 ⋅ 10–18 |
Max, м2 | 1.0 ⋅ 10–11 | 3.5 ⋅ 10–11 | 1.0 ⋅ 10–9 | 2.0 ⋅ 10–9 | 1.2 ⋅ 10–10 | 5.0 ⋅ 10–11 |
Как видно из приведенных данных, матричная проницаемость изменяется в огромном диапазоне как для ядра разлома, так и для кернов из зоны влияния и вмещающей породы.
Заметим, что разброс в 10 порядков величины характерен, в первую очередь, для значений, определенных на обнажениях и на глубинах в первые 500–1000 м. Средняя величина объемной проницаемости зоны влияния, по крайней мере, на 1–2 порядка выше, чем у ядра разлома и вмещающей породы.
Имеется множество работ по исследованию проницаемости глинки трения в лабораторных условиях, например [Evans et al., 1997; Moon et al., 2022]. Как отмечалось выше, к этим данным надо относиться с осторожностью. Сравнение лабораторных и натурных измерений проницаемости глинки трения проведено в работе [Matsumoto, Shigematsu, 2018].
Рис. 3. Зависимость объемной проницаемости ядра разлома (а) и разломной зоны в целом (б) от объемной проницаемости вмещающей породы (по данным работы [Scibek, 2020]).
На рис. 3 приведены зависимости объемной проницаемости ядра разлома (слева) и разломной зоны в целом от объемной проницаемости вмещающей породы. Несмотря на значительный разброс, вполне очевидно прослеживается рост проницаемости элементов разломной зоны в соответствии с ростом проницаемости вмещающих пород. Заметим, что хотя рис. 3 демонстрирует унаследованность значений проницаемости материала ядра разлома от величин проницаемости соответствующего протолита, но эта унаследованность неполная, изменения проницаемости протолита составляют 11 порядков, а диапазон изменения проницаемости ядра разломной зоны намного меньше – 7–8 порядков. Проницаемость является наиболее изменчивой характеристикой вещества (до 10 порядков величины!), и, по-видимому, обусловлена структурным фактором в большей степени, чем составом вещества (что, в том числе обусловливает возможность аномальной изменчивости проницаемости во времени).
Рис. 4. Распределение проницаемости, полученное объемным методом для разломных зон целиком (Fault zone bulk permeability), в зависимости, от их глубины залегания с классификацией по петрографическому составу (по данным работы [Scibek, 2020]).
Тем не менее, вещественный состав оказывает существенное влияние на величину проницаемости. Например, в приповерхностных условиях карбонатные породы (известняки, мергели) будут демонстрировать хрупкий характер разрушения, тогда как глинистые породы – пластичный, что отражается на формировании новых пустот, в первом случае трещин. На рис. 4 приведены значения объемной проницаемости для разломных зон (без выделения отдельных элементов) в различных массивах горных пород.
При проведении сравнения проницаемости пород, залегающих в приповерхностных условиях, выделяются два облака точек, характерных для глинистых и для карбонатных пород. Значения проницаемости глинистых пород группируются в интервале от 10–20 до 10–12 м2, тогда как характерные значения для проницаемости карбонатных пород варьируются в интервале от 10–14 до 10–8 м2.
Значения характерные для интрузивных пород также имеют довольно большой разброс от 10–18 до 10–8 м2. Величины, полученные при исследовании разломных зон в эффузивных породах, группируются несколько по иному, а минимальные значения их проницаемости достигают 10–15 м2.
Рис. 5. Гистограммы распределения логарифма объемной проницаемости разломных зон для нескольких интервалов глубин: (а) – 0–1000 м (N = 183); (б) – 1000–2500 м (N = 84); (в) – 2500–9065 м (N = 23) (по данным работы [Scibek, 2020]).
На рис. 5 приведены гистограммы распределения объемной проницаемости разломных зон для нескольких интервалов глубин. Если для глубин менее 2500 м наиболее вероятное значение проницаемости лежит в диапазоне 0.01–1 Д, то на более глубоких горизонтах равновероятны значения от 10–6 до 1 Д. При этом исчезают области высокой проницаемости с k > 1 Д, которые довольно часто встречаются на малых глубинах.
СВЕДЕНИЯ О ГИДРОГЕОЛОГИИ РАЗЛОМНЫХ ЗОН НА СЕЙСМОГЕННЫХ ГЛУБИНАХ
В отличие от приповерхностной части коры, где значительная часть данных получена прямыми методами, сведения о гидравлических характеристиках разломных зон на сейсмогенных глубинах лишь в редких случаях имеют экспериментальное подтверждение. Большая часть таких сведений получается при петрографическом изучении материалов, отобранных в зонах скольжения палеоразломов, поднятых в результате эксгумации при тектонических и денудационных процессах.
В серии работ В.В. Ружича с коллегами [Ружич, Кочарян, 2017; Ружич и др., 2018а; 2018б] получены сведения о строении, возрасте и возникновении сейсмогенных разрывов в пределах Приморского сегмента коллизионного шва на окраине Сибирского кратона при термодинамических условиях, соответствующих эпидот‐амфиболитовой и зеленосланцевой фациям регионального метаморфизма на глубинах эксгумации 12–18 км. Собранные данные позволили сделать заключение о времени возникновения древних сейсмогенных подвижек в глубоко денудированном участке шва, порядка 673 млн лет назад (по турмалину) и 415 млн лет (по мусковиту).
Результаты изучения шлифов, концентрации флюида и изменение характера его размещения позволяют предполагать реализацию того или иного режима деформирования [Родкин, Рундквист, 2018].
Даже бурение рекордно глубоких скважин не позволяет пока выйти на глубинные, активные в настоящее время зоны пластической деформации, расположение которых ограничено температурой начала пластичноcти кварца [Scholz, 2019]. Тем не менее, по результатам бурения Кольской сверхглубокой скважины и скважины КТВ (Германия) [Кольская…, 1984; 1998; Huenges et al., 1997; Smithson et al., 2000; Zharikov et al., 2003] удалось получить ряд важных результатов.
В контексте рассматриваемой темы отметим следующее. Был выявлен ряд аномальных механически нарушенных и высокопроницаемых слоев, ассоциирующихся с возможными глубинными сдвиговыми зонами. Как правило, эти слои отличаются повышенной флюидонасыщенностью. Развитие механических нарушений (трещиноватости) обнаружилось до больших глубин, чем это предполагалось ранее. Перетоки флюида наблюдались вплоть до самых глубоких пробуренных горизонтов [Родкин, Рундквист, 2018].
Сейсмические исследования демонстрируют наличие в литосфере субгоризонтальных слоев пониженных скоростей распространения сейсмических волн, для которых характерна повышенная концентрация очагов землетрясений [Николаевский, 1982; Киссин, 2006; Павленкова, 2006; и др.]. Горизонты выполаживания аномальных сейсмических зон зафиксированы в широком диапазоне глубин – от нескольких до более 80 км. Как отмечают авторы работы [Родкин, Рундквист, 2018], объяснение генезиса аномальных зон литосферы существованием обводненных зон [Киссин, 2006; и многие другие] “встречает серьезные затруднения”. Дело в том, что измеренные аномалии скоростей сейсмических волн оказываются заметно выше значений, ожидаемых в соответствии с петрологическими и томографическими данными о концентрации флюидов (чаще всего ∼1%) [Родкин, 1993; и др.]. Хорошо известно, что глубинные разломы выявляются в сейсмическом разрезе как слоистые зоны с контрастными упругими свойствами часто субвертикальные в верхней части разреза и выполаживающиеся с увеличением глубины. Причем этом выполаживание происходит на самых разных глубинах – от первых километров, до десятков километров [Павленкова, 2006].
Древние зоны нарушений, предположительно возникшие в период активного протекания метаморфических процессов, сохраняют некоторые свои аномальные свойства в течение длительного интервала времени, уже при невысоких температурах [Ружич и др., 2018а; Родкин, Рундквист, 2018].
Типична ситуация, когда милонитовая зона мощностью в сотни метров или даже в первые километры включает в себя узкий хрупкий разлом [Родкин, Рундквист, 2018; Norris, Cooper, 2003; Schuck et al., 2020; и др.], исторически наследующий характер деформации глубинной сдвиговой зоны. Зоны псевдохрупкого разрушения, если они в самом деле существуют на большой глубине, могут иметь важные последствия как с точки зрения гидрогеологии разломных зон, так и для механики очага землетрясения [Yang, Dunham, 2023].
В пользу существования таких “тонких хрупких разломов” свидетельствует и детальный анализ результатов лабораторных экспериментов последних лет [Кочарян, Батухтин, 2018]. Анализ показал, что следует существенно расширить диапазон P-T-условий, в которых может иметь место квазихрупкое разрушение. Так, динамические сдвиги в условиях скоростного разупрочнения в кальцитовом gouge могут происходить при столь высоких температурах, как 550°C. Более того, исследования шлифов образцов, которые продемонстрировали хрупкий фрикционный механизм разрушения, показали характерную милонитическую микроструктуру (удлинение зерен, выровненные удлиненные порфирокласты, перекресталлизация) [Verbenne et al., 2015]. При сдвиге в лаборатории слоя мафической породы в диапазоне очень высоких температур и давлений (T ∼600–800°C, обжимающее давление 0.5 ГПа ≤ Pc ≤ 1.5 ГПа) был исследован переход от преимущественно хрупкой (T ∼600°С) до преимущественно вязкой (T ∼800°С) деформации. Исследования шлифов на микро- и наноуровне позволили авторам установить микроструктурные детали этого перехода, который происходил не только в результате увеличения температуры, но также и вследствие микроструктурной эволюции. В процессе перехода от 600 к 800°С в экспериментах наблюдался смешанный – как хрупкий, так и вязкий механический отклик [Marti et al., 2017].
Авторы работы [Pec et al., 2016] показали, что наличие кварца в гранитоидах разлома обеспечивает локальное нарастание высоких напряжений, которые затем вызывают измельчение и разрушение кристаллической решетки в минералах с более слабыми атомными связями (полевые шпаты, и слюды) и образование нанокристаллического, частично аморфного материала (PAM) по которому может происходить скольжение. Сеть участков PAM, т.е. зон скольжения, быстро развивается по мере роста напряжений и постепенно становится связанной, формируя единую зону. При этом, по мнению авторов, и аморфный материал (АМ) и РАМ образовались не путем плавления, а скорее путем твердотельной аморфизации. Зоны скольжения (состоящие из PAM и AM) механически слабее, чем исходные породы разлома, о чем свидетельствует структура течения и инъекционных жил.
Механическое поведение разломной зоны в диапазоне высоких температур и давлений является сложным. В то время как слой породы в целом демонстрирует пластическое течение, сеть зон скольжения продолжает развиваться, пронизывая зону сдвига, иногда достигая 20% ее объема или более. Авторы работы [Pec et al., 2016] обсуждают два возможных механизма квазихрупкого разрушения при высоких давлениях и температурах. В первом зоны скольжения образуют пронизывающую слой милонитизированной породы зону ослабления. Во втором высокая концентрация напряжений на границе раздела между зоной проскальзывания и вмещающей породой вызывает разрушение разлома хрупкой трещиной. Таким образом PAM / AM зоны скольжения могут служить участками нуклеации землетрясения в широком диапазоне P-T-условий, где обычное фрикционное скольжение маловероятно. Хрупкое разрушение может произойти, в том числе, и после длительных периодов медленного крипа. Следствия такого хрупкого разрушения будут обсуждены ниже.
РОЛЬ ФЛЮИДОВ НА РАЗНЫХ СТАДИЯХ СЕЙСМИЧЕСКОГО ПРОЦЕССА
Связь флюидов с режимом деформирования разломных зон подразумевалась, начиная с ранних попыток построения моделей очага землетрясения, на основе закона Терцаги изменения эффективных напряжений. Согласно последнему, давление жидкости p оказывает дополнительное сопротивление силам, сжимающим участок массива, что изменяет соотношение между нормальными и касательными напряжениями на плоскости скольжения. Это легко учесть введением “эффективных” напряжений
(2)
где – символ Кронеккера.
В классической формулировке закона Терцаги предполагается, что σ и p – независимы, однако они могут быть связаны через процесс деформирования среды. Из-за изменения пустотности материала в процессе деформирования (дилатансия/компакция) происходит изменение (соответственно снижение/увеличение) порового давления. Если скорость изменения объема порового пространства велика, то приток / отток флюида не успевает компенсировать эффект изменения объема (скорость массопереноса определяется проницаемостью породы) и происходит дилатансионное упрочнение/разупрочнение материала. Развитием представлений о взаимосвязи порового давления и разрушения горной породы явилась известная дилатантно-диффузионная модель очага землетрясения [Scholz et al., 1973].
Вторым аспектом являются механо-химические эффекты, изменяющие параметры фрикционного взаимодействия, прочность материала и скорость роста микротрещин (эффект Ребиндера, стресс-коррозия). В лабораторных экспериментах внедрение воды в образец без существенного увеличения порового давления вызвало сложную активизацию процесса разрушения, в том числе, с образованием макротрещины [Соболев, Пономарев, 2011; Смирнов, Пономарев, 2020]. Опыты с инициацией разрушения в образцах горных пород флюидами различной вязкости позволили выявить ряд особенностей при скачкообразном и плавном изменении порового давления [Карцева и др., 2022]. На скорость фильтрации значимое влияние оказывало также воздействие постоянного электрического тока [Соболев и др., 2020].
В целом, водонасыщенность слабо влияет на прочность силикатных заполнителей (кварц, альбит); может иметь разное влияние на глинку трения, состоящую из листовых минералов (например, 30% ослабления для каолинита, против 0% ослабления для графита) и имеет значительный ослабляющий эффект для листовых силикатных серпентинитов (например, антигорит 39%, лизардит 51%, хризотил 64%). По мнению авторов работы [Morrow et al., 2000] это связано с тем, что листовая структура минералов имеет заряженные поверхности, которые адсорбируют воду, ослабляя фрикционное сопротивление между частицами.
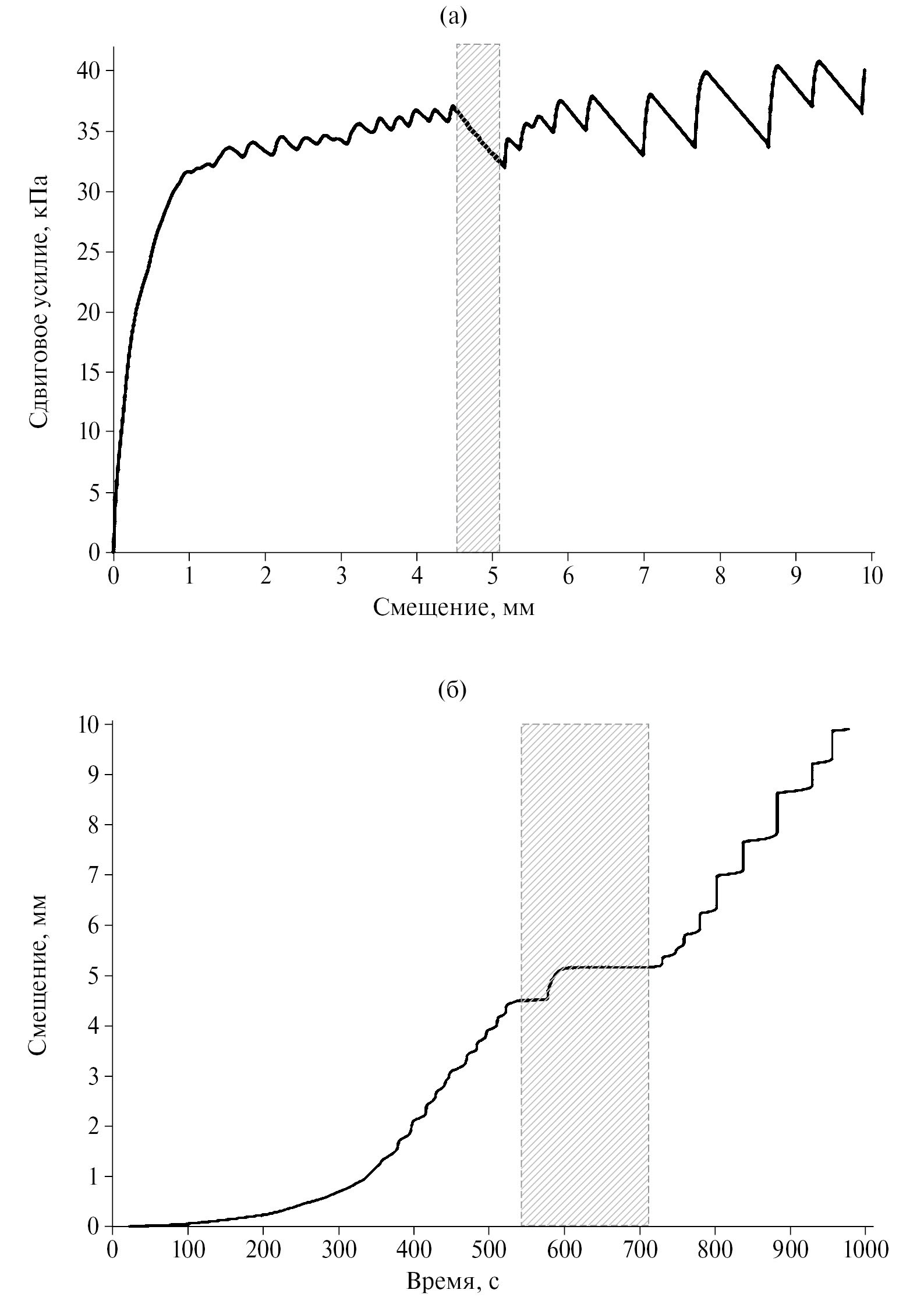
Рис. 6. Пример изменения параметров скольжения в результате обводнения межблокового контакта. Заполнитель смесь кварцевого песка (95%) и гидрослюды (5%): (а) – кривая нагружения межблокового контакта; (б) – изменение относительного смещения блоков от времени. Интервал инжекции воды в зону межблокового контакта отмечен серой областью.
На рис. 6 приведен пример изменения режима скольжения в результате инжекции воды в промежуток между шероховатыми блоками оргстекла, заполненный смесью кварцевого песка (95%) и гидрослюдистой глины. Эксперименты проводились на установке “Слайдер” ИДГ РАН. Методика детально описана во многих публикациях (см., например, [Кочарян и др., 2017]).
Поскольку в используемой постановке опыта поровое давление не меняется, то наблюдаемые эффекты связаны исключительно с изменением фрикционых свойств материала – заполнителя. В примере на рис. 6 обводнение привело к увеличению амплитуды динамического сдвига и величины сброшенных напряжений за акт проскальзывания. При этом эффект зависит как от процентного содержания глины в кварцевом песке, так и от вида глины. Для гидрослюдистых глин и каолинита эффект межзернового упрочнения при добавлении флюида оказывается сильнее, чем рост сопротивления сдвигу, что в совокупности приводит к увеличению амплитуды смещения при обводнении среды. Обводнение смеси, содержащей бентонитовую глину, резко увеличивает эффективную вязкость заполнителя, что приводит к подавлению прерывистого скольжения.
Одной из главных причин снижения фрикционной прочности геоматериалов, слагающих зоны сместителя, часто связано с присутствием адсорбированной или межслоевой воды. Коэффициент трения для насыщенных и ненасыщенных минералов был исследован в ряде работ [Morrow et al., 2000; и др.] (подробнее см. в работе [Кочарян и др., 2023]).
Повышение порового давления, снижая эффективное нормальное напряжение, является одним из способов инициирования динамической подвижки по разлому при относительно низком сдвиговом напряжении [Николаевский, 1982; Scholz, 2019; Simpson, 2018; и др.].
Важно разграничить влияние флюидов на разных стадиях сейсмического цикла. Упоминается целый ряд механизмов, которые могут способствовать увеличению давления флюидов в межсейсмический период на сейсмогенных глубинах – высвобождение флюидов в результате реакции дегидратации [Родкин 1993; Родкин, Рундквист, 2018; Leclère et al., 2018; и др.] и охлаждения магмы [Marguin, Simpson, 2023], подъем образовавшегося флюида к поверхности из-за низкой плотности и т.д. Одновременно с этим закрытие пор и трещин при уплотнении породы снижает проницаемость, препятствуя выходу жидкости и увеличивая поровое давление [Киссин, 2006; 2015; Sibson 2017; и др.]. Так, например, при бурении Кольской сверхглубокой скважины (12 261 м), на глубинах свыше 4.5 км наблюдалось высокое, близкое к литостатическому, давление воды, источником которой являлась метаморфическая дегидратация минералов. Давление флюида, измеренное в скважинах внутри активно деформирующейся коры (измерения, выполненные в сейсмически активной коре, такой как складчато-надвиговый пояс Западного Тайваня, и широкая полоса к востоку от разлома Сан-Андреас в центральной Калифорнии) отклоняется от начального гидростатического градиента до значений ∼0.9 литостатического давления в диапазоне глубин от 2 до 5 км [Sibson, 1992]. В то же время измерения в сверхглубокой скважине KTB, пробуренной в Германии до глубины 9101 м, дают величину порового давления близкую к гидростатическому [Grawinkel, Stockhert, 1997]. Нельзя исключить, что различия, которые наблюдались в сверхглубоких скважинах могут быть обусловлены и отличиями в тепловом режиме.
В настоящее время господствуют представления, что увеличению избыточного давления флюидов в верхней коре противодействуют более быстрые механические процессы, связанные с возникновением хрупкого разрушения, дилатансией и ростом проницаемости [Miller, Nur, 2000; Segall, Rice,1995; и др.]. Очевидно, что на разных стадиях сейсмического цикла и в разных частях разломной зоны роль таких изменений будет различна.
Судя по описанным выше результатам обследования разломов с высокой степенью локализации деформаций ([Кочарян, 2016; 2021] и ссылки там) основные параметры зоны трещиноватости формируются на стадии образования разлома (условно первый сейсмический цикл). На начальной стадии развития разлома происходит распространение отдельных локальных трещин. Высокие напряжения в окрестности носика каждого распространяющегося разрыва приводят к образованию ослаблений. Ориентация макротрещин в окрестности конца разлома может иметь очень сложную геометрию, включая структуры расщепления типа “конского хвоста”, бифуркации, эшелонов трещин, трещинных “крылышек” и др. [Семинский, 2003]. В дальнейшем объединение и пересечение отдельных трещин формирует довольно обширную зону трещиноватости с высокой проницаемостью относительно протолита. “Взаимодействие” магистральных трещин может происходить через зоны распределенных катакластических деформаций без ясных следов единого разрыва в последних. Такие сублинейные конгломераты отдельных магистральных трещин и участков гетерогенной трещиноватости постепенно формируют единую магистральную зону разлома. При этом, судя по результатам расчетов и данным полевых наблюдений, при объединении магистральных трещин через зону распределенных деформаций локализация подвижки остается весьма высокой [Кочарян, 2016]. По данным работы [Chester, Chester, 1998] на одном из участков разлома Punchbowl fault (США) из 10 км сдвига лишь 100 м локализовано в зоне трещиноватости мощностью около 100 м, а все остальное смещение произошло внутри узкого ультракатаклазитового ядра. На этой стадии формирования зоны влияния разлома (damage zone), по-видимому, и происходят процессы, описываемые дилатантно-диффузионной моделью [Scholz et al., 1973] – снижение порового давления из-за роста пустотности, заполнение образовавшихся трещин водой и постепенное повышение давления.
После формирования единой магистральной области увеличение величины относительного смещения бортов разлома в основном связано с многократно повторяющимися землетрясениями. Динамические подвижки “подновляют” уже существующую трещиноватость, образуя минимальное количество новых трещин. О таком сценарии развития событий, в частости, свидетельствуют результаты численных расчетов, приведенные в работе [Будков, Кочарян, 2024].
Поскольку массив горных пород является сложно структурированной дискретной средой, почти невозможно определить, как именно изменятся свойства массива при превышении какого-либо критерия прочности геоматериала. Отличительной особенностью подхода, примененного в работах [Будков и др., 2023; Будков, Кочарян, 2024], является нормировка результатов расчетов экспериментальными данными (скорость распространения сейсмических волн, проницаемость, плотность трещин и т.д.), полученными при обследовании массивов горных пород до и после проведения подземных ядерных взрывов [Кочарян, Спивак, 2003]. Массивы пород, в которых проводились мощные подземные взрывы, являются, по-видимому, наиболее изученными объектами в плане сопоставления интенсивности воздействия и изменения свойств, как геоматериала, так и различных областей массива. В этой связи данные, приведенные в работе [Кочарян, Спивак, 2003] были выбраны как эталон для того, чтобы поставить в соответствие рассчитываемой величине деформаций соответствующую степень нарушенности массива (изменения характеристик).
В качестве характеристики, нормируемой на экспериментальные данные, в работах [Будков и др., 2023; Будков, Кочарян, 2024] использовалась интенсивность сдвига S – величина, пропорциональная корню квадратному из второго инварианта девиатора деформации [Качанов, 1969]:
, (3)
где e1, e2, e3 – главные компоненты тензора деформаций.
Этот параметр удобно использовать для оценки геометрии и механических характеристик зон материала, нарушенного в результате динамического воздействия. Хотя представление о линиях равного сдвига как об изолиниях одинаковой механической нарушенности является весьма приближенным, распределение величины S дает представление об относительном расположении в пространстве материала, деформированного в большей или меньшей степени.
Совместный анализ пространственных распределений величины интенсивности сдвига S в центральной зоне подземного взрыва и в окрестности распространяющегося разрыва, проведенный в работе [Будков, Кочарян, 2024], позволил оценить степень повреждения массива в окрестности разлома землетрясения. Путем сравнения результатов численного расчета и экспериментальных данных в работе [Будков, Кочарян, 2024] выведены соотношения, связывающие поствзрывные характеристики массива скальных пород (скорость распространения продольных волн, нормированная на начальное значение dCp/Cp0, средняя плотность трещин и проницаемость с достигнутой величиной интенсивности сдвига S. Далее полученные соотношения использованы для оценки изменения свойств массива горных пород в результате распространения сейсмогенного разрыва.
Рис. 7. Результаты расчета распространения сейсмогенного разрыва по границе между двумя однородными блоками: (а) – пространственное распределение максимальной достигнутой величины интенсивности сдвига S (показана цветом) в момент времени 235 мс для распространения разрыва по границе однородных блоков; (б) – изменение интенсивности сдвига (1) и характеристик массива – проницаемости (2), скорости распространения продольных волн (3), удельной трещиноватости (4) в сечении, перпендикулярном плоскости контакта на расстоянии х = 700 м от точки инициирования разрыва по работе [Будков, Кочарян, 2024].
На рис. 7а приведен пример расчитанного пространственного распределения максимальной достигнутой величины интенсивности сдвига в момент времени 235 мс для распространения разрыва по границе однородных блоков. Сопротивление сдвигу по границе между блоками (плоскость y = 0) задается в виде трения с разупрочнением. Асимметрия относительно плоскости интерфейса является следствием зависимости предела прочности породы от давления. Подробное описание используемой модели и метода расчета приведено в работе [Будков, Кочарян, 2024].
Можно видеть, что размер зоны разрушения породы увеличивается по мере распространения разрыва. Это происходит из-за постепенного роста величины модуля вектора скорости смещения грунта по мере распространения разрыва. На расстоянии Δx ∼600–700 м от точки инициирования разрыва параметры движения и, соответственно, размер зоны разрушения стабилизируются.
На рис. 7б черной линией показана зависимость интенсивности сдвига от расстояния до разрыва в перпендикулярном плоскости разлома сечении на расстоянии x = 700 м от точки старта разрыва. На этом же рисунке показаны рассчитанные характеристики нарушенности массива – изменение скорости распространения продольных волн dCp/Cp, проницаемости k/k0 и приращение количества трещин ΔN. Немонотонность расчетной зависимости S(y) в области от 10 до 100 м обусловлена сложным процессом интерференции поперечных волн, излученных на разных стадиях формирования разрыва.
Как видно из результатов расчета, влияние динамического сдвига по разлому на нарушенность массива оказывается не столь сильным, как предполагается в некоторых моделях развития разрыва, согласно которым проницаемость увеличивается на много порядков [Marguin, Simpson, 2023]. Изменение скорости продольных волн в окрестности разрыва достигает величины ∼35%, проницаемость возрастает примерно втрое, а приращение степени трещиноватости оказывается практически незаметным. Это означает, что изменения свойств массива происходит за счет раскрытия ранее существовавших трещин, а свойства собственно геоматериала остаются практически неизменными.
В той же работе проведены расчеты процесса распространения разрыва по контакту блоков с зоной ослабленной породы, что моделировало “повторное землетрясение”. Зона ослабления была сформирована пятью горизонтальными слоями породы с разными физико-механическими характеристиками с каждой стороны от границы раздела. Наличие ослабленной зоны приводит к усложнению картины деформирования из-за многократных переотражений излучаемой волны от границ слоев. Это приводит к более неравномерному пространственному распределению интенсивности сдвига, при небольшом возрастании средней величины S, что не приводит к значительным изменениям свойств массива по сравнению с расчетом для однородных блоков. Таким образом, повторные подвижки не изменяют радикально характерные размеры зоны поврежденного материала и его свойства. Динамические разрывы лишь подновляют существующую трещиноватость. Этот процесс происходит в конкурентной борьбе с геотермальным залечиванием.
Вклад разрушения отрывом на небольших глубинах может быть довольно существенным, однако на сейсмогенных глубинах он в значительной степени подавляется литостатическим давлением. Это следует как из результатов расчета, так и из опыта проведения подземных взрывов на большой глубине [Адушкин, Спивак, 2007].
Рис. 8. Иллюстрация к схеме “fault–valve” при распространении зоны разрыва вверх от резервуара с избыточным давлением (по работе [Cox, Munroe, 2016]): (а) – положение разрыва во время t₁. Зона разрыва (вертикальная черная линия) полностью находится в зоне низкой проницаемости. Пути жидкости указаны стрелками; (б) – в момент времени t₂ зона разрыва распространилась вверх в область, с высокой проницаемостью (высокое k) и областью давления, близкого к гидростатическому; (в) – изменение давления жидкости с глубиной в зоне разрыва.
В то же время, существует ряд известных моделей, согласно которым на некотором этапе эволюции в зоне разлома может “открываться” канал с чрезвычайно большой проницаемостью. Большая их часть основана на, так называемой, схеме “fault–valve”, предложенной в работах [Sibson 1990; 1992]. Этот механизм связан, во-первых, с вероятным, как отмечалось выше, сверхгидростатическим уровнем давления флюида в нижней части сейсмогенной зоны, а во-вторых, с резким увеличением проницаемости в результате/в процессе распространения разрыва. Сторонники данной схемы подчеркивают, что “...фрактальный характер шероховатости разломов имеет неизбежные последствия: зоны разрыва должны стать высоко проницаемыми сразу после разрушения” [Sibson, 1992].
Согласно схеме “fault–valve” разрывы пересекают слабопроницаемые области, создавая проницаемые трещины в зоне разлома и обладают способностью действовать как клапаны, способствующие разгрузке вверх из частей коры с избыточным давлением флюида и локальному возврату к гидростатическому градиенту, прежде чем произойдет повторное запечатывание за счет гидротермальных процессов осаждения [Sibson, 1992].
Иллюстрация к схеме “fault–valve”, приведенная в работе [Cox, Munroe, 2016], показана на рис. 8. На ранних стадиях развития (время t1) разрыв находится в породах с низкой проницаемостью, и в зоне разлома может поддерживаться относительно высокое поровое давление. Однако, когда зона разрыва распространяется в область с давлением, близким к гидростатическому, и с высокой проницаемостью, происходит существенное падение давления жидкости (время t2), что может привести к остановке разрыва. В межсейсмический период трещины “залечиваются” и низкий уровень проницаемости восстанавливается – “клапан закрывается”.
В настоящее время схема “fault–valve” широко используется при построении численных моделей. Так, например, в работе [Marguin, Simpson, 2023] рассматривается модель, согласно которой эффективная проницаемость разломной зоны на косейсмической стадии почти мгновенно увеличивается с 10–19 до 10–8 м2, что может быть связано только с раскрытием зияющей трещины. Время восстановления проницаемости, заложенное в модель, составляет несколько десятков лет.
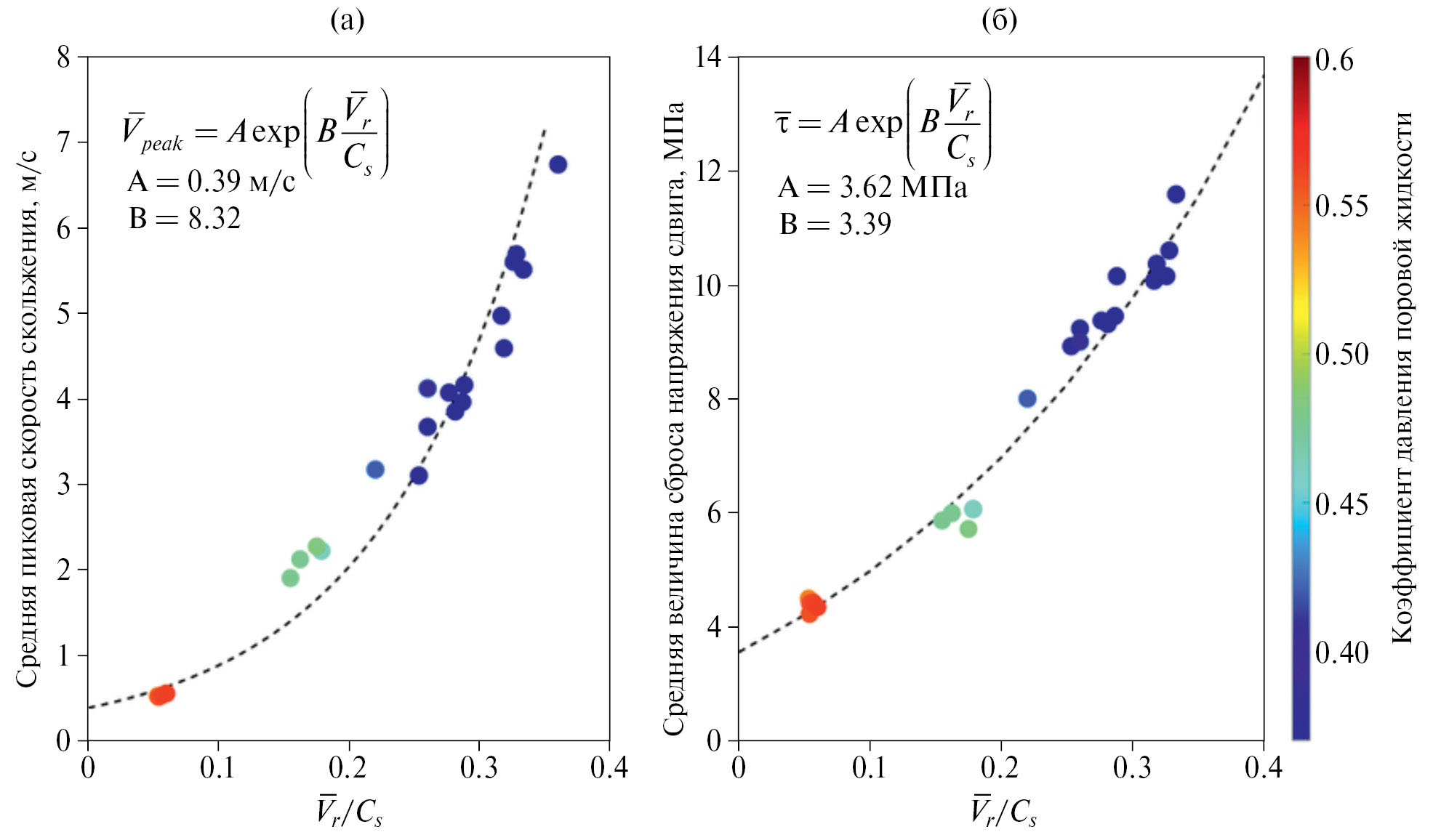
Полученные в работе [Marguin, Simpson, 2023] результаты показывают, что средняя пиковая скорость скольжения, скорость разрыва, величина сброса напряжений и рекуррентное время систематически уменьшаются с ростом величины избыточного давления жидкости в начальный момент образования разрыва (см. рис. 9).
Рис. 9. (а) – Средняя пиковая скорость скольжения как функция отношения средней скорости разрыва и скорости поперечной волны (Cₛ); (б) – средняя величина сброса напряжения сдвига как функция отношения средней скорости разрыва к скорости поперечной волны. Цвет значков соответствует шкале в правой части рисунка, которая представляет коэффициент давления поровой жидкости λ (перед началом разрыва), определяемый как отношение давления жидкости к вертикальному напряжению (по работе [Marguin, Simpson, 2023]).
В вариантах расчета с относительно высокими скоростями поступления жидкости за счет дегидратации, авторы наблюдали события медленного скольжения (Slow Slip Events) со скоростью скольжения ∼10–7 м/с и длительностью порядка года, которые предшествовали “нормальным” быстрым землетрясениям [Marguin, Simpson, 2023].
Образование открытых трещин в окрестности разрыва представляется, все же, крайне маловероятным событием тем более, что при бурении зон сейсмогенных разломов, в том числе через непродолжительное время после сейсмогенной подвижки, ни в одном случае не было обнаружено крупных трещин [Кочарян, 2021]. Даже при беспрецедентно большой амплитуде подвижки около 50 м (землетрясение Тохоку, М 9.0, 2011 г.) по результатам бурения не было выявлено крупных трещин в окрестности обнаруженной вероятной зоны локализации косейсмического смещения [Chester et al., 2013].
Хотя уже несколько десятилетий известно, что уплотнение или дилатансия зоны скольжения может вызвать значительное снижение или увеличение фрикционной прочности за счет резкого изменения давления флюида, содержащегося в разломах, в действительности до сих пор нет детального понимания условий, которые приводят к дилатансии или компакции во время зарождения или распространения разрыва. Остается до конца неясным, как будет эволюционировать проницаемость нарушений сплошности разных типов во время скольжения и как проницаемость связана с механическими характеристиками трещины [Proctor et al., 2020]. Даже в условиях лаборатории довольно мало прямых измерений дилатансионного упрочнения, ослабления уплотнения или других явлений, которые влияют на поровое давление во время зарождения разрыва или падения динамического напряжения в условиях, соответствующих природным. Например, авторы работы [Samuelson et al., 2009] исследовали дилатансию и уплотнение модельного разлома в процессе ступенчатого изменения скорости смещения в условиях полностью дренированного слоя gouge. Эти эксперименты продемонстрировали, что эффект дилатансии сильно зависит от скорости деформации, но не изменяется в диапазоне эффективных нормальных напряжений от 0.8 до 20 МПа [Samuelson et al., 2009]. В работе [Lockner, Byerlee, 1994], напротив, исследованы изменения порового давления в полностью недренированном разломе (постоянная масса жидкости).
Эффект дилатансии при высоком нормальном давлении сильно зависит от структуры сдвигаемой области. Эксперименты [Teufel, 1981] показывают увеличение дилатансии с ростом нормального напряжения, связанное с образованием и распространением новых трещин, как источника разуплотнения, в то же время высокие нормальные напряжения при сдвиге отдельной трещины могут полностью подавить эффект дилатансии [Кочарян и др., 2013; Goodman, 1976].
Проницаемость собственно зоны скольжения может как увеличиваться во время сдвига (обычно при высокой начальной шероховатости контакта скальных поверхностей), так и снижаться (обычно при относительно гладкой исходной геометрии контакта) [Giwelli et al., 2016]. В работе [Ishibashi et al., 2018] проводились лабораторные эксперименты с гладкими трещинами (шероховатость определялась обработкой абразивом № 60 – 423 мкм в образцах гранита Вестерли). Особенность экспериментов состояла в прецизионном контроле скорости сдвига в процессе измерения проницаемости. Результаты продемонстрировали рост проницаемости при Velocity Weakening (потенциально нестабильном скольжении). Авторы предполагают, что изменение проницаемости связано либо с изменением распределения контактов неровностей, либо с дилатансией трещины при сдвиге.
Разрушение неровностей, образование фрикционной глинки трения (gouge) в результате износа являются ключевыми факторами в эволюции проницаемости трещин. Ранние измерения дилатансии в гранулированных материалах были сосредоточены на материалах, богатых кварцем. В недавней работе [Ashman, Faulkner, 2023] проведено детальное исследование свойств gouges, богатых глиной. Результаты показали, что состав глинки трения является важным фактором, влияющим на величину дилатансии. Интересно, что максимальное значение коэффициента дилатансии наблюдается не в кварцевых gouges, а в кварц-глинистых смесях с массовым содержанием глины 10–40%.
С другой стороны, авторы работы [Yamashita, Tsutsumi, 2018] отмечают, что проницаемость слоев богатых глинистыми минералами снижается с увеличением смещения разломов в результате “наведенной сдвигом компакции”, что может привести к динамическому росту порового давления, а следовательно к снижению эффективной прочности разлома в процессе сдвига.
Критическое влияние скорости скольжения на дренирование/гидравлическую изоляцию PSZ отмечают авторы работы [Parez et al., 2023] на основе результатов численного моделирования порового давления внутри зернистого слоя. Проведенное численное моделирование динамического разрушения разлома с неупругой деформацией gouge, позволило авторам работы [Hirakawa, Ma, 2016] предложить модель, согласно которой большая концентрация напряжения сдвига перед фронтом разрушения приводит к уплотнению глинки трения (например, за счет структурного разрушения и измельчения). Уплотнение увеличивает поровое давление и снижает статическое трение. Вскоре после прохождения фронта разрыва расширение gouges в процессе скольжения быстро снижает избыточное давление жидкости, возникшее во время уплотнения перед разрывом, и восстанавливает прочность разлома, способствуя остановке разрыва.
В недавней работе [Yao et al., 2023] смоделирован эффект повышения давления в результате нагрева в ходе динамической подвижки со скоростью около 2 м/с. После достижения амплитуды перемещения около 1.5 м, авторы зарегистрировали резкое снижение прочности контакта образцов долерита вплоть до практически нулевого трения, совпадающее по времени с резким скачком давления порового флюида, связанным с термальным расширением последнего. При этом фиксируется экспоненциальное снижение сопротивления сдвигу.
Важную роль играет соотношение проницаемостей зоны скольжения (PSZ) и нарушенной зоны, а также степень локализации скольжения. В большинстве теоретических и лабораторных моделей предполагается, что сдвиг и дилатансия равномерно распределены по слою заполнителя [Samuelson et al., 2009]. Локализация же PSZ в области несколько сотен микрон [Chester, Chester, 1998; Кочарян, 2016] увеличивает вероятность и степень влияния флюида за счет увеличения величины локальной объемной деформации. Важно также, с какой скоростью происходит дренаж флюида – заполнение дополнительного порового пространства. Можно ожидать замедления разрывов, которые распространяются в водонасыщенной области с высокой скоростью дренажа из-за дилатансионной декомпрессии порового флюида. При высокой проницаемости, дренирование рассеивает давление поровой жидкости так же быстро, как оно образуется, что обычно наблюдается в лабораторных экспериментах [Samuelson et al., 2009].
Следует иметь в виду, что хотя ядро разлома может иметь ширину в десятки сантиметров, скольжение может локализоваться в более узких основных зонах скольжения внутри слоя gouge с низкой проницаемостью, т.е. активная зона скольжения оказывается гидравлически изолирована. Однако скольжение может также локализоваться на границах ядра разлома, примыкающего к более проницаемой нарушенной зоне трещиноватости [Mitchell, Faulkner, 2009], что может изменить как проницаемость, так и степень гидравлической изолированности зоны скольжения.
Динамическое скольжение может также создавать новые пути потока, создавая ряд вторичных разрывов в зоне влияния, как показано в теоретических и лабораторных исследованиях [Кочарян и др., 2007; Ando, Yamashita, 2007; Griffith et al., 2009].
Рис. 10. Зависимость проницаемости трещины от амплитуды сдвига ее бортов: 1 – эксперимент; 2 – расчет (по данным работы [Кочарян и др., 2007]).
На рис. 10 приведены усредненные по многим опытам [Кочарян и др., 2007] результаты измерений проницаемости щели, заполненной кварцевым песком, от амплитуды сдвига, нормированной на ширину трещины (кривая 1). Можно видеть, что проницаемость нарушения постепенно возрастает в процессе накопления макроперемещений берегов. Уже при относительно небольших деформациях γ ∼0.1–0.2, изменение проницаемости трещины довольно значительно и составляет величину порядка 10–15%. Максимальное увеличение проницаемости достигает 60% при деформации сдвига γ ∼1. На этом же графике приведен расчет изменения проницаемости за счет разуплотнения песка, выполненный на основе эмпирической зависимости, полученной в отдельной серии экспериментов. Можно видеть, что вклад дилатансии существенен на поздних стадиях сдвига, однако и там он не является определяющим. Эта серия опытов показывает, что значительный вклад в изменение проницаемости заполненных трещин вносит изменение внутренней структуры заполнителя – образование новых проницаемых каналов за счет взаимодействия отдельных частиц.
Изменение проницаемости среды при воздействии сейсмических волн, даже небольшой интенсивности, является установленным фактом [Кочарян и др., 2011; Elkhoury et al., 2006; Chadha et al., 2008; Shi et al., 2015; Liao et al., 2021]. В качестве впечатляющего примера приводится образование фонтана высотой 60 м из скважины, пробуренной в алевролитовых сланцах на расстоянии 3200 км от землетрясения 2004 г. М 9.1 на Суматре [Yan et al., 2022]. Существует ряд объяснений подобных эффектов низкоаплитудных вибраций, включая декольматацию трещин, образование проницаемых каналов за счет разрушения коллоидных пленок, переход растворенного CO2 в газообразное состояние с последующим расширением и т.д. [Brodsky et al., 2003, Кочарян и др., 2011; Yan et al., 2022]. В конечном итоге сейсмическое воздействие сводится к двум механизмам. Во-первых, это изменение проницаемости коллектора, во-вторых, изменение параметров скин слоя в окрестности скважины. Оба эти механизма наблюдались в полевом эксперименте с искусственным источником сейсмических колебаний [Кочарян и др., 2004]. Исследование реакции более чем 220 скважин на сейсмическое воздействие от четырех сильнейших землетрясений с Mw ∼8–9 позволило авторам работы [Shi et al., 2015] предположить, что устойчивые постсейсмические реакции уровня воды связаны именно с изменениями проницаемости в локальном водоносном горизонте.
Зона влияния разлома представляет собой, по сути дела, трещиноватый коллектор в котором при воздействии сейсмических волн могут наблюдаться аналогичные эффекты изменения проницаемости. Прямые измерения, проведенные до и после подземных ядерных взрывов ясно продемонстрировали увеличение проницаемости в зонах тектонических нарушений в результате взрывного воздействия вплоть до приведенных расстояний ∼1000 м/кт1/3, что соответствует скоростям смещения грунта 15–20 см/с [Кочарян, Спивак, 2003; Адушкин, Спивак, 2006]. При этом значения проницаемости не меняется на несколько порядков, несмотря на то, что амплитуды волн напряжений в ближней зоне значительно превышают соответствующие значения для землетрясения. Некоторые данные приведены в табл. 5.
Таблица 5. Коэффициенты проницаемости тектонических разломов до и после взрывного воздействия [Кочарян, Спивак, 2003; Адушкин, Спивак, 2007]
№ разлома | I | II | III | IV | V |
до взрыва k0, Д | 1.3 | 2.5–4.7 | 0.8 | 3.6 | 1.65 |
После взрыва k1, Д | 4 | 11.2 | 7.6; 9.5 | 11.8 | 2.4 |
Максимальная скорость смещения, м/с | 27 | 21 | 8 | 4.2 | 2.5 |
k0/k1 | 3.08 | 2.4–4.5 | 9.5–11.9 | 3.3 | 1.45 |
Видно, что изменение характеристик в значительной степени определяется локальными условиями. Тем не менее можно заключить, что в окрестности сейсмогенного разрыва (скорости смещения грунта несколько м/с) величина эффективной проницаемости разломной зоны может возрасти в несколько раз.
В заключение отметим пока практически не исследованный аспект влияния условий гидравлической изолированности зоны скольжения на формирование сверхсдвиговых (supershear) разрывов, распространяющихся со скоростью превышающей скорость волн Релея. Авторы работы [Pampillón et al., 2023] с помощью численного моделирования продемонстрировали, что в недренируемых условиях во время распространения разрыва пороупругое взаимодействие приводит к увеличению порового давления на фронте разрыва, что способствует переходу к сверхсдвиговому разрушению. Авторы работы [Mu et al., 2023] так же отмечают, что численное моделирование спонтанного разрыва в пороупругой среде приводит к заключению, что наведенное увеличение трещиноватости (пористости) породы в окрестности разрыва может привести к сверхсдвиговой моде распространения разрыва.
ЗАКЛЮЧЕНИЕ
Важнейшей задачей следующих десятилетий в науке о землетрясениях является построение расчетной модели, адекватно описывающей процессы подготовки и инициирования различных мод скольжения, а также остановки распространения разрыва вдоль разломов, являющихся границами между структурными блоками разных иерархических уровней. Можно надеяться, что такая модель окажется пригодной для решения задач прогноза и снижения ущерба от катастрофических событий. Сразу следует подчеркнуть, что такая задача ставится и широко обсуждается учеными и специалистами в области наук о Земле [Lapusta et al., 2019]. Как показывает анализ состояния вопроса ([Кочарян, 2021; Кочарян и др., 2023] и данная статья) большое количество исследований, особенно зарубежных авторов, направлено именно на разработку отдельных аспектов этой крупной проблемы. К большому сожалению, в России эта тематика развивается очень небольшими силами.
Ясно, что подобная модель должна состоять из взаимосвязанных геотектонической, структурной, механической и флюидодинамической частей. Вопросы геотектоники в этой статье оставлены вне рассмотрения.
Структура сейсмогенных разломов – участков распространения динамических разрывов, а также зон, на которых нуклеация крупного землетрясения маловероятна, изучена неплохо. Существует ряд моделей, с той или иной степенью достоверности описывающих такие образования. При этом, большинство авторов сходится на том, что основным структурным критерием сейсмогенности является высокая степень локализация деформации. Этот вопрос подробно обсуждался в обзоре [Кочарян, 2021].
Механическая часть базируется на основных закономерностях трещинообразования и фрикционного скольжения. Тут краеугольными понятиями являются представления о гетерогенности разломных зон – существовании участков разупрочнения (VW) и упрочнения (VS) контакта при сдвиге. Зарождаясь на участке разупрочнения, разрыв может, замедляясь, преодолевать VS-зоны. Если размер такого участка слишком велик, то разрыв останавливается. Участки с VW- и VS-свойствами отличаются по материальному составу. Если первые сложены кварцесодержащими породами с трением, соответствующим известному закону Байерли, то свойство упрочнения при сдвиге характерно, например, для некоторых филлосиликатов с низкими значениями коэффициента статического трения [Кочарян и др., 2023]. Местоположение и размеры таких участков могут быть определены по результатам инструментальных наблюдений, как сейсмологических, включая контроль слабой сейсмичности, так и геодезических. “Подведение” участка к нестабильности также проявляется в структуре микросейсмического фона [Беседина и др., 2020; Kocharyan et al., 2018].
Флюидодинамика разломных зон является, пожалуй, наиболее загадочной областью физики очага землетрясения и разломообразования. Разломная зона представляет собой сложную систему проводящих каналов и малопроницаемой основной зоны скольжения (иногда нескольких таких зон). Разброс эффективных значений проницаемости массива в разломных зонах очень велик – до 10 порядков величины. Судя по довольно немногочисленным результатам измерений, на глубинах свыше 2.5 км области высокой проницаемости с k > 1 Д не встречаются. И объемная проницаемость ядра разлома, и объемная проницаемость разломной зоны в целом неплохо коррелируют со значениями проницаемости вмещающих пород.
О флюидодинамике разломов на сейсмогенных глубинах мало что известно. Существующие представления основываются, главным образом, на косвенных данных и результатах лабораторных опытов. Представляется важным эффект существования псевдохрупкого разрушения на глубинах, соответствующих температурам ≥600°С. Узкие хрупкие разломы могут служить проводящими каналами, обеспечивающими возможность перетоков флюида, наблюдаемых вплоть до самых глубоких пробуренных горизонтов [Родкин, Рундквист, 2018].
Роль флюидов проявляется на разных стадиях сейсмического цикла в виде влияния на эффективную прочность разломных зон, согласно закону Терцаги, механо-химических эффектов (эффект Ребиндера, стресс-коррозия и др.). Рассматривается множество механизмов, которые могут способствовать увеличению давления флюидов в межсейсмический период на сейсмогенных глубинах. Увеличению избыточного давления флюидов в верхней коре противодействуют более быстрые механические процессы, обуславливающие рост проницаемости. Соотношение этих “противоборствующих” процессов различно на разных стадиях сейсмического цикла и в разных частях разломной зоны. Судя по результатам расчетов, основные параметры трещиноватости формируются на стадии формирования разломной зоны, а повторные динамические подвижки “подновляют” уже существующую трещиноватость, образуя минимальное количество новых трещин.
Распространенные модели радикального (до 10 порядков величины) увеличения проницаемости разломной зоны в ходе распространения динамического разрыва основаны на представлениях об образовании открытых трещин в окрестности разрыва, которые со временем залечиваются. На наш взгляд, это представляется крайне маловероятным событием, тем более что при глубинном бурении через зоны сейсмогенных разломов ни в одном случае не было обнаружено крупных высокопроницаемых трещин.
Измерения при подземных ядерных взрывах позволяют сделать заключение о том, что в окрестности сейсмогенного разрыва величина эффективной проницаемости разломной зоны может возрасти не более, чем в несколько раз.
Дополнительным фактором, вносящим неопределенность в модели, является то обстоятельство, что область скольжения может быть локализована как внутри слоя gouge с низкой проницаемостью, так и на границе ядра разлома. Понятно, что в этих двух случаях условия дренирования флюида будут существенно различаться.
БЛАГОДАРНОСТИ
Авторы выражают глубокую признательность рецензентам докт. физ.-мат. наук М.В. Родкину и докт. геол.-мин. наук Э.М. Горбуновой за конструктивные замечания и ценное обсуждение. Их участие помогло существенно улучшить изложение материала.
ФИНАНСИРОВАНИЕ РАБОТЫ
Работа выполнена при финансовой поддержке РНФ. Проект № 22-17-00204.
Об авторах
Г. Г. Кочарян
Институт динамики геосфер имени академика М.А. Садовского РАН
Автор, ответственный за переписку.
Email: gevorgkidg@mail.ru
Россия, Москва
И. В. Шатунов
Институт динамики геосфер имени академика М.А. Садовского РАН
Email: gevorgkidg@mail.ru
Россия, Москва
Список литературы
- Адушкин В.В., Спивак А.А. Подземные взрывы. М.: Наука. 2007. 579 с.
- Барышников Н.А., Зенченко Е.В., Турунтаев С.Б. Применение метода регуляризации квадратичного отклонения для анализа результатов лабораторных исследований нелинейных фильтрационных потоков // Динамические процессы в геосферах. 2022 Т. 14. № 1. С. 85–92. http://doi/org/10.26006/22228535_2022_14_1_85
- Бернштейн В.А. Механогидролитические процессы и прочность твердых тел. Л.: Наука. 1987. 320 с.
- Беседина А.Н., Кишкина С.Б., Кочарян Г.Г., Ряховский И.А. Анализ микросейсмического фона до и после сильных землетрясений на примере Чилийской зоны субдукции // Физика Земли. 2020. № 2. С. 10–20.
- Будков А.М., Кочарян Г.Г. Формирование зоны нарушенного материала в окрестности динамического сдвига по разлому в кристаллическом массиве горных пород // Физическая мезомеханика. 2024. Т. 27. № 1. С. 102–116. doi: 10.55652/1683-805X_2024_27_1_102-116
- Будков А.М., Кочарян Г.Г., Кишкина С.Б. Оценка изменения проницаемости массива горных пород в окрестности подземного взрыва по экспериментальным данным и результатам численного моделирования // Физико-технические проблемы разработки полезных ископаемых. 2023. № 1. С. 12–21. doi: 10.15372/FTPRPI20230102
- Горбунова Э.М., Беседина А.Н., Кабыченко Н.В., Батухтин И.В., Петухова С.М. Реакция водонасыщенных коллекторов на динамическое воздействие (по данным прецизионного мониторинга уровня подземных вод) // Физика Земли. 2021. № 5. С. 74–90.
- Карцева Т.И., Смирнов В.Б., Патонин А.В., Сергеев Д.С., Шихова Н.М., Пономарева А.В., Строганова С.М., Михайлов В.О. Инициация разрушения горных пород флюидами разной вязкости // Физика Земли. 2022. № 4. С. 151–166. doi: 10.31857/S0002333722040056. – EDN JHBKOU
- Качанов Л. М. Основы теории пластичности. М.: Наука. 1969. 420 с.
- Киссин И.Г. Современный флюидный режим земной коры и геодинамические процессы. Флюиды и геодинамика / И.Г. Киссин, В.Л. Русинов (ред.). М.: Наука. 2006. С. 85–104.
- Киссин И.Г. Флюиды в земной коре. Геофизические и тектонические аспекты. М.: Наука. 2015. 328 с.
- Кольская сверхглубокая. Исследование глубинного строения континентальной коры с помощью бурения Кольской сверхглубокой скважины / Е.А. Козловский (ред.). М.: Недра. 1984. 490 с.
- Кольская сверхглубокая. Научные результаты и опыт исследований / В.П. Орлов, Н.П. Лаверов (ред.). М: МФ “Технонефтегаз”. 1998. 260 c.
- Кочарян Г.Г. Геомеханика разломов. М.: ГЕОС. 2016. 424 с.
- Кочарян Г.Г. Возникновение и развитие процессов скольжения в зонах континентальных разломов под действием природных и техногенных факторов. Обзор современного состояния вопроса // Физика Земли. 2021. № 4. С. 3–41. doi: 10.31857/S0002333721040062
- Кочарян Г.Г., Батухтин И.В. Лабораторные исследования процесса скольжения по разлому как физическая основа нового подхода к краткосрочному прогнозу землетрясений // Геодинамика и тектонофизика. 2018. Т. 9. № 3. С. 671–691. doi: 10.5800/GT‐2018‐9‐3‐0367
- Кочарян Г.Г., Бенедик А.Л., Костюченко В.Н., Павлов Д.В., Перник Л.М., Свинцов И.С. Опыт воздействия на трещиноватый коллектор низкоамплитудными сейсмическими колебаниями // Геоэкология. 2004. № 4. С. 367–377.
- Кочарян Г.Г., Беседина А.Н., Гридин Г.А., Морозова К.Г., Остапчук А.А. Трение как фактор, определяющий излучательную эффективность подвижек по разломам и возможность их инициирования. Состояние вопроса // Физика Земли. 2023. № 3. С. 3–32. doi: 10.31857/S0002333723030067
- Кочарян Г.Г., Виноградов Е.А., Горбунова Э.М., Марков В.К., Марков Д.В., Перник Л.М. Гидрогеологический отклик подземных коллекторов на сейсмические колебания // Физика Земли. № 12. 2011. С. 50–62.
- Кочарян Г.Г., Лившиц Л.Д., Павлов Д.В., Перник Л.М. Исследование деформационных свойств и проницаемости зон нарушений сплошности скальных массивов // Геоэкология. Инженерная геология, гидрогеология, геокриология. 2001. № 1. С. 3–16.
- Кочарян Г.Г., Марков В.К., Марков Д.В., Перник Л.М. О механизме вариаций флюидодинамического режима подземных коллекторов под действием слабых возмущений. Физические поля и динамика взаимодействующих геосфер. Сборник научных трудов ИДГ РАН. М.: ГЕОС. 2007. С. 56–65.
- Кочарян Г.Г., Марков В.К., Остапчук А.А., Павлов Д.В. Мезомеханика сопротивления сдвигу по трещине с заполнителем // Физическая мезомеханика. 2013. Т. 16. № 5. С. 5–15.
- Кочарян Г.Г., Остапчук А.А., Мартынов В.С. Изменение режима деформирования разлома в результате инжекции флюида // Физико-технические проблемы разработки полезных ископаемых. 2017. № 2. С. 20–28.
- Кочарян Г.Г., Спивак А.А. Динамика деформирования блочных массивов горных пород. М.: ИКЦ “Академкнига”. 2003. 423 с.
- Мохов А.В. Трансформация проницаемости горных пород на участках подземных разработок каменноугольных залежей (геомеханические аспекты) // Наука Юга России. 2018. Т. 14. № 2. С. 42–54.
- Мохов А.В. Гидродинамический режим подземных вод горных отводов угольных и сланцевых шахт // Докл. РАН. 2018. Т. 483. № 1. С. 70–73.
- Николаевский В.Н. Обзор: земная кора, дилатансия и землетрясения. РайсДж. Механика очага землетрясения. М.: Мир. 1982. С. 133–215.
- Павленкова Н.И. Флюидный режим верхних оболочек Земли по геофизическим данным. Флюиды и геодинамика / И.Г. Киссин, В.Л. Русинов (ред.). М.: Наука. 2006. С. 201–218.
- Райс Дж. Механика очага землетрясения. М.: Мир. 1982. 215 с.
- Рац М.В., Чернышев С.Н. Трещиноватость и свойства трещиноватых горных пород. М.: Недра. 1970. 160 с.
- Родионов В.Н., Сизов И.А., Цветков В.М. Основы геомеханики. М.: Недра. 1986. 301
- Родионов В.Н., Спивак А.А., Цветков В.М., Сизов И.А. Изменение проницаемости среды в зоне неупругих деформаций при подземном взрыве // Физико-техн. проблемы разработки полезных ископаемых. 1981. № 1. С. 27–33.
- Родкин М.В. Роль глубинного флюидного режима в геодинамике и сейсмотектонике. М.: Нац. Геоф. Ком. 1993. 194 с.
- Родкин М.В. Рундквист Д.В. Геофлюидогеодинамика. Приложение к сейсмологии, тектонике, процессам рудо- и нефтегенеза. Долгопрудный: Интеллект. 2018. 288 с.
- Ружич В.В. Сейсмотектоническая деструкция в земной коре Байкальской рифтовой зоны. Новосибирск: изд-во СО РАН. 1997. 144 с.
- Ружич В.В., Кочарян Г.Г. О строении и формировании очагов землетрясений в разломах на приповерхностном и глубинном уровне земной коры. Часть I. Приповерхностный уровень // Геодинамика и тектонофизика. 2017. Т. 8. № 4. С. 1021–1034]. https://doi.org/10.5800/GT-2017-8-4-0330
- Ружич В.В., Кочарян Г.Г., Савельева В.Б., Травин А.В. О формировании очагов землетрясений в разломах на приповерхностном и глубинном уровне земной коры. Часть II. Глубинный уровень // Геодинамика и тектонофизика. 2018а. Т. 9. № 3. С. 1039–1061. doi: 10.5800/GT‐2018‐9‐3‐0383
- Ружич В.В., Кочарян Г.Г., Травин А.В., Савельева В.Б., Остапчук А.А., Рассказов С.В., Ясныгина Т.А., Юдин Д.С. Определение PT-условий при формировании сейсмогенных подвижек по глубинному сегменту краевого шва сибирского кратона // Докл. РАН. 2018б. Т. 481. № 4. С. 434–437. doi: 10.31857/S086956520001774-4
- Ружич В.В., Медведев В.Я., Иванова Л.А. Залечивание сейсмогенных разрывов и повторяемость землетрясений. Сейсмичность байкальского рифта. Прогностические аспекты / Павлов О.В., Мишарина А.Л. (ред.). Новосибирск: Наука. 1990. С. 44–50.
- Семинский К.Ж. Внутренняя структура континентальных разломных зон. Тектонофизический аспект. Новосибирск: Гео. 2003. 243 с.
- Смирнов В.Б., Пономарев А.В. Физика переходных режимов сейсмичности. М.: РАН. 2020. 412 с.
- Соболев Г.А., Пономарев А.В. Динамика разрушения моделей геологической среды при триггерном влиянии жидкости // Физика Земли. 2011. № 10. С. 48–63.
- Соболев Г.А., Пономарев А.В., Киреенкова С.М., Майбук З.Ю.Я. Экспериментальное исследование влияния постоянного электрического тока на фильтрацию суспензий в горной породе // Геофизические исследования. 2020. Т. 21. № 3. С. 19–33.
- Спивак А.А. Оценка нарушенности горного массива по результатам фильтрационных испытаний // Горный журнал. 1980. № 5. С. 29–35.
- Тихоцкий С.А., Фокин И.В., Баюк И.О., Белобородов Д.Е., Березина И.А., Гафурова Д.Р., Дубиня Н.В., Краснова М.А., Корост Д.В., Макарова А.А., Патонин А.В., Пономарев А.В., Хамидуллин Р.А., Цельмович В.А. Комплексные лабораторные исследования керна в ЦПГИ ИФЗ РАН // Наука и технологические разработки. 2017. Т. 96. № 2. С. 17–32. doi: 10.21455/std2017.2-2.
- Шатунов И.В. Гидравлические свойства разломных зон приповерхностной части земной коры – методы и результаты исследований. Состояние вопроса // Динамические процессы в геосферах. 2023. Т. 15. № 4. С. 25–43. http://doi.org/10.26006/29490995_2023_15_4_25
- Шерман С.И. Сейсмический процесс и прогноз землетрясений: тектонофизическая концепция. Новосибирск: Гео. 2014. 359 с.
- Щелкачев В.Н., Лапук Б.Б. Подземная гидравлика. М.–Л.: Государственное научно-техническое издательство нефтяной и горно-топливной литературы. 1949. 525с.
- Anders M.H., Wiltschko D.V. Microfracturing, paleostress and the growth of faults // J. Struct. Geol. 1994. V. 16. № 6. P. 795–815.
- Ando R., Yamashita T. Effects of mesoscopic-scale fault structure on dynamic earthquake ruptures: dynamic formation of geometrical complexity of earthquake faults // J. Geophys Res. 2007. V. 112. P. B09303. doi: 10.1029/2006JB004612
- Ashman I. R., Faulkner D. R. The effect of clay content on the dilatancy and frictional properties of fault gouge // Journal of Geophysical Research: Solid Earth. 2023. V. 128. P. e2022JB025878. https://doi/org/ 10.1029/2022JB025878
- Behr W.M., Bürgmann R. What’s down there? The structures, materials and environment of deep-seated slow slip and tremor // Phil. Trans. R. Soc. A. 2021. V. 379. P. 20200218. 2020.0218 DOI. org/10.1098/rsta.2020.0218
- Bense V.F., Gleeson T., Loveless S.E., Bour O., Scibek J. Fault zone hydrogeology // Earth-Science Reviews. 2013. V. 127. P. 171–192. http://dx.doi.org/10.1016/j.earscirev.2013.09.0
- Brantley S.L., Evans B., Hickman S.H., Crerar D.A. Healing of microcracks in quartz: Implications for fluid flow // Geology. 1990. V. 18(2). P. 136–139. https://doi.org/10.1130/0091‐7613(1990)018<0136:HOMIQI>2.3.CO;2
- Brixel B., Klepikova M., Jalali M. R., Lei Q., Roques C., Krietsch H., Loew S. Tracking fluid flow in shallow crustal fault zones: 1. Insights from single-hole permeability estimates // Journal of Geophysical Research: Solid Earth. 2020a. e2019JB018200. http://dx.doi.org/10.1029/2019jb018200
- Brixel B., Klepikova M., Lei Q., Roques C., Jalali M.R., Krietsch H., Loew S. Tracking fluid flow in shallow crustal fault zones: 2. Insights from cross-hole forced flow experiments in damage zones // Journal of Geophysical Research: Solid Earth. 2020b. e2019JB019108. http://dx.doi/10.1029/2019jb019108
- Brodsky E.E., Prejean S.G. New constraints on mechanisms of remotely triggered seismicity at Long Valley Caldera // Journal of Geophysical Research. 2005. V. 110(B4). P. B04302. https://doi.org/10.1029/2004jb003211
- Brodsky E., Roeloffs E., Woodcock D., Gall I., Manga M. A mechanism for sustained ground water pressure changes induced by distant earthquakes // J. Geophys. Res. 2003. V. 108. Р. 2390–2400.
- Caine J.S., Evans J.P., Forster C.B. Fault zone architecture and permeability structure // Geology. 1996. V. 24(11). P. 1025. http://dx.doi.org/10.1130/0091-7613 (1996) 024<1025: fzaaps>2.3.co
- Carpenter B.M., Marone C., Saffer D.M. Weakness of the San Andreas Fault revealed by samples from the active fault zone // Nature Geoscience. 2011. V. 4. № 4. P. 251–254. doi: 10.1038/NGEO1089
- Chadha R.K., Chandrani S., Shekar M. Transient changes in well-water level in bore wells in Western India due to the 2004 Mw 9.3 Sumatra earthquake // Bull. Seism. Soc. Amer. 2008. V. 98(5). P. 2553–2558. doi: 10.1785/0120080952
- Chester F.M., Chester J.S. Ultracataclasite structure and friction processes of the Punchbowl fault, San Andreas system, California // Tectonophysics. 1998. V. 295. P. 199–221.
- Chester J.S., Chester F.M. Kronenberg A.K. Fracture surface energy of the Punchbowl fault, San Andreas system // Nature. 2005. V. 437. P. 133–136. doi: 10.1038/nature03942
- Chester F.M., Rowe C., Ujiie K., Kirkpatrick J., Regalla C., Remitti F., Moore J.C., Toy V., Wolfson-Schwehr M., Bose S., Kameda J., Mori J.J., Brodsky E.E., Eguchi N., Toczko S. Expedition 343 and 343T Scientists. Structure and Composition of the Plate-Boundary Slip Zone for the 2011 Tohoku-Oki Earthquake // Science. 2013. V. 342. P. 1208–1211.
- Cox S.F., Munroe S.M. Breccia formation by particle fluidization in fault zones: Implications for transitory, rupture-controlled fluid flow regimes in hydrothermal systems // American Journal of Science. 2016. V. 316(3). P. 241–278. https://doi.org/10.2475/03.2016.02
- Doan M., Brodsky E., Kano Y., Ma K. In situ measurement of the hydraulic diffusivity of the active Chelungpu Fault, Taiwan // Geophysical Research Letters. 2006. V. 33(16). http://dx.doi.org/10.1029/2006gl026889
- Elkhoury J.E., Brodsky E.E., Agnew D.C. Seismic waves increase permeability // Nature. 2006. V. 441(7097). P. 1135–1138. https://doi.org/10.1038/nature04798
- Evans J.P., Forster C.B., Goddard J.V. Permeability of fault-related rocks, and implications for hydraulic structure of fault zones // J. Struct. Geol. 1997. V. 19. P. 1393–1404.
- Faoro I., Elsworth D., Marone C. Permeability evolution during dynamic stressing of dual permeabilitymedia // J. Geophys. Res. 2012. V. 117. P. B01310, doi: 10.1029/2011JB008635
- Faulkner D.R., Mitchell T.M., Jensen E., Cembrano J. Scaling of fault damage zones with displacement and the implications for fault growth processes // J. Geophys. Res. Solid Earth. 2011. V. 116. № 5. P. 1–11. https://doi.org/10.1029/2010JB007788
- Faulkner D.R., Sanchez Roa C., Boulton C., den Hartog S.A.M. Pore fluid pressure development in compacting fault gouge in theory, experiments, and nature // J. Geophys. Res. Solid Earth. 2018. V. 123. N. 1. P. 226–241. https://doi.org/10.1002/2017JB015130
- Gao X., Sato K., Horne R.N. General solution for tidal behavior in confined and semiconfined aquifers considering skin and wellbore storage effects // Water Resources Research. 2020. V. 56(6). P. e2020WR027195. https://doi.org/10.1029/2020wr027195
- Giwelli A., Piane C.D., Esteban L., Clennell M.B., Dautriat J., Raimon J., Kager S., Kiewiet L. Laboratory observations of fault transmissibility alternation in carbonate rock during direct shearing // Geofluids. 2016. V. 16. P. 658–672. https://doi.org/10.1111/gfl.12183
- Goodman R.E. Methods of geological engineering in discontinuous rocks. St.Paul: West Publish.Co. 1976. 472 p.
- Grawinkel A., Stockhert B. Hydrostatic pore fluid pressure to 9 km depth-fluid inclusionevidence from KTB deep drill hole // Geophysical Research Letters. 1997. 24. № 24. P. 3273–3276.
- Griffith W.A., Rosakis A., Pollard D.D., Ko C.W. Dynamic rupture experiments elucidate tensile crack development during propagating earthquake ruptures // Geology. 2009. V. 37. P. 795–798. doi: 10.1130/G30064A.1
- Hauksson E., Andrews J., Plesch A., Shaw J.H., Shelly D.R. The 2015 Fillmore earthquake swarm and possible crustal deformation mechanisms near the bottom of the eastern Ventura basin, California // Seismol Res Lett. 2016. V. 87. P. 807–815.
- He G., Shi Z., Rasmussen T.C., Qi Z. Fault zone hydraulic parameter estimation by passive methods using natural forces // Water Resources Research. 2023. V. 59. P. e2022WR033377. https://org/10.1029/2022WR033377
- Hirakawa E., Ma S. Dynamic fault weakening and strengthening by gouge compaction and dilatancy in a fluid-saturated fault zone // J. Geophys. Res. Solid Earth. 2016. V. 121. P. 5988–6008. doi: 10.1002/2015JB012509.
- Huenges E., Erzinger J., Kuck J., Engeser B., Kessels W. The permeable crust: Geohydraulic properties down to 9101 m depth // J. Geophys. Res. 1997. V. 102. P. 18255–18265.
- Ishibashi T., Elsworth D., Fang Y., Riviere J., Madara B., Asanuma H., Watanabe N., Marone C. Friction-stability-permeability evolution of a fracture in granite // Water Resources Research. 2018. V. 54. P. 9901–9918. https://doi. org/10.1029/2018WR022598
- Janku-Capova L., Sutherland R., Townend J., Doan M.L., Massiot C., Coussens J., Celerier B. Fluid flux in fractured rock of the Alpine fault hanging wall determined from temperature logs in the DFDP‐2B borehole, New Zealand // Geochemistry, Geophysics, Geosystems. 2018. V. 19. № 8. P. 2631–2646. https://doi.org/10.1029/2017GC007317
- Kameda J., Yamaguchi A., Saito S., Sakuma H., Kawamura K., Kimura G. A new source of water in seismogenic subduction zones // Geophysical Research Letters. 2011. V. 38. № 22. doi: 10.1029/2011gl048883
- Kawai K., Sakuma H., Katayama I., Tamura K. Frictional characteristics of single and polycrystalline muscovite and influence of fluid chemistry // Journal of Geophysical Research: Solid Earth. 2015. V. 120. № 9. P. 6209–6218. doi: 10.1002/2015JB012286
- Kitagawa Y., Kano Y. Changes in permeability of the Nojima fault damage zone inferred from repeated water injection experiments // Earth, Planets and Space. 2016. V. 68. P. 185.
- Kocharyan G.G., Ostapchuk A.A., Pavlov D.V. Traces of laboratory earthquake nucleation in the spectrum of ambient noise // Sci. Rep. 2018. V. 8. P. 10764. https://doi.org/10.1038/s41598-018-28976-9
- Lapusta N., E. Dunham J.-P. Avouac M. Denolle Y. et al. Modeling Earthquake Source Processes: from Tectonics to Dynamic Rupture. Report to National Science Foundation. http://www.seismolab.caltech.edu/pdf/MESP_White_Paper_Main_Text_8_March_2019.pdf
- Laubach S.E., Lander R.H., Criscenti L.J., Anovitz L.M., Urai J.L., Pollyea R.M., Hooker J.N., Narr W., Evans M.A., Kerisit S.N., Olson J.E., Dewers T., Fisher D., Bodnar R., Evans B., Dove P., Bonnell L.M., Marder M.P., Pyrak-Nolte L. The role of chemistry in fracture pattern development and opportunities to advance interpretations of geological materials // Reviews of Geophysics. 2019. V. 57. P. 1065–1111. https://doi.org/10.1029/ 2019RG000671
- Leclere H., Faulkner D., Llana-Fúnez S., Bedford J., Wheeler J. Reaction fronts, permeability and fluid pressure development during dehydration reactions // Earth and Planetary Science Letters. 2018. V. 496. P. 227–237. https://doi.org/10.1016/j.epsl.2018.05.005
- Lockner D.A., Byerlee J.D. Dilatancy in hydraulically isolated faults and the suppression of instability // Geophysical Research Letters. 1994. V. 21(22). P. 2353–2356. https://doi.org/10.1029/94gl02366
- Ma Y., Wang G., Yan R., Wang B. Long-term in situ permeability variations of an active fault zone in the interseismic period // Pure and Applied Geophysics. 2019. V. 176(12). P. 5279–5289. https://doi.org/10.1007/s00024-019-02278-1
- Marguin V., Simpson G. Influence of fluids on earthquakes based on numerical modeling // Journal of Geophysical Research: Solid Earth. 2023. V. 128. P. e2022JB025132. https://doi. org/10.1029/2022JB025132
- Marti S., Stünitz H., Heilbronner R., Plümper O., Drury M. Experimental investigation of the brittle-viscous transition in mafic rocks – Interplay between fracturing, reaction, and viscous deformation // Journal of Structural Geology. 2017. V. 105. P. 62–79.
- Matsumoto N., Shigematsu N. In-situ permeability of fault zones estimated by hydraulic tests and continuous groundwater-pressure observations // Earth Planets Space. 2018. V. 70. P. 13 https://doi.org/10.1186/s40623-017-0765-5
- Miller S.A., Collettini C., Chiaraluce L., Cocco M., Barchi M., Kaus B.J.P. Aftershocks driven by a high pressure CO2 source at depth // Nature. 2004. V. 427. P. 724–727.
- Miller S.A., Nur A. Permeability as a toggle switch in fluid-controlled crustal processes // Earth and Planetary Science Letters. 2000. V. 183(1–2). P. 133–146. https://doi.org/10.1016/s0012-821x(00)00263-6
- Mitchell T.M., Faulkner D.R. The nature and origin of off-fault damage surrounding strike-slip fault zones with a wide range of displacements: A field study from the Atacama fault system, northern Chile // Journal of Structural Geology. 2009. V. 31. P. 802–816.
- Moon S.W., Kim H.S. Seo Y.S. Relationship between hydraulic conductivity and occurrence of fault rocks in Yangsan fault zone, Korea // Bull Eng Geol Environ. 2022. V. 81. P. 365. https://doi.org/10.1007/s10064-022-02875-w
- Moore D.E. Crystallographic controls on the frictional behavior of dry and water-saturated sheet structure minerals // Journal of Geophysical Research Atmospheres. 2004. V. 109. № B3. doi: 10.1029/2003jb002582
- Moore D.E., RymerM.J. Talc-bearing serpentinite and the creeping section of the San Andreas fault // Nature. 2007. V. 448. P. 795–797. doi: 10.1038/nature06064
- Morrow C.A., Moore D.E., Lockner D.A. Effect of mineral bond strength and adsorbed water on fault gouge frictional strength, Geophys // Res. Lett. 2000. V. 27(6). P. 815–818. doi: 10.1029/1999GL008401
- Mu C., Song Y., Hu H. Rupture-induced dynamic pore pressure effect on rupture. Waves in Random and Complex Media. 2023. doi: 10.1080/17455030.2023.2182147
- Norris R.J., Cooper A.F. Very high strains recorded in mylonites along the Alpine Fault, New Zealand: implications for the deep structure of plate boundary faults // J. of Structural Geology. 2003. V. 25. P. 2141–2157.
- Pampillón P., Santillán D., Mosquera J.C., Cueto-Felgueroso L. The role of pore fluids in supershear earthquake ruptures // Sci Rep. 2023. V. 13. P. 398. https://doi.org/10.1038/s41598-022-27159-x
- Parez S., Kozakovic M., Havlica J. Pore pressure drop during dynamic rupture and conditions for dilatancy hardening // Journal of Geophysical Research: Solid Earth. 2023. V. 128. P. e2023JB026396. https://doi.org/10.1029/2023JB026396
- Pec M., Stünitz H., Heilbronner R., Drury M. Semi-brittle flow of granitoid fault rocks in experiments // J. Geophys. Res. Solid Earth. 2016. V.121. P. 1677–1705. doi: 10.1002/2015JB012513
- Proctor B., Lockner D.A., Kilgore B.D., Mitchell T.M., Beeler N.M. Direct evidence for fluid pressure, dilatancy, and compaction affecting slip in isolated faults // Geophysical Research Letters. 2020. V. 47. P. e2019GL086767. https://doi.org/ 10.1029/2019GL086767
- Rempe M., Mitchell T.M., Renner J., Smith S.A.F., Bistacchi A., Toro G.Di. The relationship between microfracture damage and the physical properties of fault-related rocks: The Gole Larghe Fault Zone, Italian Southern Alps // J. Geoph. Res-Sol. Ea. 2018. V. 123. P. 7661–7687.
- Renard F., Ortoleva P. Water films at grain-grain contacts: Debye-Hueckel, osmotic model of stress, salinity, and mineralogy dependence // Geochimica et Cosmochimica Acta. 1997. V. 61. № 10. P. 1963–1970. doi: 10.1016/S0016-7037(97)00036-7
- Richard J., Doan M.L., Gratier J.P., Renard F. Microstructures induced in porous limestone by dynamic loading, and fracture healing: an experimental approach // Pure Appl. Geophys. 2015. V. 172. № 5. P. 1269–1290. https://doi.org/10.1007/s00024-014-0958-9
- Samuelson J., Elsworth D., Marone C. Shear-induced dilatancy of fluid-saturated faults: Experiment and theory // J. Geophys. Res. 2009. V. 114. P. B12404. doi: 10.1029/2008JB006273
- Scibek J. Multidisciplinary database of permeability of fault zones and surrounding protolith rocks at world-wide sites // Scientific Data. 2020. V. 7(1). http://dx.doi.org/10.1038/s41597-020-0435-5
- Scholz C.H. The mechanics of earthquakes and faulting 3rd edition. Cambridge, UK: Cambridge University Press. 2019. 517 p.
- Scholz C.H., Sykes L.R., Aggarwal Y.P. Earthquake prediction: A physical basis // Science. 1973. V. 181. P. 803–810.
- Schuck B., Schleicher A.M., Janssen C., Toy V.G., Dresen G. Fault zone architecture of a large plate-bounding strike-slip fault: a case study from the Alpine Fault, New Zealand // Solid Earth. 2020. V. 11. P. 95–124. https://doi.org/10.5194/se-11-95-2020
- Segall P., Rice J.R. Dilatancy, compaction, and slip instability of a fluid-infiltrated fault // Journal of Geophysical Research: Solid Earth. 1995. V. 100(B11). P. 22155–22171. https://doi.org/10.1029/95jb02403
- Shapiro S.A., Huenges E., Borm G. Estimating the crust permeability from fluid-injection-induced seismic emission at the KTB site // Geophys J Int. 1997. V. 131. P. F15–F18.
- Shi Z., Wang G., Manga M., Wang C.-Y. Mechanism of co-seismic water level change following four great earthquakes – insights from co-seismic responses throughout the Chinese mainland // Earth. Planet. Sci. Let. 2015. V. 430. P. 66–74.
- Sibson R.H. Conditions for fault-valve behaviour // Geological Society. London. Special Publications. 1990. V. 54(1). P. 15–28. https://doi.org/10.1144/gsl.sp.1990.054.01.02
- Sibson R.H. Implications of fault-valve behaviour for rupture nucleation and recurrence // Tectonophysics. 1992. V. 211(1–4). P. 283–293. https://doi.org/10.1016/0040-1951(92)90065-e
- Sibson R.H. Tensile overpressure compartments on low-angle thrust faults // Earth Planets and Space. 2017. V. 69(1). P. 1–15. https://doi.org/10.1186/s40623-017-0699-y
- Simpson G. What do earthquakes reveal about ambient shear stresses in the upper crust? // Geology. 2018. V. 46(8). P. 703–706. https://doi.org/ 10.1130/g45052.1
- Smithson S.B., Wenzel F., Ganchin Y.V., Morozov I.B. Seismic results at Kola and KTB deep scientic boreholes: v locities, reactions, fuids, and crustal composition // Tectonophysics. 2000. V. 329. P. 301.
- Sutherland R., Townend J., Toy V.G., Upton P., Coussens J. et al. Extreme hydrothermal conditions at an active plate-bounding fault // Nature. 2017. V. 546. P. 137–140.
- Sutherland R., Toy V.G., Townend J., Cox S.C., Eccles J.D., Faulkner D.R., Prior D.J., Norris R.J., Mariani E., Boulton C., Carpenter B.M., Menzies C.D., Little T.A., Hasting M., De Pascale G.P., Langridge R.M., Scott H.R., Lindroos Z.R., Fleming B., Kopf A.J. Drilling reveals fluid control on architecture and rupture of the Alpine fault, New Zealand // Geology. 2012. V. 40. № 12. P. 1143–1146.
- Tenthorey E., Cox S.F. Todd H.F. Evolution of strength recovery and permeability during fluid-rock reaction in experimental fault zones // Earth Planet. Sci. Lett. 2003. V. 206. P. 161–172.
- Teufel L.W. Pore volume changes during frictional sliding of simulated faults. Mechanical behavior of crustal rocks: The Handin volume / N.L. Carter, M. Friedman, J.M. Logan, D.W. Stearns, & G.M. Ser (eds.). American Geophysical Union. 1981. P. 135–145. https://doi.org/10.1029/GM024p0135
- Ulusay R. The Orange Book: “The ISRM Suggested Methods for Rock Characterization, Testing and Monitoring: 2007–2014”. Springer. 2015.
- Ustinov S., Ostapchuk A., Svecherevskiy A., Usachev A., Gridin G., Grigor’eva A., Nafigin I. Prospects of Geoinformatics // Analyzing Spatial Heterogeneities of Microstructural Properties of a Tectonic Fault. Appl. Sci. 2022. V. 12. P. 2864. https://doi.org/10.3390/app12062864
- Verberne B.A., Niemeijer A.R., De Bresser J.H.P., Spiers C.J. Mechanical behavior and microstructure of simulated calcite fault gouge sheared at 20–600°C: Implications for natural faults in limestones // J. Geophys. Res. Solid Earth. 2015. V. 120. P. 8169–8196. DOI: 10.1002/ 2015JB012292.
- Walker R.J., Holdsworth R.E., Imber J., Faulkner D.R., Armitage P.J. Fault zone architecture and fluid flow in interlayered basaltic volcaniclastic-crystalline sequences // J. Struct. Geol. 2013. V. 51. P. 92–104.
- Wilson J.E., Chester J.S., Chester F.M. Microfracture analysis of fault growth and wear processes, Punchbowl Fault, San Andreas System, California // J. Struct. Geol. 2003. V. 25. P. 1855–1873.
- Liao X., Shi Y., Liu C.‐P., Wang G. Sensitivity of Permeability Changes to Different Earthquakes in a Fault Zone: Possible Evidence of Dependence on the Frequency of Seismic Waves // Geophysical Research Letters. 2021. V. 48. P. 9. doi: 10.1029/2021GL092553
- Yamashita T., Tsutsumi A. Involvement of Fluids in Earthquake Ruptures. 2018. http://dx.doi.org/10.1007/978-4-431-56562-8
- Yan X., Shi Z., Wang C.-Y., Ingebritsen S.E., Manga M. Violent groundwater eruption triggered by a distant earthquake // Geophysical Research Letters. 2022. V. 49. P. e2022GL101239. https://doi.org/10.1029/2022GL101239
- Yang Y., Dunham E.M. Influence of creep compaction and dilatancy on earthquake sequences and slow slip // Journal of Geophysical Research: Solid Earth. 2023. V. 128. P. e2022JB025969. https://doi.org/10.1029/2022JB025969
- Yao L., Ma S., Di Toro G. Coseismic fault sealing and fluid pressurization during earthquakes // Nat Commun. 2023. V. 14. P. 1136. https://doi.org/10.1038/s41467-023-36839-9
- Yukutake Y., Ito H., Honda R., Harada M., Tanada T., Yoshida A. Fluid-induced swarm earthquake sequence revealed by precisely determined hypocenters and focal mechanisms in the 2009 activity at Hakone volcano // Japan J Geophys Res. 2011b. V. 116. P. B04308. doi: 10.1029/2010JB008036
- Zharikov A.V., Vitovtova V.M., Shmonov V.M., Grafchikov A.A. Permeability of the rocks from the Kola superdeep borehole at high temperature and pressure: Implication to fluid dynamics in the continental crust // Tectonophysics. 2003. V. 370. № 1-4. P. 177–191. doi: 10.1016/S0040-1951(03)00185-9
Дополнительные файлы












