Региональные особенности затухания сейсмических волн на территории Северного Кавказа
- Авторы: Зверева А.С.1, Габсатарова И.П.1, Лиходеев Д.В.2
-
Учреждения:
- Единая геофизическая служба РАН
- Институт физики Земли им. О.Ю. Шмидта РАН
- Выпуск: № 6 (2024)
- Страницы: 64-79
- Раздел: Статьи
- URL: https://journal-vniispk.ru/0002-3337/article/view/282304
- DOI: https://doi.org/10.31857/S0002333724060046
- EDN: https://elibrary.ru/RGMJSV
- ID: 282304
Цитировать
Аннотация
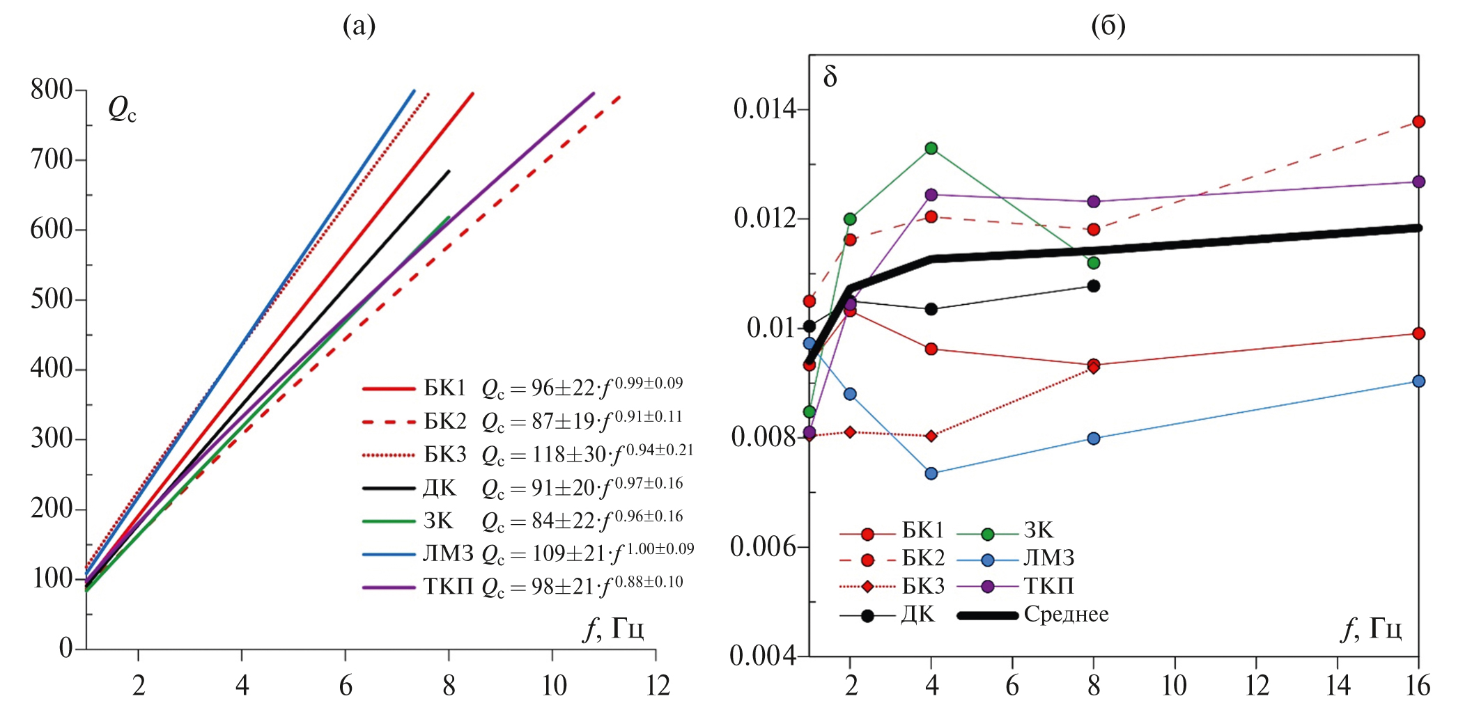
Получены новые обобщенные данные по затуханию сейсмических волн в литосфере Северного Кавказа в виде частотно-зависимой добротности среды Qс(f). Знания о неоднородностях распределения добротности как характеристики среды в регионе будут востребованы при проведении работ сейсмического районирования разной степени детальности. Информационной базой для исследования являлись цифровые записи 53-х сейсмических станций 800 локальных землетрясений умеренных магнитуд (1.8 ≤ М ≤ 5.5)*, равномерно распределенных по территории Северного Кавказа. При исследовании использовался метод огибающих кода-волн в модели однократного рассеяния. Для всей территории Северного Кавказа и для отдельных 7 зон рассчитаны средние аналитические выражения частотно-зависимой добротности среды Qс(f) и построены карты распределения значений добротности на частотах 1 и 4 Гц. Выявлено, что зоны наименьшей добротности соответствуют тектонически неоднородным областям, характеризующимся наличием сильной раздробленности в земной коре и повышенным уровнем флюидонасыщения. Зоны наибольшей добротности соответствуют областям растяжения литосферы, где преобладают землетрясения с механизмами очагов типа сброс.
* Здесь и далее в работе представлены магнитуды М, пересчитанные из энергетического класса по Раутиан по формуле M = (KP – 4) / 1.8.
Полный текст
Об авторах
А. С. Зверева
Единая геофизическая служба РАН
Автор, ответственный за переписку.
Email: zvereva.as59@gmail.com
Россия, Обнинск, 249035
И. П. Габсатарова
Единая геофизическая служба РАН
Email: zvereva.as59@gmail.com
Россия, Обнинск, 249035
Д. В. Лиходеев
Институт физики Земли им. О.Ю. Шмидта РАН
Email: zvereva.as59@gmail.com
Россия, Москва, 123242
Список литературы
- Аптикаева О.И., Арефьев С.С., Кветинский С.И., Копничев Ю.Ф., Мишаткин В.И. Неоднородности литосферы в очаговой зоне Рачинского землетрясения 1991 г. // Докл. АН СССР. 1995. Т. 344. № 4. С. 533–538.
- Аптикаева О.И. Поле поглощения поперечных волн в окрестностях очага Дагестанского 1970 г. землетрясения по короткопериодной коде // Труды института геологии Дагестанского научного центра РАН. 2020. № 2 (81). С. 48–56.
- База данных “Землетрясения России” [сайт]. [Обнинск: ФИЦ ЕГС РАН, 2023]. URL: http://eqru.gsras.ru/
- Белявский В.В. Геоэлектрическая модель центральной части Северного Кавказа и его флюидонасыщение // Физика Земли. 2023. № 4. С. 75–95.
- Габсатарова И.П., Зверева А.С. Сейсмический мониторинг Северного Кавказа в первую четверть XXI века. Современные проблемы геологии, геофизики и геоэкологии Северного Кавказа. Т. XIII. М.: ИИЕТ РАН. 2023. С. 257–264.
- Добрынина А.А., Предеин П.А., Саньков В.А., Тубанов Ц.А., Санжиева Д.П.-Д., Горбунова Е.А. Пространственные вариации затухания сейсмических волн в Южнобайкальской впадине и прилегающих областях (Байкальский рифт) // Геодинамика и тектонофизика. 2019. Т. 10. № 1. С. 147–166.
- Етирмишли Г.Д., Кязымова С.Э., Исмаилова С.С., Гаравелиев Э.С. Закатальское-III землетрясения 7 мая 2012 г. в 04h 40m с MLАзр = 5.6, I0 = 7 и Закатальское-IV в 14h15m с MLАзр = 5.7, I0 = 7 (Азербайджан). Землетрясения Северной Евразии. Вып. 21 (2012 г.). Обнинск: ФИЦ ЕГС РАН. 2018. С. 332–344.
- Зверева А.С., Собисевич А.Л., Габсатарова И.П. Добротность геофизической среды восточной зоны Северного Кавказа // Физика Земли. 2024. № 1. С. 140–156.
- Казьмин В.Г., Лобковский Л.И., Пустовитенко Б.Г. Современная кинематика микроплит в Черноморско-Южно-Каспийском регионе // Океанология. 2004. Т. 44. № 4. С. 600–610.
- Кирсанов В.И., Павленко О.В. Оценки добротности коры и верхней мантии Северо-Восточного Кавказа по записям сейсмостанции “Махачкала” // Вопросы инженерной сейсмологии. Т. 46. № 2. 2019. С. 60–73.
- Копничев Ю.Ф., Соколова И.Н. Кольцевые структуры сейсмичности в районах Центрального Тянь-Шаня и Джунгарии: возможная подготовка сильных землетрясений // Вулканология и сейсмология. 2014. № 3. С. 65–73.
- Копничев Ю.Ф., Соколова И.Н. Неоднородности поля поглощения S-волн в литосфере Кавказа и их связь с сейсмичностью // Геофизические процессы и биосфера. 2019. Т. 18. № 3. С. 67–76. https://doi.org/10.21455/GPB2019.3-4
- Лиходеев Д.В. Программа построения комплексных карт геолого-геофизических параметров. Свидетельство о регистрации программы для ЭВМ RU 2019665442, 22.11.2019. Заявка № 2019664326 от 12.11.2019.
- Маловичко А.А., Габсатарова И.П., Лиходеев Д.В., Заклюковская А.С., Преснов Д.А. Развитие системы разномасштабного сейсмического мониторинга в районе вулкана Эльбрус // Сейсмические приборы. 2014. Т. 50. № 4. С. 47–57.
- Масуренков Ю.П., Собисевич А.Л., Комкова Л.А., Лаверова Н.И. Флюидно-магматические системы Северного Кавказа. М.: Институт физики Земли им. О.Ю. Шмидта РАН. 2010. 280 с.
- Милановский Е.Е. Новейшая тектоника Кавказа. М.: Недра. 1968. 483 с.
- Милюков В.К., Миронов А.П., Овсюченко А.Н., Горбатиков А. В., Стеблов Г.М., Корженков А. М., Дробышев В.Н., Хубаев Х.М., Агибалов А.О., Сенцов А.А., Dogan U., Ergintav S. Современные тектонические движения Западного Кавказа и Предкавказья по ГНСС-наблюдениям // Геотектоника. 2022. № 1. С. 51–67.
- Павленко В.А., Павленко О.В. Поглощение сейсмических волн в коре и верхней мантии в окрестностях сейсмостанции “Кисловодск” // Физика Земли. № 4. 2016. С. 24–34.
- Павленко О.В. Оценки добротности коры и верхней мантии в окрестностях Сочи и Анапы (Северный Кавказ) // Физика Земли. 2016. № 3. С. 19–30.
- Павленко О.В. Характеристики поглощения сейсмических волн в восточной части Северного Кавказа, оцененные по записям сейсмостанции “Махачкала” // Физика Земли. 2020. № 5. С. 36–45. doi: 10.31857/S0002333720050075
- Павленкова Г.А. Строение земной коры Кавказа по профилям ГСЗ Степное–Бакуриани и Волгоград–Нахичивань (результаты переинтерпретации первичных данных) // Физика Земли. 2012. № 5. С. 16–25.
- Раутиан Т.Г., Халтурин В.И., Закиров М.С, Земцова А.Г., Проскурин А.П., Пустовитенко Б.Г., Пустовитенко А.Н., Синельникова Л.Г., Филина А.Г.1, Шенгелия И.С. Экспериментальные исследования сейсмической коды. М.: Наука. 1981. 143 с. EDN: TQPOBT.
- Рогожин Е.А., Овсюченко А.Н., Лутиков А.И., Собисевич А.Л., Собисевич Л.Е., Горбатиков А.В. Эндогенные опасности Большого Кавказа. М.: ИФЗ РАН. 2014. 256 с.
- Рогожин Е.А., Горбатиков А.В., Степанова М.Ю., Харазова Ю.В., Сысолин А.И., Андреева Н.В., Погребченко В.В., Червинчук С.Ю., Цзе Ч., Цзяо Лю., Овсюченко А.Н., Ларьков А.С. Глубинное строение Северо-Западного окончания Кавказа по новым геолого-геофизическим данным // Физика Земли. 2020. № 6. С. 48–65.
- СП 14.13330.2018 Строительство в сейсмических районах. Актуализированная редакция СНиП 11-7 – 81. М.: Стандартинформ. 2018. 122 с.
- Трифонов В.Г., Соболева О.В., Трифонов Р.В., Востриков Г.А. Современная геодинамика Альпийско-Гималайского коллизионного пояса. М.: ГЕОС. 2002. 225 с.
- Хаин В.Е. Кавказ. Тектоническая карта. М: 1:5 500 000. Большая Советская Энциклопедия. 1973. Т. 11. С. 112–114. Khain V.E. (1973). [Caucasus. Tectonic map. – M: 1:5 500 000].
- Харазова Ю.В., Павленко О.В., Дудинский К.А. Связь характеристик распространения сейсмических волн на Западном Кавказе с геолого-тектоническими особенностями региона // Физика Земли. Т. 3. 2016. С. 68–81.
- Aki K., Chouet B. Origin of coda waves: source, attenuation, and scattering effects // J. Geophys Res. 1975. V. 80. № 23 P. 3322–3342. https://doi.org/10.1029/JB080i023p03322
- Dasović I., Herak M., Herak D. Coda-Q and its lapse time dependence analysis in the interaction zone of the Dinarides, the Alps and the Pannonian Basin // Phys. Chem. Earth. 2013. V. 63. P. 47–54. doi: 10.1016/j.pce.2013.03.001
- Geophysical Survey of the Russian Academy of Sciences (GSRAS). 1989. Seismic network of the European part of the Russian Federation [Data set]. International Federation of Digital Seismograph Networks. https://doi.org/10.7914/040r-yt67
- Giampiccolo E., Tiziana T. Regionalization and dependence of coda Q on frequency and lapse time in the seismically active Peloritani region (northeastern Sicily, Italy) // J. Seismol. 2018. V. 22. P. 1059–1074. doi: 10.1007/s10950-018-9750-0
- Havskov J., Voss P.H., Ottemöller L. Seismological observatory software: 30 Yr of SEISAN // Seismological Research Letters. 2020. V. 91(3). P. 1846–1852. doi: 10.1785/0220190313
- Koulakov I., Zabelina I., Amanatashvili I., Meskhia V. Nature of orogenesis and volcanism in the Caucasus region based on results of regional tomographyю Solid Earth. 2012. V. 3. P. 327–337. https://doi.org/10.5194/se-3-327-2012
- Ilia State University – Seismic Monitoring Centre of Georgia. 1988. National Seismic Network of Georgia [Data set]. International Federation of Digital Seismograph Networks. URL: http://www.ies.iliauni.edu.ge/
- Pulli J.J. Attenuation of coda waves in New England // Bulletin of the seismological society of America. 1984. V. 74(4). P. 1149–1166. https://doi.org/10.1785/BSSA0740041149
- Reilinger R.E., McClusky S.C., Souter B.J., Hamburger M.W., Prilepin M.T., Mishin A., Guseva T., Balassanian S. Preliminary estimates of plate convergence in the Caucasus collision zone from global positioning system measurements // Geophysical Research Letters. 1997. V. 24. P. 1815–1818. https://doi.org/10.1029/97GL01672
- Weatherall P.K. et al. // Earth Space Sci. 2015. V. 2. № 8. P. 331. doi: 10.1002/2015EA000107
- Zvereva A.S., Havskov J., Gabsatarova I.P. Regional variation of coda Q in Northwest Caucasus // J. Seismol. 2023. V. 27. P. 363–384. https://doi.org/10.1007/s10950-023-10154-8
Дополнительные файлы











