Effect of Annealing on the Electrical Properties of (Bi + Sn)–Pb0.75Sn0.25Тe〈Sn〉 and (In + Ag + Au)–Pb0.75Sn0.25Тe〈Sn〉 Structures
- Authors: Akhundova N.M.1, Aliyeva T.D.2
-
Affiliations:
- Azerbaijani State Economic University, AZ1001, Baku, Azerbaijan
- Abdullaev Institute of Physics, Academy of Sciences of Azerbaijan, AZ1143, Baku, Azerbaijan
- Issue: Vol 59, No 1 (2023)
- Pages: 23-27
- Section: Articles
- URL: https://journal-vniispk.ru/0002-337X/article/view/140112
- DOI: https://doi.org/10.31857/S0002337X23010013
- EDN: https://elibrary.ru/OOOTKQ
- ID: 140112
Cite item
Full Text
Abstract
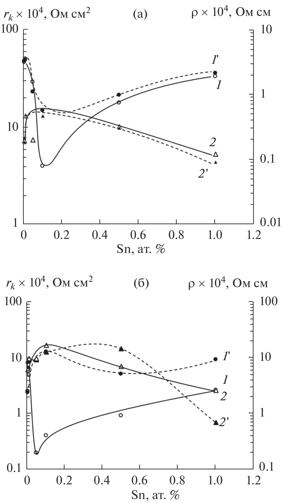
We have grown single crystals of the Pb0.75Sn0.25Тe solid solution containing up to 1.0 at % hyperstoichiometric Sn and produced metal–semiconductor structures based on the crystals with the use of Bi + Sn and In + Ag + Au eutectics. The effect of annealing on their electrical properties has been studied in the temperature range ~77–300 K. We assume that, filling vacancies in the Pb and Sn sublattices of the crystals, small amounts of excess Sn atoms reduce carrier concentration n, causing an increase in the resistivity ρ of the crystals and the specific contact resistance rc of the structures. High Sn concentrations lead to the formation of additional donor centers in the crystals, increasing n and, accordingly, reducing ρ and rc.
About the authors
N. M. Akhundova
Azerbaijani State Economic University, AZ1001, Baku, Azerbaijan
Email: tunzalaliyeva@mail.ru
Азербайджан, AZ 1001, Баку, ул. Истиглалият, 6
T. D. Aliyeva
Abdullaev Institute of Physics, Academy of Sciences of Azerbaijan, AZ1143, Baku, Azerbaijan
Author for correspondence.
Email: tunzalaliyeva@mail.ru
Азербайджан, AZ 1143, Баку, пр. Г. Джавида, 131
References
- Дмитриев А.В., Звягин И.П. Современные тенденции развития физики термоэлектрических материалов // УФН. 2010. Т. 180. № 8. С. 821–838. https://doi.org/10.3367/UFNr.0180.201008b.0821
- Икоников А.В., Дудин В.С., Артамакин А.И., Акимов А.Н., Климов А.Э., Рябова Л.И., Хохлов Д.Р. Оптические и транспортные свойства эпитаксиальных пленок Pb0.74Sn0.26Te(In) с модифицируемой поверхностью // ФТП. 2020. Т. 54. Вып. 9. С. 896–901. Переводная версия: https://doi.org/10.1134/S106378262009013410.1134/S1063782620090134https://doi.org/10.21883/FTP.2020.09.49828.20
- Охотин А.С., Ефимов А.А., Охотин В.С., Пушкарский А.С. Термоэлектрические генераторы. М.: Атомиздат, 1976. 320 с.
- Khokhlov D.R., Ivanchik I.I., Raines S.N., Watson D.M., Pipher J.L. Performance and Spectral Response of Pb1–xSnxTe(In) Far-Infrared Photodetectors // Appl. Phys. Lett. 2000. V. 76. № 20. P. 2835–2839. https://doi.org/10.1063/1.126489
- Вайнер А.Л. Каскадные термоэлектрические источники холода. М.: Сов. радио, 1976. 137 с.
- Штерн М.Ю., Караваев И.С., Рогачев М.С., Штерн Ю.И., Мустафаев Б.Р., Корчагин Е.П., Козлов А.О. Методики исследования электрического контактного сопротивления в структуре металлическая пленка—полупроводник // ФТП. 2022. Т. 56. Вып. 1. С. 31–37. https://doi.org/10.21883/FTP.2022.01.51808.24
- Стафеев В.И. Структура и свойства контактов CdxHg1–xTe-металл // ФТП. 2009. Т. 43. № 5. С. 636–639.
- Алиева Т.Д., Абдинов Д.Ш. Физико-химические и электрические явления на границе раздела кристаллов твердых растворов систем Bi2Te3–Sb2Te3, Bi2Te3–Bi2Se3 с контактными материалами // Неорган. материалы. 1997. Т. 33. № 4. С. 27–38.
- Бархалов Б.Ш., Ахундова Н.М., Абдинов Д.Ш. Исследование границы раздела твердых растворов Bi2Te3–Sb2Te3, Bi2Te3–Bi2Se3 и сплавов систем Bi2Te3–Sb2Te3, Bi2Te3–Bi2Se3 с контактными материалами // Неорган. материалы. 1990. Т. 26. № 7. С. 1427–1431.
- Штерн М.Ю., Козлов А.О., Штерн Ю.И., Рогачев М.С., Корчагин Е.П., Мустафаев Б.Р., Дедкова А.А. Получение и исследование омических контактов с высокой адгезией к термоэлементам // ФТП. 2021. Т. 55. Вып. 12. С. 1097–1104. https://doi.org/10.21883/FTP.2021.12.51689.01
- Алиева Т.Д., Абдинова Г.Д., Ахундова Н.М., Исмайлова Р.А., Абдинов Д.Ш. Физико-химические процессы на границе раздела некоторых полупроводниковых твердых растворов с контактными сплавами // ЖФХ. 2009. Т. 83. № 12. С. 2336–2339.
- Кайданов B.И., Равич Ю.И. Глубокие и резонансные состояния в полупроводниках типа AIVBVI // УФН. 1985. Т. 145. № 1. С. 51–86. https://doi.org/10.3367/UFNr.0145.198501b.0051
- Рябова Л.И., Хохлов Д.Р. Терагерцовая фотопроводимость и нетривиальные локальные электронные состояния в легированных полупроводниках на основе теллурида свинца // УФН. 2014. Т. 184. № 10. С. 1033–1044. https://doi.org/10.3367/UFNr.0184.201410b.1033
- Белоконь С.А., Верещагина Л.Н., Иванчик И.И., Рябова Л.И., Хохлов Д.Р. Характер изменения свойств PbTe〈Ga〉 при изменении степени легирования // ФТП. 1992. Т. 26. Вып. 2. С. 264–269.
- Багиева Г.З., Мустафаев Н.Б., Абдинова Г.Д., Абдинов Д.Ш. Электрические свойства монокристаллов PbTe с избытком теллура // ФТП. 2011. Т. 45. Вып. 11. С. 1446–1449.
- Ахундова Н.М., Абдинова Г.Д. Перенос электрического заряда и теплоты в кристаллах SnTe c различными концентрациями вакансий в подрешетке олова // Изв. вузов. Физика. 2020. Т. 63. № 7. С. 120–124. https://doi.org/10.17223/00213411/63/7/120
- Багиева Г.З., Абдинова Г.Д., Мустафаев Н.Б., Абдинов Д.Ш. Теплопроводность сплавов олова с теллуридом олова // Неорган. материалы. 2020. Т. 56. № 7. С. 727–731. https://doi.org/10.31857/S0002337X20070027
- Равич Ю.И., Ефимова Б.А., Смирнов И.А. Методы исследования полупроводников в применении халькогенидам свинца PbTe, PbSe, PbS. М.: Наука, 1968. 384 с.
- Абрикосов Н.Х., Шелимова Л.Е. Полупроводниковые материалы на основе соединений AIVBVI. M.: Наука, 1975. 195 с.
- Aliyeva T.D., Abdinova G.D., Akhundova N.M., Dafarova S.Z. Current flow mechanizm in contact (In–Ag–Au)–Pb1–xMnxTe // Trans. Nat. Acad. Sci. Az., Ser. Phys.-Math. Tech. Sci. Phys. Astron. 2011. V. 31. № 2. P. 126–130.
- Физико-химические свойства полупроводниковых веществ: Справочник / Под ред. Новоселовой А.В., Лазарева В.Б. М.: Наука, 1979. 339 с.
- Краткий справочник физико-химических величин / Под ред. Мищенко К.П., Равдели А.А. Л.: Химия, 1967. 182 с.
- Бланк Т.В., Гольдберг Ю.А. Механизм протекания тока в омических контактах металл-полупроводник // ФТП. 2007. Т. 41. Вып. 11. С. 1281–1309.
Supplementary files






