Phase Formation in the V2O5–AlN System
- Authors: Larionov V.A.1, Gulyaeva R.I.1, Nifontova E.A.1
-
Affiliations:
- Institute of Metallurgy, Ural Branch, Russian Academy of Sciences, 620016, Yekaterinburg, Russia
- Issue: Vol 59, No 1 (2023)
- Pages: 61-70
- Section: Articles
- URL: https://journal-vniispk.ru/0002-337X/article/view/140118
- DOI: https://doi.org/10.31857/S0002337X23010141
- EDN: https://elibrary.ru/OTLEGU
- ID: 140118
Cite item
Full Text
Abstract
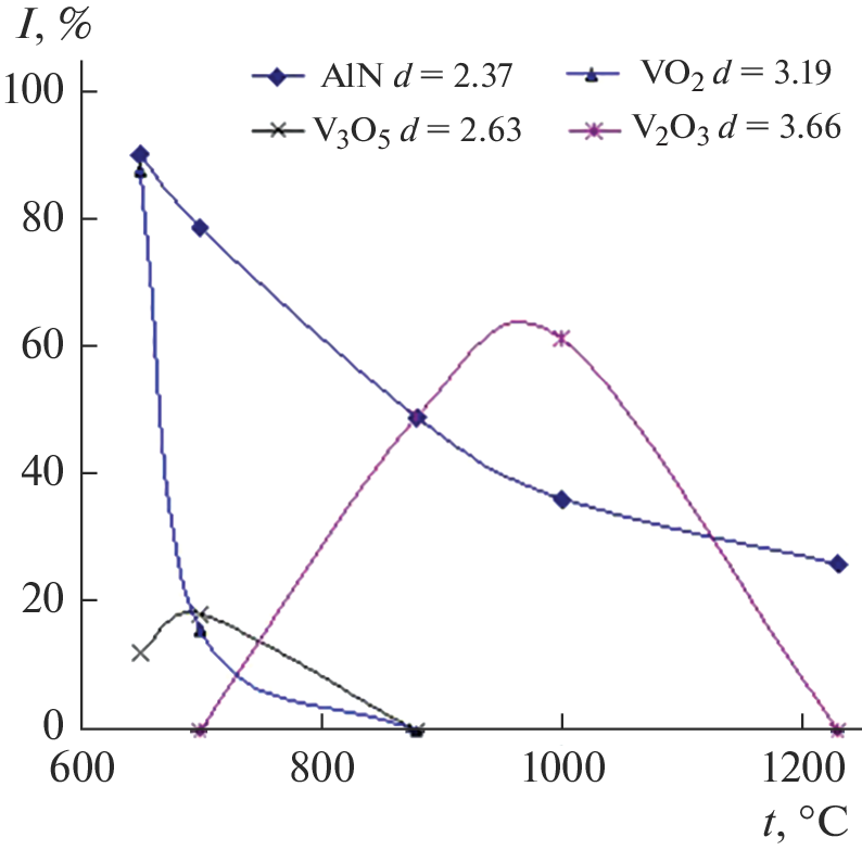
Interactions in the V2O5–AlN system have been studied using chemical analysis, X-ray diffraction, and thermal analysis in combination with mass spectrometry. The results demonstrate that heating mixtures with AlN/V2O5 molar ratios ≥2.33 to above 1100°C leads to the formation of the vanadium nitrides V2N, VN0.81, and VN among condensed reaction products. No formation of solid solutions of aluminum in vanadium or vanadium aluminides during heating has been detected in the temperature range studied. Chemical interaction of V2O5 with AlN meets Baikov’s transformation sequence principle: V2O5 → VO2 → V4O7 → V3O5 → V2O3 → VO → V.
About the authors
V. A. Larionov
Institute of Metallurgy, Ural Branch, Russian Academy of Sciences, 620016, Yekaterinburg, Russia
Email: larionov.imet@ya.ru
Россия, 620016, Екатеринбург, ул. Амундсена, 101
R. I. Gulyaeva
Institute of Metallurgy, Ural Branch, Russian Academy of Sciences, 620016, Yekaterinburg, Russia
Email: larionov.imet@ya.ru
Россия, 620016, Екатеринбург, ул. Амундсена, 101
E. A. Nifontova
Institute of Metallurgy, Ural Branch, Russian Academy of Sciences, 620016, Yekaterinburg, Russia
Author for correspondence.
Email: larionov.imet@ya.ru
Россия, 620016, Екатеринбург, ул. Амундсена, 101
References
- Косолапова Т.Я. Тугоплавкие нитриды. Киев: Наук. думка, 1983. 174 с.
- Самсонов Г.В. Неметаллические нитриды. М.: Металлургия, 1969. 264 с.
- Virkar A.V., Jackson T.B., Cutler R.A. Thermodynamic and Kinetic Effects of Oxygen Removal on the Thermal Conductivity of Aluminum Nitride // J. Am. Ceram. Soc. 1989. V. 72. № 11. P. 2031–2042. https://doi.org/10.1111/j.1151-2916.1989.tb06027.x
- Никитушкин И.В., Сивков А.А., Иватушенко А.С. Плазмодинамический синтез ультрадисперсного нитрида алюминия и получение AlN-керамики методом искрового плазменного спекания // Решетневские чтения. 2017. № 21-1. С. 156–157.
- Савченко Е.М., Чупрунов А.Г., Сидоров В.А., Биларус И.А. Алюмонитридная керамика в коммутационных платах силовой электроники // Электрон. техника. Сер. 2: Полупроводниковые приборы. 2019. №. 4 (255). С. 43. https://doi.org/10.36845/2073-8250-2019-255-4-43-54
- Cannard P., Ekström T., Tilley R.J.D. The Reaction of AlN with Some Metal Oxides at High Temperatures // J. Eur. Ceram. Soc. 1992. V. 9. № 1. P. 53–60. https://doi.org/10.1016/0955-2219(92)90077-Q
- Toy C., Savrun E. Novel Composites in the Aluminum Nitride-Zirconia and—Hafnia Systems // J. Eur. Ceram. Soc. 1998. V. 18. № 1. P. 23–29. https://doi.org/10.1016/S0955-2219(97)00104-0
- Qiao L., Zhou H., Xue H., Wang S. Effect of Y2O3 on Low Temperature Sintering and Thermal Conductivity of AlN Ceramics // J. Eur. Ceram. Soc. 2003. V. 23. № 1. P. 61–67. https://doi.org/10.1016/S0955-2219(02)00079-1
- Fabrichnaya O., Pavlyuchkov D., Neher R., Herrmann M., Seifert H.J. Liquid Phase Formation in the System Al2O3–Y2O3–AlN: Part II. Thermodynamic Assessment // J. Eur. Ceram. Soc. 2013. T. 33. № 13–14. P. 2457–2463. https://doi.org/10.1016/j.jeurceramsoc.2013.05.004
- González J.C., Rodríguez M.Á., Figueroa I.A., Villafuerte-Castrejón M.-E., Díaz G.C. Development of AlN and TiB2 Composites with Nb2O5, Y2O3 and ZrO2 as Sintering Aids // Materials. 2017. V. 10. № 3. P. 324. https://doi.org/10.3390/ma10030324
- Рылов А.Н., Райков А.Ю., Мартынов А.В., Чумарев В.М., Ларионов А.В., Сельменских Н.И. Использование нитрида алюминия при выплавке лигатуры V–Al–N // Металлы. 2013. № 4. С. 3–7.
- Закоржевский В.В., Боровинская И.П., Дубровский А.Я., Зелянский А.В., Паздников И.П., Чумарев В.М. Способ получения азотсодержащего материала на основе нитридов металлов для лигатур титановых сплавов и азотсодержащий материал для лигатур титановых сплавов: Пат. 2422246. РФ БИ № 18.
- Закоржевский В.В., Ковалев И.Д., Дубровский А.Я. Самораспространяющийся высокотемпературный синтез азотсодержащего материала на основе нитридов алюминия и ванадия для получения лигатур титановых сплавов // Новые огнеупоры. 2018. № 8. С. 49–52. https://doi.org/10.17073/1683-4518-2018-8-49-52
- Чумарев В.М., Ларионов А.В., Cельменских Н.И., Панкратов А.А., Дубровский А.Я., Pылов А.Н., Райков А.Ю. Cтруктура и фазовый состав лигатуры V–Al–N // Металлы. 2012. № 6. С. 9–15.
- Taranov D.V., Larionov A.V., Chumarev V.M., Smirnov L.A., Trubachev M.V., Vohmentsev S.A. Structure and Phase Composition of V–Al–N–C Master Alloy // Theoretical and Practical Conference with International Participation and School for Young Scientists “FERROALLOYS: Development Prospects of Metallurgy and Machine Building Based on Completed Research and Development” (NIOKR-2018). Yekaterinburg, 2018 // KnE Materials Science. 2019. P. 118–125. https://doi.org/10.18502/kms.v5i1.3958
- Лякишев Н.П., Плинер Ю.Л., Игнатенко Г.Ф., Лаппо С.И. Алюминотермия. М.: Металлургия, 1978. 424 с.
- Ларионов А.В. Физико-химическое обоснование применения нитрида алюминия при выплавке ванадийсодержащих азотированных лигатур для титановых сплавов: дис. … канд. техн. наук. Екатеринбург: ИМЕТ УрО РАН, 2016. 121 с.
- Чумарев В.М., Марьевич В.П., Ларионов А.В., Дубровский А.Я. Взаимодействие V2O5, Nb2O5 и Ta2O5 с AlN // Неорган. материалы. 2011. Т. 47. № 3. С. 317–322.
- Roine A. Outokumpu HSC Chemistry for Windows. Chemical Reactions and Equilibrium Software with Extensive Thermochemical Database. Pori: Outokumpu Research OY, 2002.
- Удоева Л.Ю., Чумарев В.М., Ларионов А.В., Рылов А.М., Трубачев М.В. Моделирование алюминотермической выплавки сплавов Mo–Ti–Al и Mo–Ti–V–Cr–Al // Металлы. 2013. № 2. С. 12–19.
- База данных ICDD PDF2 № 01-077-2131.
- Prytz O., Flage-Larsen E., Gu L. Charge-Ordered Spinel AlV2O4: High-Energy-Resolution EELS and Computational Studies // Phys. Rev. B: Condens. Matter. 2012. V. 85. № 19. https://doi.org/10.1103/PhysRevB.85.195112
- Kalavathi S., Amirthapandian S., Chandra S. et al. Valence State, Hybridization and Electronic Band Structure in the Charge Ordered // J. Phys.: Condens. Matter. 2014. V. 26. № 1. https://doi.org/10.1088/0953-8984/26/1/015601
- Елютин В.П., Павлов Ю.А. Высокотемпературные материалы М.: Металлургия, 1972. 264 с.
- База данных ICDD PDF2 № 01-071-6420; № 01-077-2173; № 03-065-2896; № 03-065-4054; № 03-065-9475.
- База данных ICDD PDF2 № 01-071-1139.
- База данных ICDD PDF2 № 00-025-1252.
- Carlson O.N., Smith J.F., Nafziger R.H. The Vanadium-Nitrogen System: a Review // Metall. Mater. Trans. A. 1986. V. 17. № 10. P. 1647–1656. https://doi.org/10.1007/BF02817263
- Ефимов А.И., Белорукова Л.П., Василькова И.В., Чечев В.П. Свойства неорганических соединений. Л.: Химия, 1983. 392 с.
Supplementary files









