Thermal Stability and Luminescence Properties of Cerium-Containing Tricalcium Phosphate
- Authors: Nikitina Y.O.1, Petrakova N.V.1, Kozyukhin S.A.2, Sirotinkin V.P.1, Konovalov A.A.1, Kargin Y.F.1, Barinov S.M.1, Komlev V.S.1
-
Affiliations:
- Baikov Institute of Metallurgy and Materials Science, Russian Academy of Sciences, 119334, Moscow, Russia
- Kurnakov Institute of General and Inorganic Chemistry, Russian Academy of Sciences, 119991, Moscow, Russia
- Issue: Vol 59, No 4 (2023)
- Pages: 408-418
- Section: Articles
- URL: https://journal-vniispk.ru/0002-337X/article/view/140147
- DOI: https://doi.org/10.31857/S0002337X23040097
- EDN: https://elibrary.ru/VUFIRQ
- ID: 140147
Cite item
Full Text
Abstract
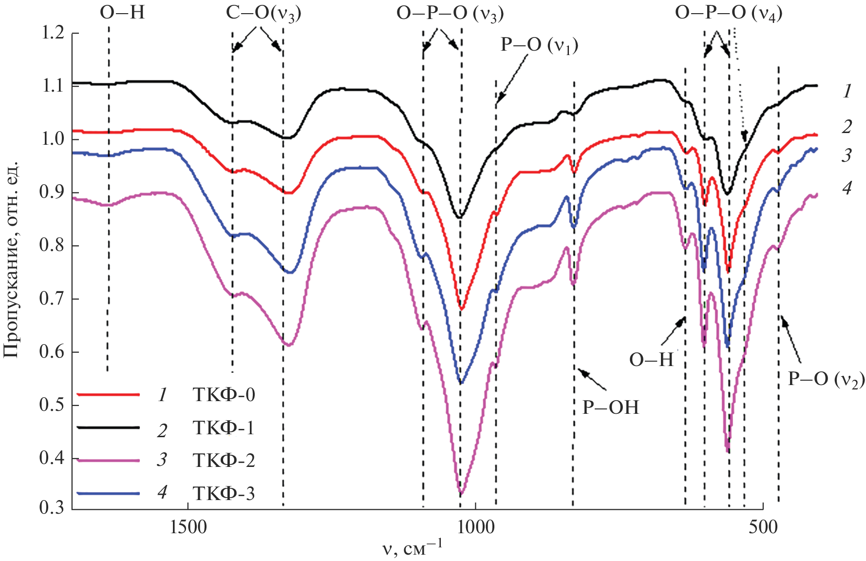
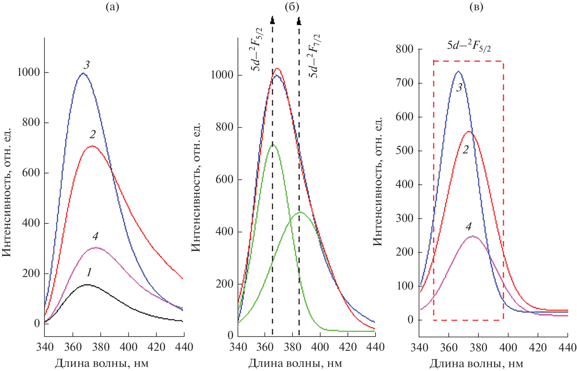
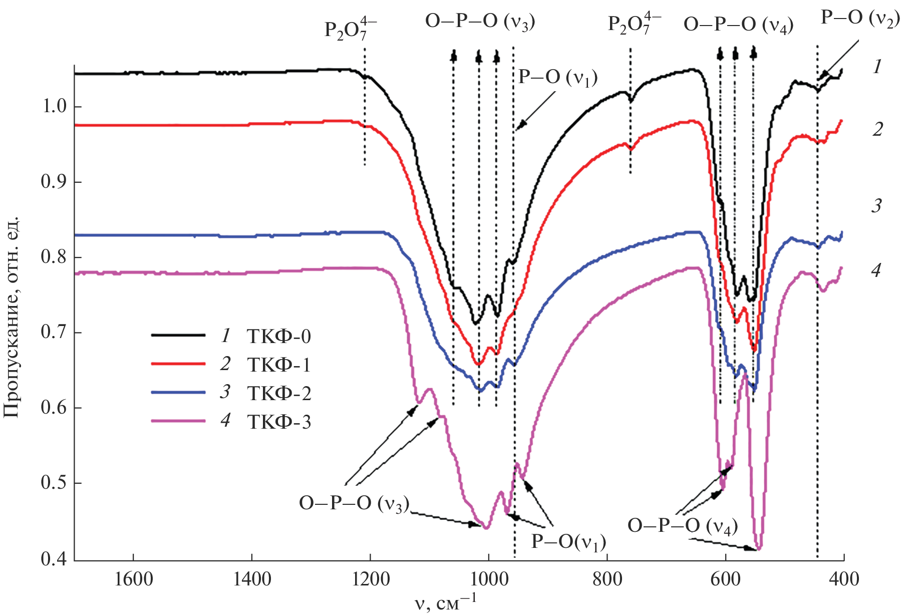
Cerium-containing tricalcium phosphate (TCP, Ca3(PO4)2) nanopowders with the whitlockite structure have been prepared via precipitation from solution. After heat treatment at 1300°C, the materials contained 0, 0.07, 0.18, and 0.39 wt % cerium, which corresponded to х = 0, 0.0025, 0.006, and 0.013 in the general formula Ca3 – хCe2х/3(PO4)2. The thermal stability of β-TCP has been shown to increase with increasing cerium content. The synthesized cerium-containing TCP powders show luminescence properties under excitation at wavelengths from 270 to 320 nm, with a peak emission wavelength from 360 to 390 nm, characteristic of Ce3+ luminescence. Varying the percentage of cerium in the materials and heat treatment temperature causes the emission spectrum to shift.
About the authors
Yu. O. Nikitina
Baikov Institute of Metallurgy and Materials Science, Russian Academy of Sciences, 119334, Moscow, Russia
Email: nyo.94@yandex.ru
Россия, 119334, Москва, Ленинский пр., 49
N. V. Petrakova
Baikov Institute of Metallurgy and Materials Science, Russian Academy of Sciences, 119334, Moscow, Russia
Email: petrakova.nv@mail.ru
Россия, 119334, Москва, Ленинский пр., 49
S. A. Kozyukhin
Kurnakov Institute of General and Inorganic Chemistry, Russian Academy of Sciences, 119991, Moscow, Russia
Email: komlev@mail.ru
Россия, 119991, Москва, Ленинский пр., 31
V. P. Sirotinkin
Baikov Institute of Metallurgy and Materials Science, Russian Academy of Sciences, 119334, Moscow, Russia
Email: komlev@mail.ru
Россия, 119334, Москва, Ленинский пр., 49
A. A. Konovalov
Baikov Institute of Metallurgy and Materials Science, Russian Academy of Sciences, 119334, Moscow, Russia
Email: komlev@mail.ru
Россия, 119334, Москва, Ленинский пр., 49
Yu. F. Kargin
Baikov Institute of Metallurgy and Materials Science, Russian Academy of Sciences, 119334, Moscow, Russia
Email: komlev@mail.ru
Россия, 119334, Москва, Ленинский пр., 49
S. M. Barinov
Baikov Institute of Metallurgy and Materials Science, Russian Academy of Sciences, 119334, Moscow, Russia
Email: komlev@mail.ru
Россия, 119334, Москва, Ленинский пр., 49
V. S. Komlev
Baikov Institute of Metallurgy and Materials Science, Russian Academy of Sciences, 119334, Moscow, Russia
Author for correspondence.
Email: komlev@mail.ru
Россия, 119334, Москва, Ленинский пр., 49
References
- Sun Ch., Gradzielski M. Advances in Fluorescence Sensing Enabled by Lanthanide-Doped Upconversion Nanophosphors // Adv. Colloid Interface Sci. 2022. V. 300. P. 102579. https://doi.org/10.1016/j.cis.2021.102579
- Uspenskaya Yu.A., Edinach E.V., Gurin A.S., Babunts R.A., Asatryan H.R., Romanov N.G., Baranov P.G. Light and Spins in Rare-Earth Doped Garnets // J. Lumin. 2022. V. 251. P. 119166. https://doi.org/10.1016/j.jlumin.2022.119166
- Nazabal V., Adam J.L. Infrared Luminescence of Chalcogenide Glasses Doped with Rare Earth Ions and Their Potential Applications // Opt. Mater. X. 2022. V. 15. P. 100168. https://doi.org/10.1016/j.omx.2022.100168
- Ansari A.A., Parchur A.K., Nazeeruddin M.K., Tavakolid M.M. Luminescent Lanthanide Nanocomposites in Thermometry: Chemistry of Dopant Ions and Host Matrices // Coord. Chem. Rev. 2021. V. 444. P. 214040. https://doi.org/10.1016/j.ccr.2021.214040
- Ignatieva L.N., Marchenko Yu.V., Mashchenko V.A., Mirochnik A.G., Maslennikova I.G., Goncharuk V.K. Effect of EuF on Thermal and Luminescent Properties of Glasses in the 30BaZrF670NaPO3–xEuF3 System // Russ. J. Inorg. Chem. 2022. V. 67. P. 1639–1645. https://doi.org/10.1134/S0036023622100461
- Siakavelas G.I., Charisiou N.D., AlKhoori A., Sebastian V., Hinder S.J., Baker M.A., Yentekakis I.V., Polychronopoulou K., Goula M.A. Cerium Oxide Catalysts for Oxidative Coupling of Methane Reaction: Effect of Lithium, Samarium and Lanthanum Dopants // J. Environ. Chem. Eng. 2022. V. 10. P. 107259. https://doi.org/10.1016/j.jece.2022.107259
- Порсин А.В., Аликин Е.А., Данченко А.М. и др. Измерение кислородной емкости оксидов CexM1–xO2 в реакции окисления СО // Катализ в промышленности. 2007. № 6. С. 39–45.
- Ueda J., Tanade S. Review of Luminescent Properties of Ce3+-Doped Garnet Phosphors: New Insight into the Effect of Crystal and Electronic Structure // Opt. Mater. X. 2019. V. 1. P. 100018. https://doi.org/10.1016/j.omx.2019.100018
- Nandiyanto A.B.D., Kito Yu., Hirano T., Ragadhita R., Ph. H.Le, Ogi T. Spherical Submicron YAG:Ce Particles with Controllable Particle outer Diameters and Crystallite Sizes and their Photoluminescence Properties // RSC Adv. 2021. V. 11. № 48. P. 30305–30314. https://doi.org/10.1039/d1ra04800g
- Zhang Q., Xiong Y., Shi Q., Shi Y., Niu M., Liu W., Wu T., Wang L., Zhou Zh., Liu Q., Fang J., He H., Ni J., Wang Ch., Yu J., Wang H., Shichalin O., Belov A.A., Papynov E.K., Ivanets A.I., Zou J. Effect of Ce3+2O2 + Persistent Phosphors for Alternating Current Driven Light-Emitting Diodes // Russ. J. Inorg. Chem. 2022. V. 67. P. 1442–1450. https://doi.org/10.1134/S0036023622090212
- Казанкин О.Н., Ижевский М.Б., Александрова Р.А., Кудряшов Г.Н., Барковская И.Н. Способ получения люминофора: Патент 219726. РФ. Заявка: 1009139/23-26, 1965.05.27. Опубл.: 1968.06.14. 2 с.
- Воробьев В.А., Власьянц Г.Р., Каргин Н.И., Синельников Б.М. Материал для преобразования света и композиция для его получения: Патент 2319728 С1. РФ. Заявка: 2006120641/04, 2006.06.13. Опубл.: 2008.03.20. 16 с.
- Баринов С.М., Комлев В.С. Биокерамика на основе фосфатов кальция. М.: Наука, 2014. 204 с.
- Carrodeguas R.G., De Aza S. α-Tricalcium Phosphate: Synthesis, Properties and Biomedical Applications // Acta Biomater. 2011. V. 7. P. 3536. https://doi.org/10.1016/j.actbio.2011.06.019
- Bohner M., Santoni B.L.G., Döbelin N. β-Tricalcium Phosphate for Bone Substitution: Synthesis and Properties // Acta Biomater. 2020. V. 113. P. 23–41. https://doi.org/10.1016/j.actbio.2020.06.022
- Ларионов Д.С., Битанова В.А., Евдокимов П.В., Гаршев А.В., Путляев В.И. Золь–гель-синтез порошков Cа3(PO4)2 и Ca3–хNa2х(PO4)2 для формирования биокерамики методом 3D-печати // Неорган. материалы. 2022. Т. 58. № 3. С. 317–326. https://doi.org/10.31857/S0002337X22030095
- Фадеева И.В., Рыжов А.П., Титов Д.Д., Филипов Я.Ю., Тютькова Ю.Б., Давыдова Г.А., Баринов С.М. Керамика из барийзамещенных трикальцийфосфатов // Неорган. материалы. 2022. Т. 58. № 3. С. 333–340. https://doi.org/10.31857/S0002337X22030034
- Grigg A.T., Mee M., Mallinson P.M., Fong S.K., Gan Z., Dupree R., Holland D. Cation Substitution in β-Tricalcium Phosphate Investigated Using Multi-Nuclear, Solid-State NMR // J. Solid State Chem. 2014. V. 212. P. 227–236. https://doi.org/10.1016/J.JSSC.2013.10.026
- Dickens B., Schroeder L.W., Brown W.E. Crystallographic Studies of the Rrole of Mg as a Stabilizing Impurity in β-Ca3(PO4)2. The Crystal Structure of Pure β-Ca3(PO4)2 // J. Solid State Chem. 1974. V. 10. № 2. P. 232–248. https://doi.org/10.1016/0022-4596(74)90030-9
- Famery R., Richard N., Boch Ph. Preparation of α- and β-Tricalcium Phosphate Ceramics, with and without Magnesium Addition // Ceram. Int. 1994. V. 20. № 5. P. 327. https://doi.org/10.1016/0272-8842(94)90050-7
- Lazoryak B.I., Zhukovskaya E.S., Baryshnikova O.V., Belik A.A., Leonidova O.N., Deyneko D.V., Savon A.E., Dorbakov N.G., Morozova V.A. Luminescence, Structure and Antiferroelectric-type Phase Transition in Ca8ZnEu(PO4)7 // Mater. Res. Bull. 2018. V. 104. P. 20–26. https://doi.org/10.1016/J.MATERRESBULL.2018.03.052
- Deyneko D.V., Morozov V.A., Zhukovskaya E.S., Nikiforov I.V., Spassky D.A., Belik A.A., Lazoryak B.I. The Influence of Second Coordination-sphere Interactions on the Luminescent Properties of β-Ca3(PO4)2-related Compounds // J. Alloys Compd. 2020. V. 815. P. 152353. https://doi.org/10.1016/j.jallcom.2019.152352
- Benhamou R.A., Bessière A., Wallez G., Viana B., Elaatmani M., Daoud M., Zegzouti A. New Insight in the Structure-luminescence Relationships of Ca9Eu(PO4)7 // J. Solid State Chem. 2009. V. 182. P. 2319–2325. https://doi.org/10.1016/J.JSSC.2009.06.018
- Sinusaite L., Kareiva A., Zarkov A. Thermally Induced Crystallization and Phase Evution of Amorphous Calcium Phosphate Substituted with Divalent Cations Having Different Sizes // ACS Cryst. Growth Des. 2021. V. 21. P. 1242–1248. https://doi.org/10.1021/ACS.CGD.0C01534
- Enderle R., Götz-Neunhoeffer F., Göbbels M., Müller F.A., Greil P. Influence of Magnesium Doping on the Phase Transformation Temperature of β-TCP Ceramics Examined by Rietveld Refinement // Biomaterials. 2005. V. 26. № 17. P. 3379–3384. https://doi.org/10.1016/j.biomaterials.2004.09.017
- Qiu Ch., Lu T., He F., Feng S., Fang X., Zuo F., Jiang Q., Deng X., Ye J. Influences of Gallium Substitution on the Phase Stability, Mechanical Strength and Cellular Response of β-Tricalcium Phosphate Bioceramics // Ceram. Int. 2020. V. 46. № 10. P. 16364–16371. https://doi.org/10.1016/j.ceramint.2020.03.195
- Lutterotti L., Matthies S., Wenk H.-R. MAUD: a Friendly Java Program for Material Analysis Using Diffraction. IUCr: Newsletter of the CPD. 1999. V. 21. P. 14–15.
- Sofronia A.M., Baies R., Anghel E.M., Marinescu C.A., Tanasescu S. Thermal and Structural Characterization of Synthetic and Natural Nanocrystalline Hydroxyapatite // Mater. Sci Eng., C. 2014. V. 43. P. 153–163. https://doi.org/10.1016/j.msec.2014.07.023
- Mathew M., Shozo T. Structures of Biological Minerals in Dental Research // J. Res. Natl. Inst. Stand. Technol. 2001. V. 106. № 6. P. 1035–1044. https://doi.org/10.6028/jres.106.054
- Matković I., Maltar-Strmečki N., Babić-Ivančić V., Dutour Sikirić M., Noethig-Laslo V. Characterisation of β-Tricalcium Phosphate-Based Bone Substitute Materials by Electron Paramagnetic Resonance Spectroscopy // Radiat. Phys. Chem. 2012. V. 81. № 10. P. 1621. https://doi.org/10.1016/j.radphyschem.2012.04.012
- Raynaud S., Champion E., Bernache-Assollant D., Thomas P. Calcium Phosphate Apatites with Variable Ca/P Atomic Ratio I. Synthesis, Characterisation and Thermal Stability of Powders // Biomaterials. 2002. V. 23. № 4. P. 1065. https://doi.org/10.1016/S0142-9612(01)00218-6
- Combes C., Rey C. Amorphous Calcium Phosphates: Synthesis, Properties and Uses in Biomaterials // Acta Biomater. 2010. V. 6. № 9. P. 3362–3378. https://doi.org/10.1016/j.actbio.2010.02.017
- Marques C.F., Olhero S., Abrantes J.C.C., Marote A., Ferreira S., Vieira S.I., Ferreira J.M.F. Biocompatibility and Antimicrobial Activity of Biphasic Calcium Phosphate Powders Doped with Metal Ions for Regenerative Medicine // Ceram. Int. 2017. V. 43. № 17. P. 15719–15728. https://doi.org/10.1016/j.ceramint.2017.08.133
- Glazov I.E., Krut’ko V.K., Musskaya O.N., Kulak A.I. Calcium Phosphate Apatites: Wet Formation, Thermal Transformations, Terminology, and Identification // Russ. J. Inorg. Chem. 2022. V. 67. P. 173–182. https://doi.org/10.1134/S0036023622020048
- Mortier A., Lemaître J., Rouxhet P.G. Temperature-Programmed Characterization of Synthetic Calcium-deficient Phosphate Apatites // Thermochim. Acta. 1989. V. 143. P. 265.
- Jillavenkatesa A., Condrate R.A. The Infrared and Raman Spectra of β- and α-Tricalcium Phosphate (Ca3(PO4)2) // Spectrosc. Lett. 1998. P. 1619–1634. https://doi.org/10.1080/00387019808007439
- Torres P.M.C., Abrantes J.C.C., Kaushal A., Pina S., Döbelin N., Bohner M.J., Ferreira M.F. Influence of Mg-Doping, Calcium Pyrophosphate Impurities and Cooling Rate on the Allotropic α ↔ β-Tricalcium Phosphate Phase Transformations // J. Eur. Ceram. Soc. 2016. V. 36. № 3. P. 817–827. https://doi.org/10.1016/j.jeurceramsoc.2015.09.037
- Welch J., Gutt W. High-Temperature Studies of the System Calcium Oxide-Phosphorus Pentoxide // J. Chem. Soc. 1961. P. 4442–4444. https://doi.org/10.1039/JR9610004442
- Jowsey J., Rowland R.E., Marshall J.H. The Deposition of the Rare Earths in Bone // Radiat. Res. 1958. V. 8. № 6. P. 490–501. https://doi.org/10.2307/3570441
- Знаменский Н.В., Малюкин Ю.В. Спектры и динамика оптических переходов редкоземельных ионов в кристаллах. М.: Физматлит, 2008. 191 с.
- Ding Y. et al. Efficient Manganese luminescence Induced by Ce3+-Mn2+ Energy Transfer in Rare Earth Fluoride and Phosphate Nanocrystals // Nanoscale Res. Lett. 2011. V. 6. № 1. P. 119. https://doi.org/10.1186/1556-276X-6-119
Supplementary files










