Kinetics and Mechanism of Calcium Hydride Synthesis of the Intermetallic Compound Cr2Ta
- 作者: Guryanov A.M.1,2, Yudin S.N.1,2, Kasimtsev A.V.1,2, Volodko S.S.1,2, Alimov I.A.1,2, Evstratov E.V.3
- 
							隶属关系: 
							- Tula State University
- LCC Metsintez
- Baikov Institute of Metallurgy and Materials Science, Russian Academy of Sciences
 
- 期: 卷 59, 编号 5 (2023)
- 页面: 481-493
- 栏目: Articles
- URL: https://journal-vniispk.ru/0002-337X/article/view/140148
- DOI: https://doi.org/10.31857/S0002337X23050056
- EDN: https://elibrary.ru/ZETAXB
- ID: 140148
如何引用文章
全文:
详细
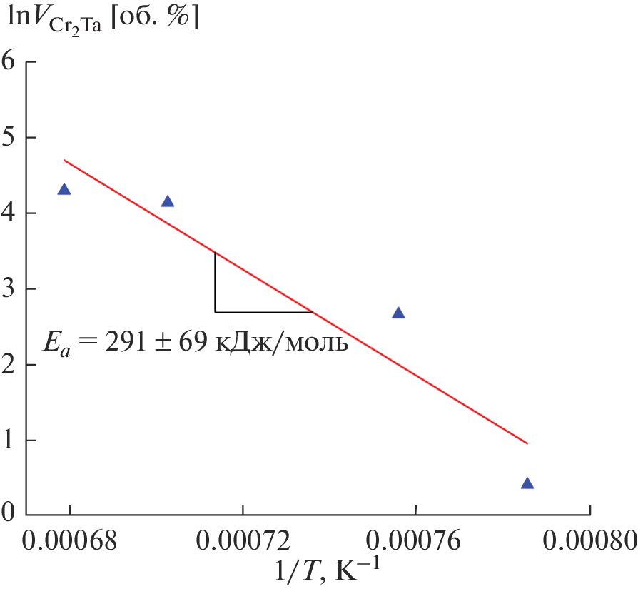
This paper presents results on the kinetics of the synthesis of the Cr2Ta intermetallic compound via calcium hydride reduction and the influence of various technological parameters on this process. We have observed anomalous Cr2Ta formation kinetics, in particular, an explosive increase in the amount of this phase as a certain synthesis temperature is reached. The apparent activation energy for the calcium hydride synthesis of the Cr2Ta intermetallic compound has been determined to be ~291 kJ/mol, approaching the activation energy for heterodiffusion in various Laves phases (Cr2Ti, Cr2Nb, Co2Nb, and Fe2Ti). The results obtained in this study are used to gain insight into the mechanism of the calcium hydride synthesis of Cr2Ta. Calcium hydride reduction has been shown to be potentially attractive for the preparation of refractory intermetallics. Further work in this direction will make it possible to obtain high-quality powder and compact articles from it.
作者简介
A. Guryanov
Tula State University; LCC Metsintez
														Email: alex19021861@gmail.com
				                					                																			                												                								300012, Tula, Russia; 300034, Tula, Russia						
S. Yudin
Tula State University; LCC Metsintez
														Email: alex19021861@gmail.com
				                					                																			                												                								300012, Tula, Russia; 300034, Tula, Russia						
A. Kasimtsev
Tula State University; LCC Metsintez
														Email: alex19021861@gmail.com
				                					                																			                												                								300012, Tula, Russia; 300034, Tula, Russia						
S. Volodko
Tula State University; LCC Metsintez
														Email: alex19021861@gmail.com
				                					                																			                												                								300012, Tula, Russia; 300034, Tula, Russia						
I. Alimov
Tula State University; LCC Metsintez
														Email: alex19021861@gmail.com
				                					                																			                												                								300012, Tula, Russia; 300034, Tula, Russia						
E. Evstratov
Baikov Institute of Metallurgy and Materials Science, Russian Academy of Sciences
							编辑信件的主要联系方式.
							Email: alex19021861@gmail.com
				                					                																			                												                								119334, Moscow, Russia
						
参考
- Bei H., Pharr G.M., George E.P. A Review of Directionally Solidified Intermetallic Composites for High-Temperature Structural Applications // J. Mater. Sci. 2004. V. 39. P. 3975–3984. https://doi.org/10.1023/B:JMSC.0000031479.32138.84
- Anton D.L., Shah D.M., Duhl D.N., Giamei A.F. Selecting High-Temperature Structural Intermetallic Compounds: The Engineering Approach // JOM. 1989. № 9. P. 12–16. https://doi.org/10.1007/BF03220324
- Duquette D.J., Stoloff N.S. Aerospace Applications of Intermetallics // Key Eng. Mater. 1992. V. 77–78. P. 289–304.https://doi.org/10.4028/www.scientific.net/KEM.77-78.289
- Liu C.T. Recent Advances in Ordered Intermetallics // Mater. Chem. Phys. 1995. V. 42. № 2. P. 77–86.
- Meier G.H., Pettit F.S. High Temperature Oxidation and Corrosion of Intermetallic Compounds // Mater. Sci. Technol.1992. V. 8. № 4. P. 331–338.https://doi.org/10.1179/mst.1992.8.4.331
- Intermetallic Compounds. Structural Applications of Intermetallic Compounds / Eds. Westbrook J.H., Fleischer R.L. N. Y.: Wiley, 2000. V. 3. 346 p.
- Brady M.P., Tortorelli P.F., Walker L.R. Correlation of Alloy Microstructure with Oxidation Behavior in Chromia-Forming Intermetallic-Reinforced Cr Alloys // Mater. High Temp. 2000. V. 17. № 2. P. 235–241.https://doi.org/10.1179/mht.2000.17.2.009
- Brady M.P., Zhu J.H., Liu C.T., Tortorelli P.F., Walker L.R. Oxidation Resistance and Mechanical Properties of Laves Phase Reinforced Cr in-situ Composites // Intermetallics. 2000. V. 8. P. 1111–1118.https://doi.org/10.1016/S0966-9795(00)00046-7
- Юдин С.Н., Касимцев А.В., Володько С.С., Гурьянов А.М. Металлотермический синтез фазы Лавеса TaCr2 из оксидного сырья // Цв. металлы. 2020. № 11. С. 48–53.https://doi.org/10.17580/tsm.2020.11.07
- Venkatraman M., Neumann J.P. The Cr–Ta (Chromium-Tantalum) System // Bull. Alloy Phase Diagrams. 1987. V. 8. № 2. P. 112–116.https://doi.org/10.1007/BF02873190
- Shelekhov E.V., Sviridova T.A. Programs for X-ray Analysis of Polycrystals // Met. Sci. Heat Treat. 2000. V. 42. № 8. P. 309–313.https://doi.org/10.1007/BF02471306
- Rietveld H.M. A Profile Refinement Method for Nuclear and Magnetic Structures // J. Appl. Crystallogr. 1969. V. 2. № 2. P. 65–71.https://doi.org/10.1107/S0021889869006558
- Касимцев А.В., Жигунов В.В. Фазовые и структурные превращения при получении порошков интерметаллидов // ПМиФП. 2009. № 3. С. 5–12.
- Naoi D., Kajihara M. Growth Behavior of Fe2Al5 during Reactive Diffusion between Fe and Al at Solid-State Temperatures // Mater. Sci. Eng., A. 2007. V. 459. № 1–2. P. 375–382.https://doi.org/10.1016/j.msea.2007.01.099
- Horiuchi S., Blanchard R. Boron Diffusion in Polycrystalline Silicon Layers // Solid-State Electron. 1975. V. 18. № 6. P. 529–532. https://doi.org/10.1016/0038-1101(75)90029-5
- Liu J.C., Mayer J.W., Barbour J.C. Kinetics of NiAl3 and Ni2Al3 Phase Growth on Lateral Diffusion Couples // J. Appl. Phys. 1988. V. 64. № 2. P. 656–662. https://doi.org/10.1063/1.341957
- Меерсон Г.А., Колчин О.П. О механизме восстановления окислов циркония и титана гидридом кальция // Атомная энергия. 1957. Т. 2. Вып. 3. С. 253–259.
- Касимцев А.В., Левинский Ю.В. Гидридно-кальциевые порошки металлов, интерметаллидов, тугоплавких соединений и композиционных материалов. М.: Издательство МИТХТ, 2012. 247 с.
- Dupin N., Ansara L. Thermodynamic Assessment of the Cr–Ta System // J. Phase Equilib. 1993. V. 14. № 4. P. 451–456.https://doi.org/10.1007/BF02671963
- Dean J.A. Lange’s Handbook of Chemistry. Fifteenth edition. N. Y.: McGraw-Hill, 1999. 1424 p.
- Rogachev A.S., Gryadunov A.N., Kochetov N.A., Schukin A.S., Baras F., Politano O. High-Entropy-Alloy Binder for TiC-Based Cemented Carbide by SHS Method // Int. J. Self-Propag. High-Temp. Synth. 2019. V. 28. № 3. P. 196–198.https://doi.org/10.3103/S1061386219030117
- Rogachev A.S., Vadchenko S.G., Kochetov N.A., Kovalev D.Y., Kovalev I.D., Shchukin A.S., Gryadunov A.N., Baras F., Politano O. Combustion Synthesis of TiC-based Ceramic-Metal Composites with High Entropy Alloy Binder // J. Eur. Ceram. Soc. 2020. V. 40. № 7. P. 2527–2532.https://doi.org/10.1016/j.jeurceramsoc.2019.11.059
- Vignoul G.E., Tien J.K., Sanchez J.M. Characterization of the Deformation Behavior of the Cr2Nb Ordered Intermetallic System // Mater. Sci. Eng., A. 1993. V. 170. № 1–2. P. 177–183.
- Baumann W., Leineweber A., Mittemeijer E.J. The Kinetics of a Polytypic Laves Phase Transformation in TiCr2 // Intermetallics. 2011. V. 19. № 4. P. 526–535.https://doi.org/10.1016/j.intermet.2010.11.027
- Baheti V.A., Roy S., Ravi R., Paul A. Interdiffusion and the Phase Boundary Compositions in the Co–Ta System // Intermetallics. 2013. V. 33. P. 87–91.https://doi.org/10.1016/j.intermet.2012.09.020
- Denkinger M., Mehrer H. Diffusion in the C15-Type Intermetallic Laves Phase NbCo2 // Philos. Mag. A. 2000. V. 80. № 5. P. 1245–1263.https://doi.org/10.1080/01418610008212113
- Wein M., Levin L., Nadiv S. The Mechanism of Mixing and Reactive Diffusion in Intermetallics (TiFe2, TiCr2) // Philos. Mag. A. 1978. V. 38. № 1. P. 81–96.https://doi.org/10.1080/01418617808239219
- Baba M., Ono Y., Suzuki R.O. Tantalum and Niobium Powder Preparation from Their Oxides by Calciothermic Reduction in the Molten CaCl2 // J. Phys. Chem. Solids. 2005. V. 66. № 2–4. P. 466–470. https://doi.org/10.1016/j.jpcs.2004.06.042
- Suzuki R.O., Ikezawa M., Okabe T.H., Oishi T., Ono K. Preparation of TiAl and Ti3Al Powders by Calciothermic Reduction of Oxides // Mater. Trans., JIM. 1990. V. 31. № 1. P. 61–68.https://doi.org/10.2320/matertrans1989.31.61
- Suzuki R.O., Tatemoto K., Kitagawa H. Direct Synthesis of the Hydrogen Storage V–Ti Alloy Powder from the Oxides by Calcium Co-Reduction // J. Alloys Compd. 2004. V. 385. № 1–2. P. 173–180. https://doi.org/10.1016/j.jallcom.2004.04.137
- Okabe T.H., Fujiwara K., Oishi T., Ono K. A Fundamental Study on the Preparation of Niobium Aluminide Powders by Calciothermic Reduction // Metall. Trans. B. 1992. V. 23. № 4. P. 415–421https://doi.org/10.1007/BF02649659
- Wu K.H., Wang Y., Chou K.-C., Zhang G.H. Low-Temperature Synthesis of Single-Phase Refractory Metal Compound Carbides // Int. J. Refract. Met. Hard Mater. 2021. V. 98. P. 105567.https://doi.org/10.1016/j.ijrmhm.2021.105567
- Venkatraman M., Neumann J.P. The Ca-Cr (Calcium-Chromium) System // Bull. Alloy Phase Diagrams. 1985. V. 6. № 4. P. 335. https://doi.org/10.1007/BF02880513
补充文件
 
				
			 
						 
						 
						 
						 
					 
				
 
  
  
  电邮这篇文章
			电邮这篇文章 










