Experimental Study of the Binary System Mg3(PO4)2–Mg4Na(PO4)3
- Authors: Preobrazhenskiy I.I.1, Filippov Y.Y.1,2, Evdokimov P.V.1,3,4, Putlyaev V.I.1,3
-
Affiliations:
- Faculty of Materials Science, Moscow State University
- Research Institute of Mechanics, Moscow State University
- Faculty of Chemistry, Moscow State University
- Kurnakov Institute of General and Inorganic Chemistry, Russian Academy of Sciences
- Issue: Vol 59, No 5 (2023)
- Pages: 521-528
- Section: Articles
- URL: https://journal-vniispk.ru/0002-337X/article/view/140161
- DOI: https://doi.org/10.31857/S0002337X23050147
- EDN: https://elibrary.ru/KCKARG
- ID: 140161
Cite item
Full Text
Abstract
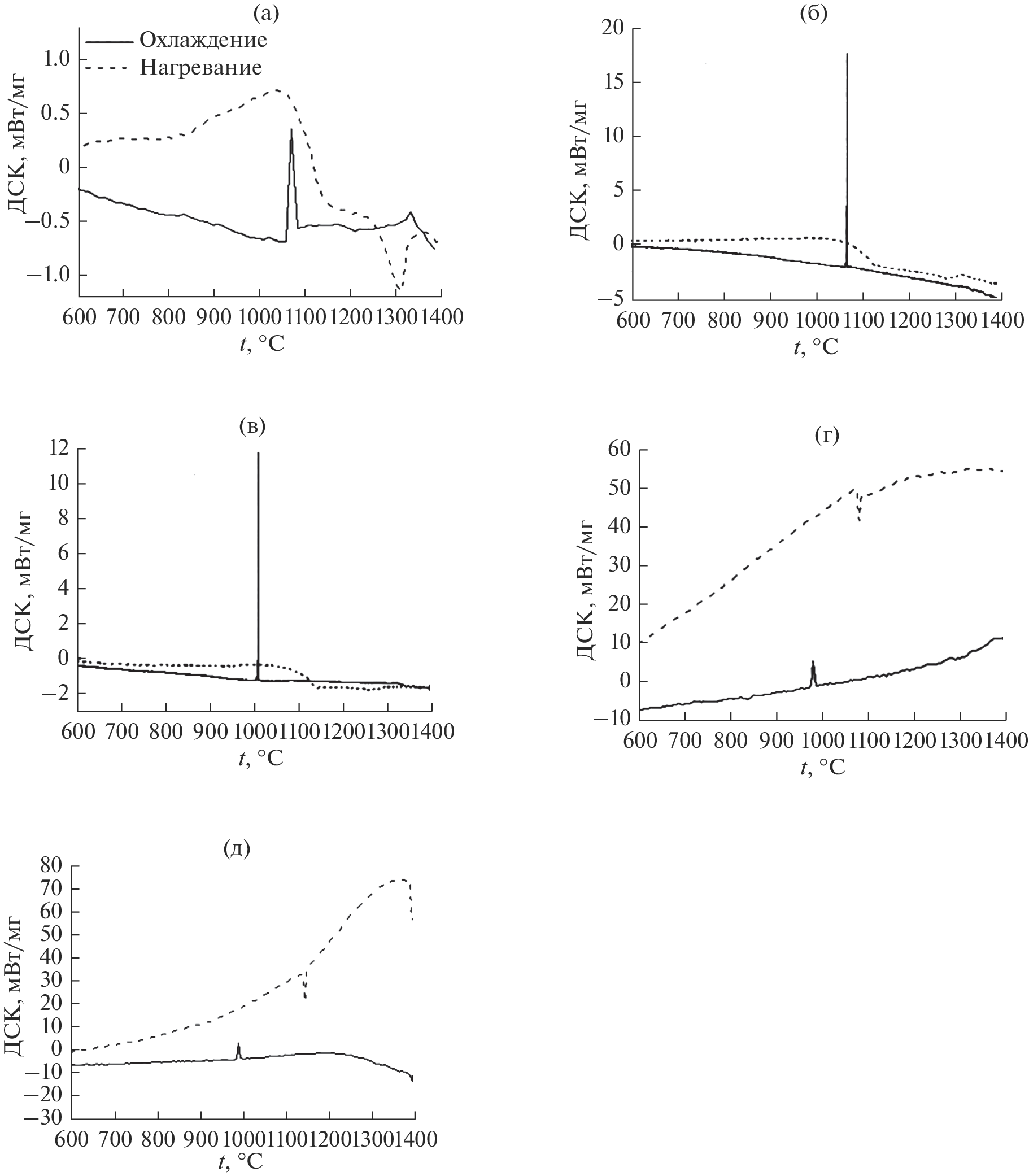
The Mg3(PO4)2–Mg4Na(PO4)3 system has been studied using thermal analysis, X-ray diffraction, and X-ray microanalysis. Firing the constituent phosphates at 800°C has been shown to cause no phase changes, whereas firing above 1000°C leads to the formation of a single-phase material, which is due to the incongruent melting of the magnesium sodium double orthophosphate Mg4Na(PO4)3. The homogeneity range of the compounds in the Mg3(PO4)2–Mg4Na(PO4)3 system differing in composition has been determined by X-ray microanalysis. The microstructure of Mg3–xNa2x(PO4)2-based ceramic materials prepared by sintering at a temperature of 1000°C has an average grain size under 10 μm. The synthesized bioceramic materials are potentially attractive for use as implants for bone tissue regeneration.
About the authors
I. I. Preobrazhenskiy
Faculty of Materials Science, Moscow State University
Email: preo.ilya@yandex.ru
119991, Moscow, Russia
Ya. Yu. Filippov
Faculty of Materials Science, Moscow State University; Research Institute of Mechanics, Moscow State University
Email: preo.ilya@yandex.ru
119991, Moscow, Russia; 119991, Moscow, Russia
P. V. Evdokimov
Faculty of Materials Science, Moscow State University; Faculty of Chemistry, Moscow State University; Kurnakov Institute of General and Inorganic Chemistry, Russian Academy of Sciences
Email: preo.ilya@yandex.ru
119991, Moscow, Russia; 119991, Moscow, Russia; 119991, Moscow, Russia
V. I. Putlyaev
Faculty of Materials Science, Moscow State University; Faculty of Chemistry, Moscow State University
Author for correspondence.
Email: preo.ilya@yandex.ru
119991, Moscow, Russia; 119991, Moscow, Russia
References
- Сафронова Т.В. Неорганические материалы для регенеративной медицины // Неорган. материалы. 2021. Т. 57. № 5. С. 467–499. https://doi.org/10.31857/S0002337X21050067
- Фадеева И.В., Фомин А.С., Баринов С.М., Давыдова Г.А., Селезнева И.И., Преображенский И.И., Русаков М.К., Фомина А.А., Волченкова В.А. Синтез и свойства марганецсодержащих кальцийфосфатных материалов // Неорган. материалы. 2020. Т. 56. № 7. С. 738–745. https://doi.org/10.31857/S0002337X20070052
- Wang X., Zhai D., Yao X., Wang Y., Ma H., Yu X., Du L., Lin H., Wu C. 3D Printing of Pink Bioceramic Scaffolds for Bone Tumor Tissue Therapy // Appl. Mater. Today. 2022. V. 27. P. 101443. https://doi.org/10.1016/j.apmt.2022.101443
- Голованова О.А. Формирование гранул фосфаты кальция/хитозан // Неорган. материалы. 2021. Т. 57. № 9. С. 999–1007. https://doi.org/10.31857/S0002337X21090098
- Preobrazhenskiy I.I., Tikhonov A.A., Evdokimov P.V., Shibaev A.V., Putlyaev V.I. DLP Printing of Hydrogel/Calcium Phosphate Composites for the Treatment of Bone Defects // Open Ceram. 2021. V. 6. P. 100115. https://doi.org/10.1016/j.oceram.2021.100115
- Солоненко А.П., Блесман А.И., Полонянкин Д.А., Горбунов В.А. Синтез композитов на основе фосфатов и силикатов кальция // Журн. неорган. химии. 2018. Т. 63. № 8. С. 953–960. https://doi.org/10.1134/S0044457X18080214
- Преображенский И.И., Тихонов А.А., Климашина Е.С., Евдокимов П.В., Путляев В.И. Набухание акрилатных гидрогелей, наполненных брушитом и октакальциевым фосфатом // Изв. АН. Сер. хим. 2020. № 8. С. 1601–1603. https://elibrary.ru/item.asp?id=43862779
- Преображенский И.И., Путляев В.И. Трехмерная печать биосовместимых материалов на основе гидрогелей // Журн. прикл. химии. 2022. Т. 95. № 6. С. 685–699. https://doi.org/10.31857/S0044461822060020
- Sun H., Zhang C., Zhang B., Song P., Xu X., Gui X., Chen X., Lu G., Li X., Liang J., Sun J., Jiang Q., Zhou C., Fan Y., Zhou X., Zhang X. 3D Printed Calcium Phosphate Scaffolds with Controlled Release of Osteogenic Drugs for Bone Regeneration // Chem. Eng. J. 2022. V. 427. P. 130961. https://doi.org/10.1016/j.cej.2021.130961
- Fadeeva I.V., Goldberg M.A., Preobrazhensky I.I., Mamin G.V., Davidova G.A., Agafonova N.V., Fosca M., Russo F., Barinov S.M., Cavalu S., Rau J.V. Improved Cytocompatibility and Antibacterial Properties of Zinc-Substituted Brushite Bone Cement Based on β-Tricalcium Phosphate // J. Mater. Sci.: Mater. Med. 2021. V. 32. № 9. P. 1–12. https://doi.org/10.1007/s10856-021-06575-x
- Zhang S., Zhang X., Zhao C., Li J., Song Y., Xie C., Tao H., Zhang Y., He Y., Jiang Y., Bian Y. Research on an Mg–Zn Alloy as a Degradable Biomaterial // Acta Biomater. 2010. V. 6. № 2. P. 626–640. https://doi.org/10.1016/j.actbio.2009.06.028
- Salimi M.H., Heughebaert J.C., Nancollas G.H. Crystal Growth of Calcium Phosphates in the Presence of Magnesium Ions // Langmuir. 1985. V. 1. № 1. P. 119–122. https://doi.org/10.1021/la00061a019
- Liu M., Liu H., Feng F., Xie A., Kang G.J., Zhao Y., Hou C.R., Zhou X., DudleyJr S.C. Magnesium Deficiency Causes a Reversible, Metabolic, Diastolic Cardiomyopathy // J. Am. Heart Assoc. 2021. P. e020205. https://doi.org/10.1161/JAHA.120.020205
- Gronowicz G., McCarthy M.B. Response of Human Osteoblasts to Implant Materials: Integrin-Mediated Adhesion // J. Orthop. Res. 1996. V. 14. № 6. P. 878–887. https://doi.org/10.1002/jor.1100140606
- Zhao X., Yang Z., Liu Q., Yang P., Wang P., Wei S., Liu A., Zhao Z. Potential Load-Bearing Bone Substitution Material: Carbon-Fiber-Reinforced Magnesium-Doped Hydroxyapatite Composites with Excellent Mechanical Performance and Tailored Biological Properties // ACS Biomater. Eng. 2022. https://doi.org/10.1021/acsbiomaterials.1c01247
- Chau C., Qiao F., Li Z. Potentiometric Study of the Formation of Magnesium Potassium Phosphate Hexahydrate // J. Mater. Civil Eng. 2012. V. 24. № 5. P. 586–591. https://doi.org/10.1061/(ASCE)MT.1943-5533.0000410
- Ewald A., Helmschrott K., Knebl G., Mehrban N., Grover L.M., Gbureck U. Effect of Cold-Setting Calcium- and Magnesium Phosphate Matrices on Protein Expression in Osteoblastic Cells // J. Biomed. Mater. Res. Part B: Appl. Biomater. 2011. V. 96. № 2. P. 326–332. https://doi.org/10.1002/jbm.b.31771
- Никитина Ю.О., Петракова Н.В., Ашмарин А.А., Титов Д.Д., Шевцов С.В., Пенкина Т.Н., Кувшинова Е.А., Баринов С.М., Комлев В.С., Сергеева Н.С. Получение и исследование свойств порошков и керамики медьзамещенного гидроксиапатита // Неорган. материалы. 2019. Т. 55. № 10. С. 1123–1129. https://doi.org/10.1134/S0002337X19100117
- Преображенский И.И., Путляев В.И. Синтез и фазовые превращения соединений системы Mg4Na(PO4)3–Mg3(PO4)2 в качестве перспективных фаз для изготовления биокерамики // Неорган. материалы. 2022. Т. 58. № 4. С. 367–373. https://doi.org/10.31857/S0002337X22030125
- Abbona F., Madsen H.L., Boistelle R. Crystallization of Two Magnesium Phosphates, Struvite and Newberyite: Effect of pH and Concentration // J. Cryst. Growth. 1982. V. 57. № 1. P. 6–14. https://doi.org/10.1016/0022-0248(82)90242-1
- PDF-4+ 2010 (Database). Newtown Square: International Centre for Diffraction Data, 2010. http://www.icdd.com/products/pdf2.htm
- Majling J., Hanic F. Phase Coexistence in the System Mg3(PO4)2–Ca3(PO4)2–Na3PO4 // Chem. Zv. 1976. V. 30. № 2. P. 145–152.
- Kushkevych I., Abdulina D., Dordević D., Rozehnalová M., Vítězová M., Černý M., Svoboda P., Rittmann M.R. Basic Bioelement Contents in Anaerobic Intestinal Sulfate-Reducing Bacteria // Appl. Sci. 2021. V. 11. № 3. P. 1152. https://doi.org/10.3390/app11031152
- Martínez-Moreno D., Jiménez G., Chocarro-Wrona C., Carrillo E., Montañez E., Galocha-León C., Clares-Naveros B., Gálvez-Martín P., Rus G., de Vicente J., Marchal J.A. Pore Geometry Influences Growth and Cell Adhesion of Infrapatellar Mesenchymal Stem Cells in Biofabricated 3D Thermoplastic Scaffolds Useful for Cartilage Tissue Engineering // Mater. Sci. Eng., C. 2021. V. 122. P. 111933. https://doi.org/10.1016/j.msec.2021.111933
Supplementary files








