Фотокаталитические свойства пленочных пористых материалов на основе полых микросфер α-Fe2O3
- Авторы: Демиров А.П.1, Блинков И.В.1, Белов Д.С.1, Козлова Н.С.1, Забелина Е.В.1, Касимова В.М.1, Костишин В.Г.1
-
Учреждения:
- Национальный исследовательский технологический университет “МИСИС”
- Выпуск: Том 59, № 3 (2023)
- Страницы: 281-293
- Раздел: Статьи
- URL: https://journal-vniispk.ru/0002-337X/article/view/140162
- DOI: https://doi.org/10.31857/S0002337X2303003X
- EDN: https://elibrary.ru/YQLWSA
- ID: 140162
Цитировать
Полный текст
Аннотация
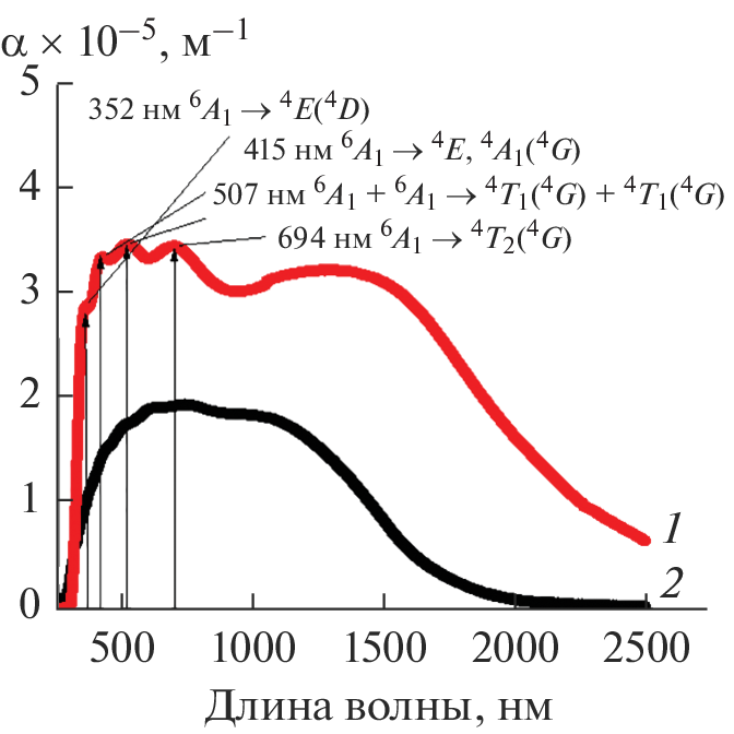
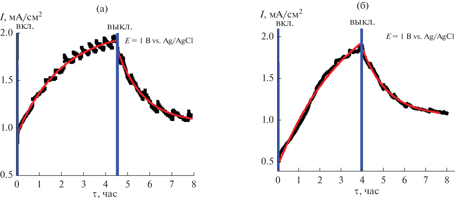
В работе исследованы фотоэлектрохимические и фотокаталитические свойства пористых материалов на основе полых микросфер α-Fe2O3, характеризующихся наличием оборванных магнитных связей Fe–O–Fe, обусловленных повышенной концентрацией вакансий на границе стенка/закрытая пора. С использованием данного порошка шликерно-обжиговым методом при температуре изотермической выдержки 400°C были получены две серии пленочных образцов, нанесенных на стекло с токопроводящим слоем из суспензий двух составов: водный раствор Fe(NO3)3 + полые микросферы α-Fe2O3 (серия 1) и водный раствор Fe(NO3)3 + полиэтиленгликоль + полые микросферы α‑Fe2O3 (серия 2). Установлено, что пленки серии 2 имеют структуру с пространственно разделенными частицами различной дисперсности: наночастицы α-Fe2O3/полые микросферы α-Fe2O3, а пленки серии 1 преимущественно состоят из полых микросфер, объединенных “шейками”, формирующимися в процессе термической обработки. Толщина пленок серии 2 составляла порядка 2 мкм, а серии 1 – 4 мкм. Структурные различия пленок двух серий оказывают существенное влияние на оптические свойства материала. Пленка серии 2 (3.50 × 105 м–1) имеет примерно в 2 раза больший коэффициент поглощения света в диапазоне длин волн 350–1500 нм в сравнении с пленкой серии 1 (1.75 × 105 м–1). Исследование фотоэлектрохимических свойств в водном растворе 0.1 M KOH показало, что потенциал начала анодной реакции для пленки серии 2 составил 0.87 В vs. Ag/AgCl, а для серии 1 – 0.97 В vs. Ag/AgCl. Для обеих пленок наблюдалось нетипичное увеличение плотности тока при длительном освещении светом при потенциале 1 В vs. Ag/AgCl, вызванное формированием на поверхности фотоанода Fe(IV). Фотокаталитические свойства материалов оценивались по скорости деградации метиленового синего. Константы скорости реакции (k) составили 0.015 и 0.018 мин–1 для пленок серий 1 и 2 соответственно против k для реакции без фотокатализатора 2.8 × 10–4 мин–1.
Ключевые слова
Об авторах
А. П. Демиров
Национальный исследовательский технологический университет “МИСИС”
Email: apdemirov@gmail.com
Россия, 119049, Москва,
Ленинский пр., 4, стр. 1
И. В. Блинков
Национальный исследовательский технологический университет “МИСИС”
Email: apdemirov@gmail.com
Россия, 119049, Москва,
Ленинский пр., 4, стр. 1
Д. С. Белов
Национальный исследовательский технологический университет “МИСИС”
Email: apdemirov@gmail.com
Россия, 119049, Москва,
Ленинский пр., 4, стр. 1
Н. С. Козлова
Национальный исследовательский технологический университет “МИСИС”
Email: apdemirov@gmail.com
Россия, 119049, Москва,
Ленинский пр., 4, стр. 1
Е. В. Забелина
Национальный исследовательский технологический университет “МИСИС”
Email: apdemirov@gmail.com
Россия, 119049, Москва,
Ленинский пр., 4, стр. 1
В. М. Касимова
Национальный исследовательский технологический университет “МИСИС”
Email: apdemirov@gmail.com
Россия, 119049, Москва,
Ленинский пр., 4, стр. 1
В. Г. Костишин
Национальный исследовательский технологический университет “МИСИС”
Автор, ответственный за переписку.
Email: apdemirov@gmail.com
Россия, 119049, Москва,
Ленинский пр., 4, стр. 1
Список литературы
- Wang Y., Torres J.A., Shviro M., Carmo M., He T., Ribeiro C. Photocatalytic Materials Applications for Sustainable Agriculture // Prog. Mater. Sci. 2022. V. 130. P. 100965. https://doi.org/10.1016/j.pmatsci.2022.100965
- Киселев В.М., Евстропьев С.К., Стародубцев А.М. Фотокаталитическая деградация и сорбция метиленового синего на поверхности оксидов металлов в водном растворе красителя // Опт. спектроскопия. 2017. Т. 123. № 5. С. 798–805. https://doi.org/10.7868/S0030403417090173
- Михайлов Д.А., Лелет М.И., Фукина Д.Г., Лелет Ю.Н. Фотокаталитические свойства фосфатов MgHPO4· ·3H2O и MgKPO4·6H2O // Неорган. материалы. 2022. Т. 58. № 6. С. 641–650. https://doi.org/10.31857/S0002337X22060069
- Cheng X.-M., Zhao J., Sun W.-Y. Facet-Engineering of Materials for Photocatalytic Application: Status and Future Prospects // EnergyChem. 2022. V. 4. № 5. P. 100084. https://doi.org/10.1016/j.enchem.2022.100084
- Беликов М.Л., Сафарян С.А. Адсорбционные и фотокаталитические свойства диоксида титана, модифицированного молибденом // Неорган. материалы. 2022. Т. 58. № 7. С. 742–749. https://doi.org/10.31857/S0002337X2207003X
- Bie Ch., Wang L., Yu J. Challenges for Photocatalytic Overall Water Splitting // Chem. 2022. V. 8. № 6. P. 1567–1574. https://doi.org/10.1016/j.chempr.2022.04.013
- Wang Q., Tian S., Ning P. Degradation Mechanism of Methylene Blue in a Heterogeneous Fenton-like Reaction Catalyzed by Ferrocene // Ind. Eng. Chem. Res. 2014. V. 53. № 2. P. 643–649. https://doi.org/10.1021/ie403402q
- Ameta S.C., Ameta R. Advanced Oxidation Processes for Waste Water Treatment. L.: Academic, 2018. 451 p.
- Gopinath M., Marimuthu R. A Review on Solar Energy-based Indirect Water-Splitting Methods for Hydrogen Generation // Int. J. Hydrogen Energy. 2022. V. 47. № 89. P. 37742–37759. https://doi.org/10.1016/j.ijhydene.2022.08.297
- Coronado J.M., Fresno F., Hernández-Alonso M.D., Portela R. Design of Advanced Photocatalytic Materials for Energy and Environmental Applications. L.: Springer, 2013. https://doi.org/10.1007/978-1-4471-5061-9
- Плесков Ю.В. Фотоэлектрохимическое преобразование солнечной энергии М.: Химия, 1990. 176 с.
- Moridon S.N.F., Yunus K.A.R.M., Minggu L.J., Kassim M.B. Photocatalytic Water Splitting Performance of TiO2 Sensitized by Metal Chalcogenides: A Review // Ceram. Int. 2022. V. 48. № 5. P. 5892–5907. https://doi.org/10.1016/j.ceramint.2021.11.199
- Costa M.B., Araújo M.A., Lima Tinoco M.V., Brito J.F., Mascaro L.H. Current Trending and Beyond for Solar-Driven Water Splitting Reaction on WO3 Photoanodes // J. Energy Chem. 2022. V. 73. P. 88–113. https://doi.org/10.1016/j.jechem.2022.06.003
- Piccinin S. The Band Structure and Optical Absorption of Hematite (α-Fe2O3): a First-Principles GW-BSE Study // Phys. Chem. Chem. Phys. 2019. V. 21. № 6. P. 2957–2967. https://doi.org/10.1039/C8CP07132B
- Tamirat A.G., Rick J., Dubale A.A., Su W.-N., Hwang B.-J. Using Hematite for Photoelectrochemical Water Splitting: A Review of Current Progress and Challenges // Nanoscale Horiz. 2016. V. 1. № 4. P. 243–267. https://doi.org/10.1039/C5NH00098J
- Malviya K.D., Klotz D., Dotan H., Shlenkevich D., Tsyganok A., Mor H., Rothschild A. Influence of Ti Doping Levels on the Photoelectrochemical Properties of Thin-Film Hematite (α-Fe2O3) Photoanodes // J. Phys. Chem. C. 2017. V. 121. № 8. P. 4206–4213. https://doi.org/10.1021/acs.jpcc.7b00442
- Fernández-Climent R., Giménez S., García-Tecedor M. The Role of Oxygen Vacancies in Water Splitting Photoanodes // Sustain. Energy Fuels. 2020. V. 4. № 12. P. 5916–5926. https://doi.org/10.1039/D0SE01305F
- Wang Y., Zhang J., Balogun M.-S., Tong Y., Huang Y. Oxygen Vacancy–Based Metal Oxides Photoanodes in Photoelectrochemical Water Splitting // Mater. Today Sustain. 2022. V. 18. P. 100118. https://doi.org/10.1016/j.mtsust.2022.100118
- Yang Q., Du J., Li J., Wu Y., Zhou Y., Yang Y., Yang D., He H. Thermodynamic and Kinetic Influence of Oxygen Vacancies on the Solar Water Oxidation Reaction of α-Fe2O3 Photoanodes // ACS Appl. Mater. Interfaces. 2020. V. 12. № 12. P. 11625–11634. https://doi.org/10.1021/acsami.9b21622
- Hu J., Zhao X., Chen W., Chen Z. Enhanced Charge Transport and Increased Active Sites on α-Fe2O3 (110) Nanorod Surface Containing Oxygen Vacancies for Improved Solar Water Oxidation Performance // ACS Omega. 2018. V. 3. № 11. P. 14973–14980. https://doi.org/10.1021/acsomega.8b01195
- Zhang Z., Karimata I., Nagashima H., Muto S., Ohara K., Sugimoto K., Tachikawa T. Interfacial Oxygen Vacancies Yielding Long-Lived Holes in Hematite Mesocrystal-Based Photoanodes // Nat. Commun. 2019. V. 10. № 1. P. 4832. https://doi.org/10.1038/s41467-019-12581-z
- More P.D., Jadhav P.R., Ghanwat A.A., Dhole I.A., Navale Y.H., Patil V.B. Spray Synthesized Hydrophobic α-Fe2O3 Thin Film Electrodes for Supercapacitor Application // J. Mater. Sci.: Mater. Electron. 2017. V. 28. № 23. P. 17839–17848. https://doi.org/10.1007/s10854-017-7725-5
- Liang T., Guo X., Yuan B., Kong S., Huang H., Fu D., Zhang F., Xu J., Li X. Design of Functionalized α-Fe2O3 (III) Films with Long-Term Anti-Wetting Properties // Ceram. Int. 2020. V. 45. № 5. P. 6129–6135. https://doi.org/10.1016/j.ceramint.2019.11.077
- Zhang Y., Su Y., Wang Y., He J., McPherson G.L., John V.T. Rapid Fabrication of Hollow and Yolk-shell α-Fe2O3 Particles with Applications to Enhanced Photo-Fenton Reactions // RSC Adv. 2017. V. 7. № 62. P. 39049–39056. https://doi.org/10.1039/C7RA06621J
- Bokstein B.S., Esin V.A., Rodin A.O., Svetlov I.L. Models for the Porosity Growth and Dissolution in Single-Crystal Nickel-Base Superalloys // Defect Diffus. Forum. 2010. V. 297-301. P. 187–192. doi: 10.4028/ href='www.scientific.net/DDF.297-301.187' target='_blank'>www.scientific.net/DDF.297-301.187
- Lian J., Duan X., Ma J., Peng P., Kim T., Zheng W. Hematite (α-Fe2O3) with Various Morphologies: Ionic Liquid-Assisted Synthesis, Formation Mechanism, and Properties // ACS Nano. 2009. V. 3. № 11. P. 3749–3761. https://doi.org/10.1021/nn900941e
- Van der Wood F. Mossbauer Effect in α-Fe2O3 // Phys. Status Solidi. 1966. V. 17. № 1. P. 417–432. https://doi.org/10.1002/pssb.19660170147
- Князев Ю.В., Чумаков А.И., Дубровский А.А., Семенов С.В., Якушкин С.С., Кириллов В.Л., Мартьянов О.Н., Балаев Д.А. Мессбауэровские исследования магнитного перехода в наночастицах α-Fe2O3 на синхротронном и радионуклидном источниках // Письма в ЖЭТФ. 2019. Т. 110. № 9. С. 514–619. https://doi.org/10.1134/S0370274X19210082
- Копкова Е.К., Майоров Д.В., Кондратенко Т.В. Получение и исследование структурно-поверхностных и сорбционных свойств слоистых двойных гидроксидов магния и алюминия, модифицированных полиэтиленгликолем // Сорбционные и хроматографические процессы. 2022. Т. 21. № 6. С. 894–904. https://doi.org/10.17308/sorpchrom.2021.21/3836
- Mitra S., Das S., Mandal K., Chaudhuri S. Synthesis of a α-Fe2O3 Nanocrystal in Its Different Morphological Attributes: Growth Mechanism, Optical and Magnetic Properties // Nanotechnology. 2007. V. 18. № 27. P. 275608. https://doi.org/10.1088/0957-4484/18/27/275608
- Freitas A.L.M., Muche D.N.F., Leite E.R., Souza F.L. Interface Engineering of Nanoceramic Hematite Photoelectrode for Solar Energy Conversion // J. Am. Ceram. Soc. 2020. V. 103. P. 6833– 6846. https://doi.org/10.1111/jace.17390
- Zhong D.K., Gamelin D.R. Photoelectrochemical Water Oxidation by Cobalt Catalyst (“Co−Pi”)/α-Fe2O3 Composite Photoanodes: Oxygen Evolution and Resolution of a Kinetic Bottleneck // J. Am. Chem. Soc. 2010. V. 132. № 12. P. 4202–4207. https://doi.org/10.1021/ja908730h
- Walter M.G., Warren E.L., McKone J.R., Boettcher S.W., Mi Q., Santori E.A., Lewis N.S. Solar Water Splitting Cells // Chem. Rev. 2010. V. 110. № 11. P. 6446–6473. https://doi.org/10.1021/cr1002326
- Krysa J., Zlamal M., Kment S., Brunclikova M., Hubicka Z. TiO2 and Fe2O3 Films for Photoelectrochemical Water Splitting // Molecules. 2015. V. 20. P. 1046–1058. https://doi.org/10.3390/molecules20011046
- Xiao C., Zhou Z., Li L., Wu S., Li X. Tin Oxygen-Vacancy Co-Doping into Hematite Photoanode for Improved Photoelectrochemical Performances // Nanoscale Res. Lett. 2020. V. 15. № 1. P. 54. https://doi.org/10.1186/s11671-020-3287-1
- Kennedy J.H., Frese K.W. Photooxidation of Water at α-Fe2O3 Electrodes // J. Electrochem. Soc. 1978. V. 125. № 5. P. 709.https://doi.org/10.1149/1.2131532
- Upul Wijayantha K.G., Saremi-Yarahmadi S., Peter L.M. Kinetics of Oxygen Evolution at α-Fe2O3 Photoanodes: a Study by Photoelectrochemical Impedance Spectroscopy // Phys. Chem. Chem. Phys. 2011. V. 13. № 12. P. 5264–5270.https://doi.org/10.1039/C0CP02408B
- Peter L.M., Upul Wijayantha K.G., Tahir A.A. Kinetics of Light-Driven Oxygen Evolution at α-Fe2O3 Electrodes // Faraday Discuss. 2012. V. 155. P. 309–322. https://doi.org/10.1039/C1FD00079A
- Braun A., Sivula K., Bora D.K., Zhu J., Zhang L., Grätzel M., Guo J., Constable E.C. Direct Observation of Two Electron Holes in a Hematite Photoanode During Photoelectrochemical Water Splitting // J. Phys. Chem. C. 2012. V. 116. № 32. P. 16870–16875. https://doi.org/10.1021/jp304254k
- Deng J., Lv X., Zhong J. Photocharged Fe2TiO5/Fe2O3 Photoanode for Enhanced Photoelectrochemical Water Oxidation // J. Phys. Chem. C. 2018. V. 122. № 51. P. 29268–29273. https://doi.org/10.1021/acs.jpcc.8b08826
- Vasiljevic Z.Z., Dojcinovic M.P., Vujancevic J.D., Jankovic-Castvan I., Ognjanovic M., Tadic N.B., Stojadinovic S., Brankovic G.O., Nikolic M.V. Photocatalytic Degradation of Methylene Blue under Natural Sunlight Using Iron Titanate Nanoparticles Prepared by a Modified Sol–Gel Method // R. Soc. Open Sci. 2020. V. 7. № 9. P. 200708. https://doi.org/10.1098/rsos.200708
- Ma M., Yang Y., Chen Y., Ma Y., Lyu P., Cui A., Huang W., Zhang Z., Li Y., Si F. Photocatalytic Degradation of MB Dye by the Magnetically Separable 3D Flower-Like Fe3O4/SiO2/MnO2/BiOBr-Bi Photocatalyst // J. Alloys Compd. 2021. V. 861. P. 158256. https://doi.org/10.1016/j.jallcom.2020.158256
- Vu X.H., Phuoc L.H., Dien N.D., Pham T.T.H., Thanh L.D. Photocatalytic Degradation of Methylene Blue (MB) over α-Fe2O3 Nanospindles Prepared by a Hydrothermal Route // J. Electron. Mater. 2019. V. 48. № 5. P. 2978–2985. https://doi.org/10.1007/s11664-019-07056-2
Дополнительные файлы




















