Теплопроводность монокристаллов твердых растворов системы CaF2–SrF2–BaF2–YbF3
- Авторы: Попов П.А.1, Круговых А.А.1, Конюшкин В.А.2, Накладов А.Н.2, Ушаков С.Н.3,4, Усламина М.А.4, Нищев К.Н.4, Кузнецов С.В.2, Федоров П.П.5
-
Учреждения:
- Брянский государственный университет им. И.Г. Петровского
- Институт общей физики им. А.М. Прохорова Российской академии наук
- Институт общей физики им. А.М. Прохорова РАН
- Мордовский государственный университет им. Н.П. Огарева
- Федеральный исследовательский центр “Институт общей физики им. А.М. Прохорова РАН”
- Выпуск: Том 59, № 5 (2023)
- Страницы: 529-533
- Раздел: Статьи
- URL: https://journal-vniispk.ru/0002-337X/article/view/140164
- DOI: https://doi.org/10.31857/S0002337X23050135
- EDN: https://elibrary.ru/KHBIAO
- ID: 140164
Цитировать
Полный текст
Аннотация
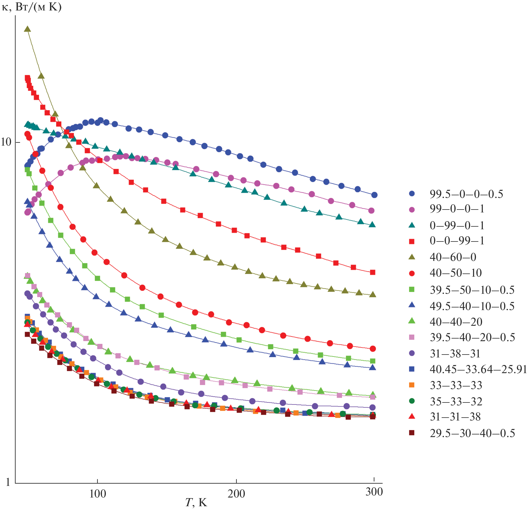
Методом Бриджмена выращены монокристаллические образцы твердых растворов CaxSryBazF2 (x = 0.31–0.4045, y = 0.31–0.50, z = 0.10–0.38) и CaxSryBazYb0.005F2.005 (x = 0.295–0.495, y = 0.30–0.50, z = 0.10–0.40) с флюоритовой структурой. Абсолютным стационарным методом продольного теплового потока в интервале 50–300 K исследована их теплопроводность. При комнатной температуре значения коэффициента теплопроводности всех исследованных образцов ниже 2.5 Вт/(м К). Теплопроводность убывает с увеличением содержания тяжелых компонентов в данных твердых растворах. Этот же фактор снижает негативное влияние на теплопроводность добавки гетеровалентной примеси YbF3.
Об авторах
П. А. Попов
Брянский государственный университет им. И.Г. Петровского
Email: neorganmat@igic.ras.ru
Россия, 241036, Брянск, ул. Бежицкая, 14
А. А. Круговых
Брянский государственный университет им. И.Г. Петровского
Email: neorganmat@igic.ras.ru
Россия, 241036, Брянск, ул. Бежицкая, 14
В. А. Конюшкин
Институт общей физики им. А.М. Прохорова Российской академии наук
Email: ppfedorov@yandex.ru
Россия, 119991, Москва, ул. Вавилова, 38
А. Н. Накладов
Институт общей физики им. А.М. Прохорова Российской академии наук
Email: ppfedorov@yandex.ru
Россия, 119991, Москва, ул. Вавилова, 38
С. Н. Ушаков
Институт общей физики им. А.М. Прохорова РАН; Мордовский государственный университет им. Н.П. Огарева
Email: rusjinorgchem@yandex.ru
Россия, 119991, Москва, ул. Вавилова, 38; Россия, 430005, Саранск,
ул. Большевистская, 68
М. А. Усламина
Мордовский государственный университет им. Н.П. Огарева
Email: rusjinorgchem@yandex.ru
Россия, 430005, Саранск, ул. Большевистская, 68
К. Н. Нищев
Мордовский государственный университет им. Н.П. Огарева
Email: rusjinorgchem@yandex.ru
Россия, 430005, Саранск,
ул. Большевистская, 68
С. В. Кузнецов
Институт общей физики им. А.М. Прохорова Российской академии наук
Email: ppfedorov@yandex.ru
Россия, 119991, Москва, ул. Вавилова, 38
П. П. Федоров
Федеральный исследовательский центр “Институт общей физики им. А.М. Прохорова РАН”
Автор, ответственный за переписку.
Email: buchinskayii@gmail.com
Россия, 119991, Москва, Россия
Список литературы
- Crystals with the Fluorite Structure. Electronic, Vibrational, and Defect Properties / Ed. Hayes W. Oxford: Clarendon Press, 1974. 448 p.
- Sobolev B.P. The Rare Earth Trifluorides. P. 1. The High-Temperature Chemistry of the Rare Earth Trifluorides. Barcelona, 2000.
- Юшкин Н.П., Волкова Н.В., Маркова Г.А. Оптический флюорит. М.: Наука, 1983. 134 с.
- Зверев В. А., Кривопустова Е. В., Точилина Т. В. Оптические материалы. Ч. 2. Учебное пособие для конструкторов оптических систем и приборов. С.-Петербург: ИТМО, 2013. 248 с.
- Kaminskii A.A. Laser Crystals Their Physics and Properties. Springer, 1990.
- Moncorge R., Braud A., Camy P., Doualan J.L. Fluoride Laser Crystals // Handbook on Solid-State Lasers: Materials, Systems and Applications / Eds. Denker B., Shklovsky E.Woodhead Publishing Series in Electronic and Optical Materials. Oxford Woodhead, 2013. P. 82–109.
- Siebold M., Bock S., Schramm U., Xu B., Doulan J.L., Camy P., Moncorge R. Yb:CaF2 – a New Old Laser Crystal // Appl. Phys. B. 2009. V. 97. P. 327–338.
- Druon F., Ricaud S., Papadopoulos D.N., Pellegrina A., Camy P., Doulan J.L., Moncorge R., Courjaud A., Mottay E., Georges P. On Yb:CaF2 and Yb:SrF2: Review of Spectroscopic and Thermal Properties and Their Impact on Femtosecond and High Power Laser Performance // Opt. Mater. Express. 2011. V. 1. P. 489–502.
- Basiev T.T., Orlovskii Yu.V., Polyachenkova M.V., Fedorov P.P., Kouznetzov S.V., Konyushkin V.A., Osiko V.V., Alimov O.K., Dergachev A.Yu. Continuous Tunable CW Lasing Near 2.75 μm in Diode-Pumped Er3+:SrF2 and Er3+:CaF2 Crystals // Quant. Electron. 2006. V. 36. № 7. P. 591–594. https://doi.org/10.1070/QE2006v036n07ABEH013178
- Alimov O.K., Basiev T.T., Doroshenko M.E., Fedorov P.P., Konyuskin V.A., Nakladov A.N., Osiko V.V. Investigation of Nd3+ Ions Spectroscopic and Laser Properties in SrF2 Fluoride Single Crystal // Opt. Mater. 2012. V. 34. № 5. P. 799–802.https://doi.org/10.1016/j.optmat.2011.11.010
- Saleta Reig D., Grauel B., Konyushkin V. A., Nakladov A.N., Fedorov P.P., Busko D., Howard I.A., Richards B.S., Resch-Genger U., Kuznetsov S.V., Turshatov A., Würtha C. Upconversion Properties of SrF2:Yb3+, Er3+ Single Crystals // J. Mater. Chem. C. 2020. V. 8. P. 4093–4101. https://doi.org/10.1039/c9tc06591a
- Komandin G.A., Spector I.E., Fedorov P.P., Kuznetsov S.V., Ushakov S.N., Uslamina M.A., Nishchev K.N., Garibin E.A. Long-Wavelength Optical Properties of the Ca0.33Sr0.33Ba0.33F2 Solid Solution Single Crystals // Optic. Mater. 2022. P. 112267. https://doi.org/10.1016/j.optmat.2022.112267
- Woody C.L., Anderson D.F. Calorimetry Using Size BaF2 with Photosensitive Wire Chamber Readout // Nucl. Instrum. Methods. Phys. Res. Sect. A. 1988. V. 265. P. 291–300.
- Kamada K., Nawata T., Inui Y., Yanagi H., Sato H., Yoshikawa A., Nikl M., Fukuda T. Czochraalski Growth of 8 Inch Size BaF2 Single Crystal for a Fast Scintillator // Nucl. Instrum. Methods. Phys. Res., Sect. A. 2005. V. 537. P. 159–162.
- Snetkov I.L., Yakovlev A.I., Palashov O.V. CaF2, BaF2 and SrF2 Crystals’ Optical Anisotropy Parameters // Laser Phys. Lett. 2015. V. 12. P. 095001 (6 p.).
- Burnett J.H., Livene Z.H., Shirley E.L. Instrinic Birefringence in Calcium Fluoride and Barium Fluoride // Phys. Rev. 2007. V. 64. P. 241102(R).
- Klimm D., Rabe M., Bertram R., Uecker R., Parthier L. Phase Diagram Analysis and Crystal Growth of Solid Solutions Ca1–xSrxF2 // J. Cryst. Growth. 2008. V. 310. № 1. P. 152–155.
- Nafziger R.H. High-Temperature Phase Relations in the System BaF2–SrF2 // J. Am. Ceram. Soc. 1971. V. 54. P. 467.
- Федоров П.П., Бучинская И.И., Ивановская Н.А., Коновалова В.В., Лаврищев С.В., Соболев Б.П. Фазовая диаграмма системы CaF2–BaF2 // Докл. РАН. 2005. Т. 401. № 5. С. 652–654.
- Ushakov S.N., Uslamina M.A., Pynenkov A.A., Mishkin V.P., Nishchev K.N., Kuznetsov S.V., Chernova E.V., Fedorov P.P. Growth and Physical Properties of CaSrBaF6 Single Crystals // Condens. Matter Interph. 2021. V. 23. № 1. P. 93–100. https://doi.org/10.17308/kcmf.2021.23/3310
- Chang R.K., Lachina B., Pershan P.S. Raman Scattering from Mixed Crystals // Phys. Rev. Lett. 1966. V. 17. № 14. P. 15–18.
- Lachina B., Pershan P.S. Phonon Optical Properties of Ca1–xSrxF2 // Phys. Rev. B. 1970. V. 1. № 4. P. 1765–1786.
- Elliot R.J., Kramhansl J.A., Leath P.L. The Theory and Properties of Randomly Disordered Crystals and Related Physical Systems // Rev. Mod. Phys. 1974. V. 46. P. 465. https://doi.org/10.1103/RevModPhys.46.465
- Лившиц А.И., Иомин Л.М., Иванов Ю.Н. Исследование флюоритоподобных твердых растворов системы BaF2–SrF2 методом ЯМР 19F // Журн. неорган. химии. 1997. Т. 42. № 2. С. 298-301.
- Кузнецов С.В., Конюшкин В.А., Накладов А.Н., Чернова Е.В., Попов П.А., Пыненков А.А., Нищев К.Н., Федоров П.П. Исследование теплофизических характеристик монокристаллов твердых растворов CaF2–SrF2–RF3 (R = Ho, Pr) с флюоритовой структурой // Неорган. материалы. 2020. Т. 56. № 9. С. 1027–1033. https://doi.org/10.31857/S0002337X20090110
- Черневская Э.Г. Смешанные двухкомпонентные монокристаллы типа фтористый кальций-фтористый стронций и их оптические свойства // Опт.-мех. пром-ть. 1960. № 5. С. 28–32.
- Черневская Э.Г. Твердость смешанных монокристаллов типа CaF2 // Опт.-мех. пром-ть. 1966. № 7. С. 51–52.
- Черневская Э.Г., Ананьева Г.В. О структуре смешанных кристаллов на основе CaF2, SrF2, ВaF2 // Физика твердого тела. 1966. Т. 8. № 1. С. 216–219.
- Pastor R.C., Pastor A.C. Solid Solutions of Metal Halides under a Reactive Atmosphere // Mater. Res. Bull. 1976. № 8. P. 1043–1050.
- Basiev T.T., Vasil’ev S.V., Doroshenko M.E., Konuyshkin V.A., Kouznetsov S.V., Osiko V.V., Fedorov P.P. Efficient Lasing in Diode-Pumping Yb3+:CaF2-SrF2 Solid Solution Single Crystals // Quant. Electron. 2007. V. 37. № 10. P. 934–937. https://doi.org/10.1070/QE2007v037n10ABEH013662
- Кузнецов С.В., Александров А.А., Федоров П.П. Фторидная оптическая нанокерамика // Неорган. материалы. 2021. Т. 57. № 5. С. 583–607. https://doi.org/10.31857/S0002337X21060075
- Basiev T.T., Doroshenko M.E., Fedorov P.P., Konyushkin V.A., Kuznetsov S.V., Osiko V.V., Akchurin M.Sh. Efficient Laser Based on CaF2–SrF2–YbF3 Nanoceramics // Opt. Lett. 2008. V. 33. № 5. P. 521–523. https://doi.org/10.1364/OL.33.000521
- Zhu C., Song J., Mei B., Li W., Liu Z. Fabrication and Optical Characterizations of CaF2–SrF2–NdF3 Transparent Ceramics // Mater. Lett. 2016. V. 167. P. 115–117.
- Zhou Z., Mei B., Song J., Li W., Yang Y., Yi G. Effects of Sr2+ Content on Microstructure and Spectroscopic Properties of Nd3+ Doped Ca1-xSrxF2 Transparent Ceramics // J. Alloys Compd. 2019. V. 811. P. 152046.
- Chen X., Wu Y. High-Entropy Transparent Fluoride Laser Ceramics // J. Am. Ceram. Soc. 2020. V. 103. № 2. P. 750–756. https://doi.org/10.1111/jace.16842
- Берман Р. Теплопроводность твердых тел. М.: Мир, 1979. 286 с.
- Попов П.А., Федоров П.П. Теплопроводность фторидных оптических материалов. Брянск: Группа компаний “Десяточка”, 2012. 210 с. ISBN 978-5-91877-093-1
- Popov P.A., Dykel’skii K.V., Mironov I.A., Demidenko V.A., Smirnov A.N., Smolyanskii P.L., Fedorov P.P., Osiko V.V., Basiev T.T. Thermal Conductivity of CaF2 Optical Ceramics // Dokl. Phys. 2007. V. 52. № 1. P. 7–9. https://doi.org/10.1134/S1028335807010028
- Popov P.A., Fedorov P.P., Konyushkin V.A., Nakladov A.N., Kuznetsov S.V., Osiko V.V., Basiev T.T. Thermal Conductivity of Single Crystals of Sr1‑xYbxF2 + x Solid Solution // Dokl. Phys. 2008. V. 53. № 8. P. 413–415. https://doi.org/10.1134/S1028335808080016
- Popov P.A., Fedorov P.P., Kuznetsov S.V., Konyushkin V.A., Osiko V.V., Basiev T.T. Thermal Conductivity of Single Crystals of Ba1 – xYbxF2 + x // Dokl. Phys. 2008. V. 53. № 7. P. 353–355. https://doi.org/10.1134/S1028335808070045
- Popov P.A., Moiseev N.V., Karimov D.N., Sorokin N.I., Sulyanova E.A., Sobolev B.P., Konyushkin V.A., Fedorov P.P. Thermophysical Characteristics of Ca1−xSrxF2 Solid-Solution Crystals (0 ≤ x ≤ 1) // Crystallogr. Rep. 2015. V. 60. № 1. P. 116–122. https://doi.org/10.1134/S1063774515010186
- Попов П.А., Круговых А.А., Конюшкин В.А., Накладов А.Н., Кузнецов С.В., Федоров П.П. Теплопроводность монокристаллов Sr1–хBaхF2 // Неорган. материалы. 2021. Т. 57. № 6. С. 658–662. https://doi.org/10.31857/S0002337X21060087
- Попов П.А., Круговых А.А., Зенцова А.А., Конюшкин В.А., Накладов А.Н., Кузнецов С.В., Федоров П.П. Теплопроводность монокристаллов твердых растворов системы CaF2–BaF2 // Неорган. материалы. 2022. Т. 58. № 4. С. 414–420. https://doi.org/10.31857/S0002337X22040133
- Fedorov P.P., Osiko V.V. Crystal Growth of Fluorides // Bulk Crystal Growth of Electronic. Optical and Optoelectronic Materials / Ed. Capper P. Wiley Series in Materials for Electronic and Optoelectronic Applications. N. Y. Wiley, 2005. P. 339–356.
- Воронько Ю.К., Осико В.В., Удовенчик В.Т., Фурсиков M.M. Оптические свойства кристаллов CaF2-Dy3+ // ФТТ. 1965. Т. 7. С. 267–273.
- Pastor R.C. Crystal Growth of Metal Fluorides for CO2 Laser Operation II. Optimization of the Reactive Atmosphere Process (RAP) Choice // J. Cryst. Growth. 1999. V. 203. P. 421–424.
- Popov P.A., Sidorov A.A., Kul’chenkov E.A., Anishchenko A.M., Avetissov I.C., Sorokin N.I., Fedorov P.P. Thermal Conductivity and Expansion of PbF2 Single Crystals // Ionics. 2017. V. 23. № 1. P. 233–239. https://doi.org/10.1007/s11581-016-1802-2
- Popov P.A., Fedorov P.P., Kuznetsov S.V., Konyushkin V.A., Osiko V.V., Basiev T.T. Thermal Conductivity of Single Crystals of Ca1–xYbxF2+x Solid Solutions // Dokl. Phys. 2008. V. 53. № 4. P. 198–200. https://doi.org/10.1134/S102833580804006X
- Kazanskii S.A., Ryskin A.I., Nikiforov A.E., Zaharov A.Y., Ougrumov M.Y., Shakurov G.S. EPR Spectra and Crystal Field of Hexamer Rare-Earth Clusters in Fluorites // Phys. Rev. B. 2005. V. 72. № 1. P. 014127.
Дополнительные файлы



