Preparation of Ultrafine-Grained WC–ZrO2 Ceramics by Spark Plasma Sintering
- Authors: Lantsev E.A.1, Terent’ev A.V2, Chuvil’deev V.N.1, Murashov A.A.3, Isaeva N.V.2, Blagoveshchenskii Y.V.2, Smetanina K.E.3, Boldin M.S.1, Nokhrin A.V.1, Tabachkova N.Y.4,5
-
Affiliations:
- Lobachevsky State University of Nizhny Novgorod
- Baikov Institute of Metallurgy and Materials Science, Russian Academy of Sciences
- Lobachevsky State University
- MISiS National University of Science and Technology
- Prokhorov General Physics Institute of the Russian Academy of Sciences
- Issue: Vol 59, No 5 (2023)
- Pages: 559-566
- Section: Articles
- URL: https://journal-vniispk.ru/0002-337X/article/view/140176
- DOI: https://doi.org/10.31857/S0002337X23050111
- EDN: https://elibrary.ru/QEJQCM
- ID: 140176
Cite item
Full Text
Abstract
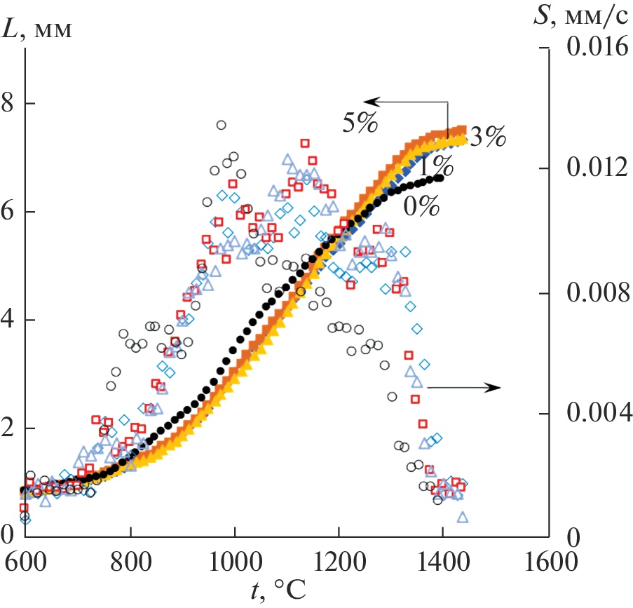
WC–(1, 3, 5)% ZrO2 ceramics have been produced by spark plasma sintering (SPS). WC–ZrO2 powder mixtures have been prepared by ultrasonic homogenization and stirring of WC nanopowder and submicron t-ZrO2 powder. The WC–ZrO2 sintering rate has been shown to be limited by the grain-boundary diffusion process. Increasing the percentage of ZrO2 leads to a slight increase in optimal SPS temperature, an increase in the concentration of W2C particles, and a decrease in hardness.
Keywords
About the authors
E. A. Lantsev
Lobachevsky State University of Nizhny Novgorod
Email: nokhrin@nifti.unn.ru
Russia, 603022, Nizhny Novgorod
A. V Terent’ev
Baikov Institute of Metallurgy and Materials Science, Russian Academy of Sciences
Email: elancev@nifti.unn.ru
119334, Moscow, Russia
V. N. Chuvil’deev
Lobachevsky State University of Nizhny Novgorod
Email: semenycheva@nifti.unn.ru
Russia, 603022, Nizhny Novgorod
A. A. Murashov
Lobachevsky State University
Email: golovkina_lyudmila@mail.ru
603022, Nizhny Novgorod, Russia
N. V. Isaeva
Baikov Institute of Metallurgy and Materials Science, Russian Academy of Sciences
Email: elancev@nifti.unn.ru
119334, Moscow, Russia
Yu. V. Blagoveshchenskii
Baikov Institute of Metallurgy and Materials Science, Russian Academy of Sciences
Email: elancev@nifti.unn.ru
119334, Moscow, Russia
K. E. Smetanina
Lobachevsky State University
Email: andreev@phys.unn.ru
603022, Nizhny Novgorod, Russia
M. S. Boldin
Lobachevsky State University of Nizhny Novgorod
Email: nokhrin@nifti.unn.ru
Russia, 603022, Nizhny Novgorod
A. V. Nokhrin
Lobachevsky State University of Nizhny Novgorod
Email: nokhrin@nifti.unn.ru
Russia, 603022, Nizhny Novgorod
N. Yu. Tabachkova
MISiS National University of Science and Technology; Prokhorov General Physics Institute of the Russian Academy of Sciences
Author for correspondence.
Email: nokhrin@nifti.unn.ru
Russia, 119049, Moscow; Russia, 119991, Moscow
References
- Курлов А.С., Гусев А.И. Физика и химия карбидов вольфрама. М.: Физматлит, 2013. 272 с.
- Sun J., Zhao J., Huang Z., Yan K., Shen X., Xing J., Gao Y., Jian Y., Yang H., Li B. A Review on Binderless Tungsten Carbide: Development and Application // Nano-Micro Lett. 2020. V. 12. № 1. P. 13.https://doi.org/10.1007/s40820-019-0346-1
- Шевченко В.Я., Баринов С.М. Техническая керамика. М.: Наука, 1993. 192 с.
- Basu B., Lee J.-H., Kim D.-Y. Development of WC–ZrO2 Nanocomposites by Spark Plasma Sintering // J. Am. Ceram. Soc. 2004. V. 87. № 2. P. 317–319.https://doi.org/10.1111/j.1551-2916.2004.00317.x
- Venkateswaran T., Sarkar D., Basu B. WC–ZrO2 Composites: Processing and Unlubricated Tribological Properties // Wear. 2006. V. 260. P. 1–9.https://doi.org/10.1016/j.wear.2004.11.005
- Tokita M. Progress of Spark Plasma Sintering (SPS) Method, Systems, Ceramics Applications and Industrialization // Ceramics. 2021. V. 4. № 2. P. 160–198.https://doi.org/10.3390/ceramics4020014
- Чувильдеев В.Н., Благовещенский Ю.В., Сахаров Н.В., Болдин М.С., Нохрин А.В., Исаева Н.В., Шотин С.В., Лопатин Ю.Г., Смирнова Е.С. Получение и исследование ультрамелкозернистого карбида вольфрама с высокой твердостью и трещиностойкостью // ДАН. 2015. Т. 463. № 3. С. 281–285.
- Ланцев Е.А., Малехонова Н.В., Цветков Ю.В., Благовещенский Ю.В., Чувильдеев В.Н., Нохрин А.В., Болдин М.С., Андреев П.В., Сметанина К.Е., Исаева Н.В. Исследование особенностей высокоскоростного спекания плазмохимических нанопорошков карбида вольфрама с повышенным содержанием кислорода // ФХОМ. 2020. № 6. С. 23–39.
- Исаева Н.В., Благовещенский Ю.В., Благовещенская Н.В., Мельник Ю.И., Самохин А.В., Алексеев Н.В., Асташов А.Г. Получение нанопорошков карбидов и твердосплавных смесей с применением низкотемпературной плазмы // Изв. вузов. Порошковая металлургия и функциональные покрытия. 2013. № 3. С. 7–14.
- Чувильдеев В.Н., Болдин М.С., Дятлова Я.Г., Румянцев В.И., Орданьян С.С. Сравнительное исследование горячего прессования и высокоскоростного электроимпульсного плазменного спекания порошков Al2O3/ZrO2/Ti(C,N) // Журн. неорган. химии. 2015. Т. 60. № 8. С. 1088–1094.
- Курлов А.С., Гусев А.И. Вакуумный отжиг нанокристаллических порошков WC // Неорган. материалы. 2012. Т. 48. № 7. С. 781–791.
- Красовский П.В., Благовещенский Ю.В., Григорович К.В. Определение содержания кислорода в нанопорошках системы WC–Co // Неорган. материалы. 2008. Т. 44. № 9. С. 1074–1079.
- Nanda A.K., Watabe M., Kurokawa K. The Sintering Kinetics of Ultrafine Tungsten Carbide Powders // Ceram. Int. 2011. V. 37. № 7. P. 2643–2654.https://doi.org/10.1016/j.ceramint.2011.04.011
- Buhsmer C.P., Crayton P.H. Carbon Self-Diffusion in Tungsten Carbide // J. Mater. Sci. 1971. V. 6. № 7. P. 981–988.https://doi.org/10.1007/BF00549949
- Болдин М.С., Попов А.А., Мурашов А.А., Сахаров Н.В., Шотин С.В., Нохрин А.В., Чувильдеев В.Н., Сметанина К.Е., Табачкова Н.Ю. Высокоскоростное электроимпульсное плазменное спекание мелкозернистых керамик Al2O3–SiC. Исследование микроструктуры и механических свойств // ЖТФ. 2022. Т. 92. № 10. С. 1571–1581.
Supplementary files







