Исследование динамики резорбции в трис-буфере гранул на основе гидроксиапатита, волластонита и желатина
- Авторы: Солоненко А.П.1, Шевченко А.Е.1, Полонянкин Д.А.2
-
Учреждения:
- Омский государственный медицинский университет
- Омский государственный технический университет
- Выпуск: Том 59, № 3 (2023)
- Страницы: 341-348
- Раздел: Статьи
- URL: https://journal-vniispk.ru/0002-337X/article/view/140180
- DOI: https://doi.org/10.31857/S0002337X23030144
- EDN: https://elibrary.ru/YUHYSG
- ID: 140180
Цитировать
Полный текст
Аннотация
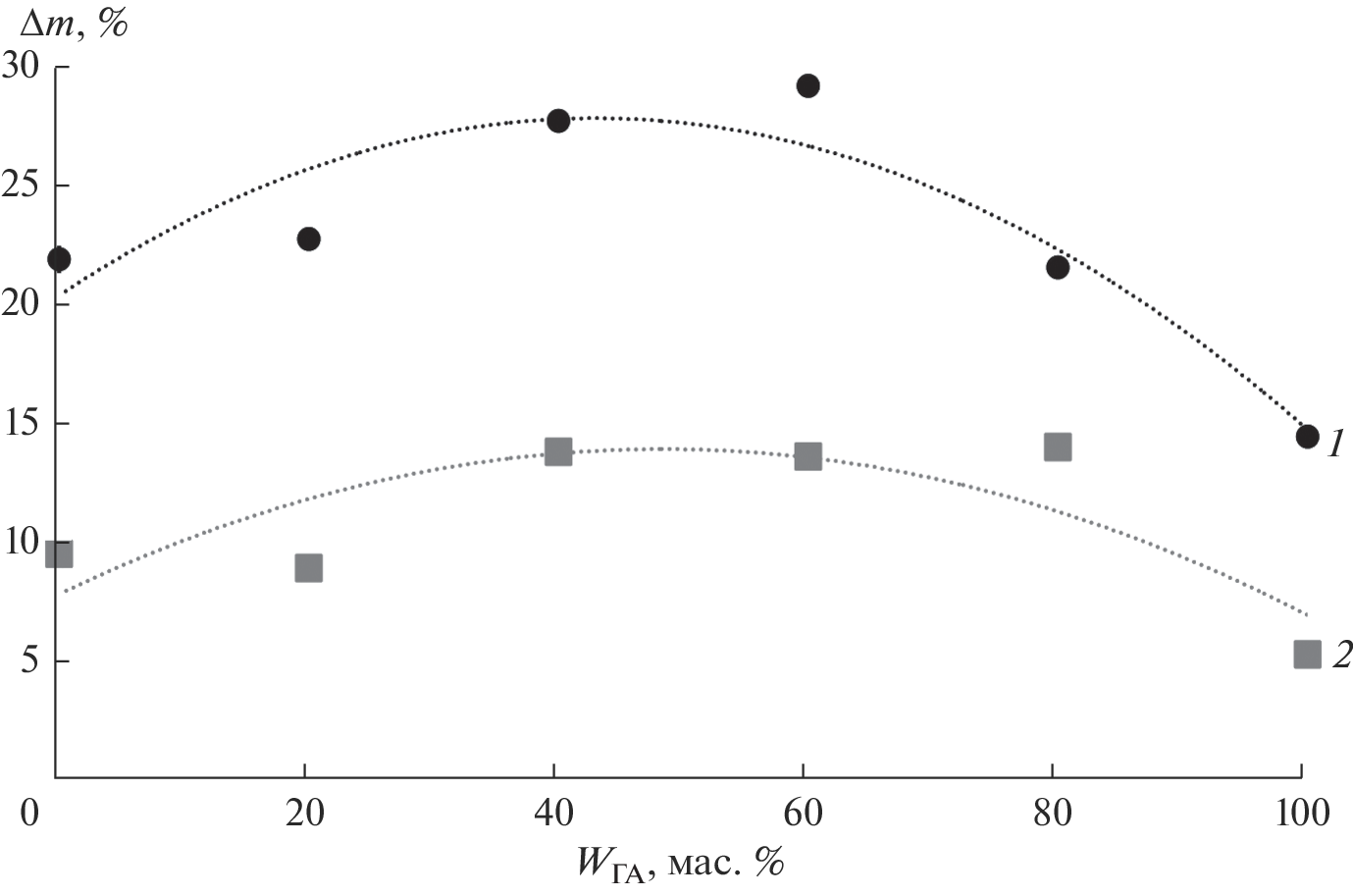
В ходе исследования in vitro установлено, что гранулы на основе желатина и синтетических керамических порошков с варьируемой пропорцией Са10(РО4)6(ОН)2 и β-СаSiO3 при контакте с трис-буфером быстро гидратируются и набухают, увеличиваясь в размерах до 1.2 раз. Далее они постепенно деградируют, выделяя в раствор ионы кальция, фосфатные и силикатные анионы. Близкие концентрации данных ионов обнаружены в системах с материалами, содержащими от 20 до 60 мас. % силиката кальция. Показано, что убыль массы композитов за счет растворения минеральных компонентов и желатина выше, чем у гранул только из апатита или волластонита.
Ключевые слова
Об авторах
А. П. Солоненко
Омский государственный медицинский университет
Email: annsolonenko@gmail.com
Россия, 644099, Омск, ул. Ленина, 12
А. Е. Шевченко
Омский государственный медицинский университет
Email: annsolonenko@gmail.com
Россия, 644099, Омск, ул. Ленина, 12
Д. А. Полонянкин
Омский государственный технический университет
Автор, ответственный за переписку.
Email: annsolonenko@gmail.com
Россия, 644050, Омск, пр. Мира, 11
Список литературы
- Morsy R., Abuelkhair R., Elnimr T. A Facile Route to the Synthesis of Hydroxyapatite/Wollastonite Composite Powders by a Two-Step Coprecipitation Method // Silicon. 2015. V. 9. P. 637–641. https://doi.org/10.1007/s12633-015-9339-y
- Baştan F.E., Karaarslan O., Üstel F. Production and Characterization of Wollastonite Particles Reinforced Hydroxyapatite Composite Granules for Biomedical Applications // DEU FMD. 2021. V. 23(67). P. 1–9. https://doi.org/10.21205/deufmd.2021236701
- Padmanabhann S.K., Gervaso F., Carrozzo M., Scalera F., Sannino A., Licciulli A. Wollastonite/Hydroxyapatite Scaffolds with Improved Mechanical, Bioactive and Biodegradable Properties for Bone Tissue Engineering // Ceram. Int. 2013. V. 39. P. 619–627. https://doi.org/10.1016/j.ceramint.2012.06.073
- Buriti J. da S., Barreto M.E.V., Santos K.O., Fook M.V.L. Thermal, Morphological, Spectroscopic and Biological Study of Chitosan, Hydroxyapatite and Wollastonite Biocomposites // J. Therm. Anal. Calorim. 2018. V. 134. P. 1521–1530. https://doi.org/10.1007/s10973-018-7498-y
- Yu H., Ning C., Lin K., Chen L. Preparation and Characterization of PLLA/CaSiO3/Apatite Composite Films // Int. J. Appl. Ceram. Technol. 2012. V. 9. P. 133–142. https://doi.org/10.1111/j.1744-7402.2010.02606.x
- Encinas-Romero M.A., Aguayo-Salinas S., Castillo S.J., Castillon-Barraza F.F., Castano V.M. Synthesis and Characterization of Hydroxyapatite-Wollastonite Composite Powders by Sol–Gel Processing // Int. J. Appl. Ceram. Technol. 2008. V. 5. P. 401–411. https://doi.org/10.1111/j.1744-7402.2008.02212.x
- Lin K., Zhang M., Zhai W., Qu H., Chang J. Fabrication and Characterization of Hydroxyapatite/Wollastonite Composite Bioceramics with Controllable Properties for Hard Tissue Repair // J. Am. Ceram. Soc. 2011. V. 94. P. 99–105. https://doi.org/10.1111/j.1551-2916.2010.04046.x
- Encinas-Romero M.A., Aguayo-Salinas S., Valenzuela-Garcia J.L., Payan S.R., Castillon-Barraza F.F. Mechanical and Bioactive Behavior of Hydroxyapatite-Wollastonite Sintered Composites // Int. J. Appl. Ceram. Technol. 2010. V. 7. P. 164–177. https://doi.org/10.1111/j.1744-7402.2009.02377.x
- Ryu H.S., Lee J.K., Kim H., Hong K.S. New Type of Bioactive Materials: Hydroxyapatite/α-Wollastonite Composites // J. Mater. Res. 2005. V. 20. P. 1154–1162. https://doi.org/10.1557/JMR.2005.0144
- Chen Z., Zhai J., Wang D., Chen C. Bioactivity of Hydroxyapatite/Wollastonite Composite Films Deposited by Pulsed Laser // Ceram. Int. 2018. V. 44. № 9. P. 10204–10209. https://doi.org/10.1016/j.ceramint.2018.03.013
- Beheri H.H., Mohamed K.R., El-Bassyouni G.T. Mechanical and Microstructure of Reinforced Hydroxyapatite/Calcium Silicate Nano-composites Materials // Mater. Design. 2013. V. 44. P. 461–468. https://doi.org/10.1016/j.matdes.2012.08.020
- Kokubo T., Takadama H. How Useful is SBF in Predicting in vivo Bone Bioactivity? // Biomaterials. 2006. V. 27. P. 2907–2915. https://doi.org/10.1016/j.biomaterials.2006.01.017
- Shevchenko A.E., Solonenko A.P., Blesman A.I., Polonyankin D.A., Chikanova E.S. Synthesis and Physicochemical Investigation of Hydroxyapatite and Wollastonite Composite Granules // J. Phys.: Conf. Ser. 2021. V. 1791. P. 012119. https://doi.org/10.1088/1742-6596/1791/1/012119
- Komlev V.S., Barinov S.M., Koplik E.V. A Method to Fabricate Porous Spherical Hydroxyapatite Granules Intended for Time-controlled Drug Release // Biomaterials. 2002. V. 23. P. 3449–3454. https://doi.org/10.1016/S0142-9612(02)00049-2
- Hasan M.L., Padalhin A.R., Kim B., Lee B.-T. Preparation and Evaluation of BCP-CSD-Agarose Composite Microsphere for Bone Tissue Engineering // J. Biomed. Mater. Res. B. 2019. V. 9999B. P. 1–10. https://doi.org/10.1002/jbm.b.34318
- РД 52.24.433-2005. Массовая концентрация кремния в поверхностных водах суши. Методика выполнения измерений фотометрическим методом в виде желтой формы молибдокремниевой кислоты. 2005.
- Dorozhkin S.V. Dissolution Mechanism of Calcium Apatites in Acids: A Review of Literature // World J. Methodol. 2012. V. 26. № 2(1). P. 1–17. https://doi.org/10.5662/wjm.v2.i1.1
- Niu L., Jiao K., Wang T., Zhang W., Camilleri J., Bergeron B.E., Feng H., Mao J., Chen J., Pashley D.H., Tay F.R. A Review of the Bioactivity of Hydraulic Calcium Silicate Cements // J. Dent. 2014. V. 42. № 5. P. 517–533. https://doi.org/10.1016/j.jdent.2013.12.015
- Ni S., Lin K., Chang J., Chou L. β-CaSiO3/β-Ca3(PO4)2 Composite Materials for Hard Tissue Repair: In vitro Studies // J. Biomed. Mater. Res. A. 2008. V. 85, № 1. P. 72–82. https://doi.org/10.1002/jbm.a.31390
- Вересов А.Г., Путляев В.И., Третьяков Ю.Д. Химия неорганических биоматериалов на основе фосфатов кальция // РХЖ. 2004. Т. 48. № 4. С. 52–64.
- Hossana M.J., Gafurb M.A., Kadirb M.R., Karima M.M. Preparation and Characterization of Gelatin-Hydroxyapatite Composite for Bone Tissue Engineering // IJET-IJENS. 2014. V. 14. № 1. P. 24–32.
Дополнительные файлы









