Synthesis and Characterization of a Cathode Material for Sodium-Ion Batteries Based on a Composite of Sodium Vanadium(III) Phosphate and Expanded Graphite
- Authors: Sidorov I.1,2, Zhilinskii V.V.1, Novikov V.P.2
-
Affiliations:
- Belarussian State Technological University
- Scientific–Practical Materials Research Centre, Belarussian Academy of Sciences
- Issue: Vol 59, No 6 (2023)
- Pages: 638-645
- Section: Articles
- URL: https://journal-vniispk.ru/0002-337X/article/view/140191
- DOI: https://doi.org/10.31857/S0002337X23060131
- EDN: https://elibrary.ru/FAPGJV
- ID: 140191
Cite item
Full Text
Abstract
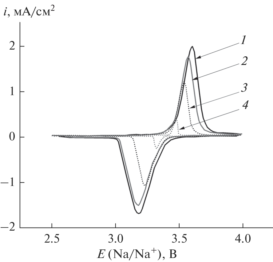
In this paper, we report an improved solid-state synthesis of Na3V2(PO4)3 isostructural with the NASICON superionic conductor and ranging in particle size from 0.5 to 4.5 μm with the use of spray drying of an aqueous solution of precursors, followed by annealing in a nitrogen atmosphere. The specific capacity of a composite of the synthesized Na3V2(PO4)3 and expanded graphite reaches 117.00 mAh/g at a charge–discharge rate of C/20 and drops to 76.73 mAh/g after 200 cycles in charge–discharge life tests at a charge–discharge rate of 1C. The apparent diffusion coefficient of sodium ions in the solid phase of the Na3V2(PO4)3/C composite for deintercalation and intercalation processes is 5.87 × 10–11 and 4.60 × 10–11 cm2/s, respectively.
About the authors
I. Sidorov
Belarussian State Technological University; Scientific–Practical Materials Research Centre, Belarussian Academy of Sciences
Email: zhilinski@yandex.ru
220006, Minsk, Belarus; 220072, Minsk, Belarus
V. V. Zhilinskii
Belarussian State Technological University
Email: zhilinski@yandex.ru
220006, Minsk, Belarus
V. P. Novikov
Scientific–Practical Materials Research Centre, Belarussian Academy of Sciences
Author for correspondence.
Email: zhilinski@yandex.ru
220072, Minsk, Belarus
References
- Goodenough J.B., Park K.S. The Li-Ion Rechargeable Battery: A Perspective // J. Am. Chem. Soc. 2013. V. 135. № 4. P. 1167–1176. https://doi.org/10.1021/ja3091438
- Fang Y., Xiao L., Qian J., Cao Y., Yang H. 3D Graphene Decorated NaTi2(PO4)3 Microspheres as a Superior High-Rate and Ultracycle-Stable Anode Material for Sodium Ion Batteries // Adv. Energy Mater. 2016. V. 6. P. 1502197. https://doi.org/10.1002/aenm.201502197
- Komaba S., Murata W., Ishikawa T., Yabuuchi N., Ozeki T., Nakayama T. Electrochemical Na Insertion and Solid Electrolyte Interphase for Hard-Carbon Electrodes and Application to Na-Ion Batteries // Adv. Funct. Mater. 2011. V. 21. № 20. P. 3859–3867. https://doi.org/10.1002/adfm.201100854
- Zeng X., Peng J., Guo Y., Zhu H., Huang X. Research Progress on Na3V2(PO4)3 Cathode Material of Sodium Ion Battery // Front. Chem. 2020. V. 8. P. 635. https://doi.org/10.3389/fchem.2020.00635
- Deng J., Luo W.B., Chou S.L., Liu H.K., Dou S.X. Sodium-Ion Batteries: from Academic Research to Practical Commercialization // Adv. Energy Mater. 2018. V. 8. № 4. P. 1701428. https://doi.org/10.1002/aenm.201701428
- Komaba S., Takei C., Nakayama T., Ogata A., Yabuuchi N. Electrochemical Intercalation Activity of Layered NaCrO2 vs. LiCrO2 // Electrochem. Commun. 2010. V. 12. № 3. P. 355–358. https://doi.org/10.1016/j.elecom.2009.12.033
- Klee R., Aragón M.J., Lavela P., Alcántara R., Tirado J.L. Na3V2(PO4)3/C Nanorods with Improved Electrode-Electrolyte Interface as Cathode Material for Sodium-Ion Batteries // ACS Appl. Mater. Interfaces 2016. V. 8. № 35. P. 23151–23159. https://doi.org/10.1021/acsami.6b07950
- Tepavcevic S., Xiong H., Stamenkovic V.R., Zuo X., Balasubramanian M., Prakapenka V.B. Nanostructured Bilayered Vanadium Oxide Electrodes for Rechargeable Sodium-Ion Batteries // ACS Nano. 2012. V. 6. № 1. P. 530–538. https://doi.org/10.1021/nn203869a
- Qi Y., Mu L., Zhao J., Hu Y. S., Liu H., Dai S. Superior Na-Storage Performance of Low-Temperature-Synthesized Na3(VO1−xPO4)2F1+2x(0 ≤ x ≤ 1) NaNoparticles for Na-Ion Batteries // Angew. Chem. Int. Ed. 2015. V. 54. № 34. P. 9911–9916. https://doi.org/10.1002/anie.201503188
- Li H., Zhu Z.Q., Duan W. Na3V2(PO4)3@C Core-Shell Nanocomposites for Rechargeable Sodium-Ion Batteries // J. Mater. Chem. A. 2014. V. 2. № 23. P. 8668–8675. https://doi.org/10.1039/C4TA00106K
- Kabbour H., Coillot D., Colmont M., Masquelier C., Mentré O. α-Na3M2(PO4)3 (M = Ti, Fe): Absolute Cationic Ordering in NASICON-Type Phases // J. Am. Chem. Soc. 2011. V. 133. № 31. P. 11900–11903. https://doi.org/10.1021/ja204321y
- Kang J.W., Baek S., Mathew V., Gim J., Song J.J., Park H. High Rate Performance of a Na3V2(PO4)3/C Cathode Prepared by Pyro-Synthesis for Sodium-Ion Batteries // J. Mater. Chem. 2012. V. 22. № 39. P. 20857–20860. https://doi.org/10.1039/c2jm34451c
- Zheng Q., Yi H.M., Li X.F., Zhang H.M. Progress and Prospect for NASICON-Type Na3V2(PO4)3 for Electrochemical Energy Storage // J. Energy Chem. 2018. V. 27. № 6. P. 1597–1617. https://doi.org/10.1016/J.JECHEM.2018.05.001
- Lim S.J., Han D.W., Nam D.H., Hong K.S., Eom J.Y., Ryu W.H. Structural Enhancement of Na3V2(PO4)3/C Composite Cathode Materials by Pillar Ion Doping for High Power and Long Cycle Life Sodium-Ion Batteries // J. Mater. Chem. A. 2014. V. 2. № 46. P. 19623–19632. https://doi.org/10.1039/C4TA03948C
- Ren W.H., Zheng Z.P., Xu C., Niu C.J., Wei Q.L., An Q.Y. Self-Sacrificed Synthesis of Three-Dimensional Na3V2(PO4)3 Nanofiber Network for High-Rate Sodium-Ion Full Batteries // Nano Energy. 2016. V. 25. P. 145–153. https://doi.org/10.1016/j.nanoen.2016.03.018
- Zatovsk I.V. NASICON-type Na3V2(PO4)3 // Acta Crystallogr., Sect. E. 2010. V. 66. № 2. P. i12. https://doi.org/10.1107/S1600536810002801
- Lim S.Y., Kim H., Shakoor R.A., Jung Y., Choi J.W. Electrochemical and Thermal Properties of NASICON Structured Na3V2(PO4)3 as a Sodium Rechargeable Battery Cathode: A Combined Experimental and Theoretical Study // J. Electrochem. Soc. 2012. V. 159. № 9. P. A1393–A1397. https://doi.org/10.1149/2.015209jes
- Wang M., Huang X., Wang H., Zhou T., Xie H., Ren Y. Synthesis and Electrochemical Performances of Na3V2(PO4)2F3/C Composites as Cathode Materials for Sodium Ion Batteries // RSC Adv. 2019. V. 9. P. 30628–30636. https://doi.org/10.1039/c9ra05089b
- Böckenfeld N., Balducci A. Determination of Sodium Ion Diffusion Coefficients in Sodium Vanadium Phosphate // J. Solid State Electrochem. 2014. V. 18. № 4. P. 959–964. https://doi.org/10.1007/s10008-013-2342-6
- Zhou X.C., Liu Y.M., Guo Y.L. Effect of Reduction Agent on the Performance of Li3V2(PO4)3/C Positive Material by One-Step Solid-State Reaction // Electrochim. Acta. 2009. V. 54. № 14. P. 2253–2258. https://doi.org/10.1016/j.electacta.2008.10.062
- Rui X.H., Yan Q.Y., Skyllas-Kazacos M., Lim T.M. Li3V2(PO4)3 Cathode Materials for Lithium-Ion Batteries: A Review // J. Power Sources. 2014. V. 258. P. 19–38. https://doi.org/10.1016/j.jpowsour.2014.01.126
- Wang D., Chen N., Li M., Wang C., Ehrenberg H., Bie X., Wei Y., Chen G., Du F. Na3V2(PO4)3/C Composite as the Intercalation-Type Anode Material for Sodium-Ion Batteries with Superior Rate Capability and Long-Cycle Life // J. Mater. Chem. A. 2015. V. 3. № 16. P. 8636–8642. https://doi.org/10.1039/C5TA00528K
- Wang Q., Cheng B.M., Zhong H.Y., Wang Q.H., Zhong S.W. Effect of Sol–Gel-Method on Crystal Growth and Electrochemical Properties of Na3V2(PO4)3 // Chin. J. Power Sources. 2019. V. 43. № 21. P. 559–561. https://doi.org/10.3969/j.issn.1002-087X.2019.04.005
- Ruan Y.L., Liu J.J., Song S.D., Jiang N.Y., Battaglia V. Multi-Hierarchical Nanosheet-Assembled Chrysanthemum-Structured Na3V2(PO4)3/C as Electrode Materials for High-Performance Sodium-Ion Batteries // Ionics. 2017. V. 24. P. 1663–1673. https://doi.org/10.1007/s11581-017-2342-0
- Liu H., Rahm E., Holze R., Wu H.Q. Cathode Materials for Lithium Ion Batteries Prepared by Sol-Gel Methods // J. Solid State Electrochem. 2004. V. 8. № 7. P. 450–466. https://doi.org/10.1007/s10008-004-0521-1
- Gao M.R., Xu Y.F., Jiang J., Yu S.H. Nanostructured Metal Chalcogenides: Synthesis, Modification, and Applications in Energy Conversion and Storage Devices // Chem. Soc. Rev. 2013. V. 42. № 7. P. 2986–3017. https://doi.org/10.1039/c2cs35310e
- Zhu Q., Cheng H., Zhang X.M., He L.Q., Hu L.Z., Yang J.W., Chen Q.Q., Lu Z.G. Improvement in Electrochemical Performance of Na3V2(PO4)3/C Cathode Material for Sodium-Ion Batteries by K-Ca Co-Doping // Electrochim. Acta. 2018. V. 281. P. 208–217. https://doi.org/10.1016/j.electacta.2018.05.174
- Новиков В.П., Кирик С.А. Способ получения расширенного графита: Пат. № 17336 РБ: МПК C01В 31/04: 30.08.2013.
- Озерова В.В., Новикова С.А., Чеканников А.А., Кулова Т.Л., Скундин А.М., Ярославцев А.Б. Электрохимическая интеркаляция натрия в композиты на основе фосфата железа (III) и углерода // Неорган. материалы. 2019. Т. 55. № 5. С. 501–508. https://doi.org/10.1134/S0002337X19050166
- Kapaev R., Chekannikov A., Novikova S., Yaroslavtsev S., Kulova T., Rusakov V., Skundin A., Yaroslavtsev A. Mechanochemical Treatment of Maricite-Type NaFePO4 for Achieving High Electrochemical Performance // J. Solid State Electrochem. 2017. V. 21. P. 2373–2380. https://doi.org/10.1007/s10008-017-3592-5
- Vasil’eva V.I., Goleva E.A., Selemenev V.F., Karpov S.I., Smagin M.A. IR Spectroscopic Study of the Mechanism of Phenylalanine Sorption from Aqueous Solutions by a Shaped Sulfonic Acid Cation-Exchange Membrane with a Styrene–Divinylbenzene Matrix // Russ. J. Phys. Chem. A. 2019. V. 93. № 3. P. 542–550.
- Саримсакова Н.С., Файзуллаев Н.И., Бакиева Х.А. Механизм и кинетика реакции получения этилового эфира из уксусной кислоты // Universum: технические науки: электрон. научн. журн. 2021. Т. 5. № 86. URL: https://7universum.com/ru/tech/archive/item/11751
- Kosova N.V., Rezepova D.O. Na1+yVPO4F1+y (0 ≤ y ≤ 0.5) as Cathode Materials for Hybrid Na/Li Batteries // Inorganics. 2017. V. 5. P. 19–21.
Supplementary files







