Sol–Gel Synthesis of Magnesium Aluminate Spinel as Influenced by Y2O3 and Eu2O3 Additions
- Авторлар: Khomidov F.G.1, Kadyrova Z.R.1, Usmanov K.L.1, Niyazova S.M.1
-
Мекемелер:
- Institute of General and Inorganic Chemistry, Academy of Sciences of Uzbekistan
- Шығарылым: Том 59, № 6 (2023)
- Беттер: 654-661
- Бөлім: Articles
- URL: https://journal-vniispk.ru/0002-337X/article/view/140193
- DOI: https://doi.org/10.31857/S0002337X23060167
- EDN: https://elibrary.ru/EWFQQC
- ID: 140193
Дәйексөз келтіру
Толық мәтін
Аннотация
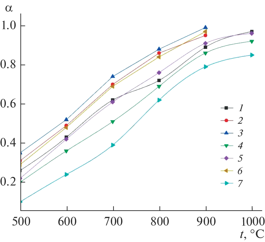
Magnesium aluminate spinel has been prepared by sol–gel synthesis. We have studied the effect of europium and yttrium oxides on the synthesis of magnesium aluminate spinel and kinetics of spinel formation during heat treatment in the temperature range 500–1000°C. According to X-ray diffraction and chemical analysis data, the formation of magnesium aluminate spinel from a dried xerogel prepared from a mixture of the Al(NO3)3 and Mg(NO3)2 compounds in the ratio 2 : 1, respectively, occurred at a temperature of 1000°C and a firing time of 240 min. The resultant material contained free MgO as an impurity phase. The addition of 1.5 wt % Eu2O3 relative to the total weight of the starting mixture reduced the peak spinel formation temperature to 900°C at a firing time of 240 min. In the case of Y2O3, the addition of 3 wt % was needed to maximize spinel formation at this temperature.
Негізгі сөздер
Авторлар туралы
F. Khomidov
Institute of General and Inorganic Chemistry, Academy of Sciences of Uzbekistan
Email: faha0101@mail.ru
100170, Tashkent, Uzbekistan
Z. Kadyrova
Institute of General and Inorganic Chemistry, Academy of Sciences of Uzbekistan
Email: faha0101@mail.ru
100170, Tashkent, Uzbekistan
Kh. Usmanov
Institute of General and Inorganic Chemistry, Academy of Sciences of Uzbekistan
Email: faha0101@mail.ru
100170, Tashkent, Uzbekistan
Sh. Niyazova
Institute of General and Inorganic Chemistry, Academy of Sciences of Uzbekistan
Хат алмасуға жауапты Автор.
Email: faha0101@mail.ru
100170, Tashkent, Uzbekistan
Әдебиет тізімі
- Ćirić A., Ristić Z., Periša J., Antić Ž., Dramićanin M.D. MgAl2O4:Cr3+ Luminescence Thermometry Probe in the Physiological Temperatures Range // Ceram. Int. 2021. V. 47. № 19. P. 27151–27156. https://doi.org/10.1016/j.ceramint.2021.06.131
- Ganesh I. A Review on Magnesium Aluminate (MgAl2O4) Spinel: Synthesis, Processing and Applications // Int. Mater. Rev. 2013. V. 58. № 2. P. 63–112. https://doi.org/10.1179/1743280412Y.0000000001
- Wang C., Zhao Z. Transparent MgAl2O4 Ceramic Produced by Spark Plasma Sintering // Scr. Mater. 2009. V. 61. P. 193–196. https://doi.org/10.1016/j.scriptamat.2009.03.039
- Kolesnikov I.E., Golyeva E.V., Kurochkin A.V., Mikhailov M.D. Structural and Luminescence Properties of MgAl2O4:Eu3+ Nanopowders // J. Alloys Compd. 2016. V. 654. P. 32–38. https://doi.org/10.1016/j.jallcom.2015.09.122
- Balabanov S.S., Yavetskiy R.P., Belyaeva A.V., Gavrishchuk E.M., Drobotenko V.V., Evdokimov I.I., Novikova A.V., Palashov O.V., Permin D.A., Pimenov V.G. Fabrication of Transparent MgAl2O4 Ceramics by Hot-Pressing of Sol-Gel-Derived Nanopowders // Ceram. Int. 2015. V. 41. № 10. P. 133661–13371. https://doi.org/10.1016/j.ceramint.2015.07.123
- Knyazeva S.S., Chernorukov N.G., Smirnova N.N., Knyazev A.V., Korokin V.Zh., Baidakov K.V. Low-Temperature Studies of Spinel // Physics Days 2015. Helsinki, Finland. 2015. P. 137–139.
- Хомидов Ф.Г., Кадырова З.Р., Усманов Х.Л., Ниязова Ш.М., Сабиров Б.Т. Особенности синтеза алюмомагнезиальной шпинели золь–гель-методом // Стекло и керамика. 2021. № 6. С. 48–52.
- Zhang X. Hydrothermal Synthesis and Catalytic Performance of High-Surface-Area Mesoporous Nanocrystallite MgAl2O4 as Catalyst Support // Mater. Chem. Phys. 2009. V. 116. P. 4154. https://doi.org/10.1016/j.matchemphys.2009.04.012
- Sanjabi S., Obeydavi A. Synthesis and Characterization of Nanocrystalline MgAl2O4 Spinel via Modified Sol–Gel-Method // J. Alloys Compd. 2015. V. 645. P. 535–541. https://doi.org/10.1016/j.jallcom.2015.05.107
- Wang C.T., Lin L.S., Yang S.J. Preparation of MgAl2O4 Spinel Powders via Freeze-Drying of Alkoxide Precursors // J. Am. Ceram. Soc. 1992. V. 75. P. 2240–2243. https://doi.org/10.1111/j.1151-2916.1992.tb04490.x
- Чижиков А.П., Константинов А.С., Бажин П.М. Самораспространяющийся высокотемпературный синтез керамического материала на основе алюмомагниевой шпинели и диборида титана // Журн. неорган. химии. 2021. Т. 66. № 8. С. 1002–1008. https://doi.org/10.31857/S0044457X21080031
- Raghu R., Nampoothiri J., Kumar T.S. In-Situ Generation of MgAl2O4 Particles in Al-Mg Alloy Using H3BO3 Addition for Grain Refinement Under Ultrasonic Treatment // Measurement. 2018. V. 129. P. 389–394. https://doi.org/10.1016/j.measurement.2018.07.056
- Ianoş R., Lazău I., Păcurariu C., Barvinschi P. Solution Combustion Synthesis of MgAl2O4 Using Fuel Mixtures // Mater. Res. Bull. 2008. V. 43. P. 3408–3415. https://doi.org/10.1016/j.materresbull.2008.02.003
- Shahbazi H., Tataei M. A Novel Technique of Gel-Casting for Producing Dense Ceramics of Spinel (MgAl2O4) // Ceram. Int. 2019. V. 45. P. 8727–8733. https://doi.org/10.1016/j.ceramint.2019.01.196
- Adison S., Sirithan J., Supatra J., Karn S. Synthesis and Sintering of Magnesium Aluminate Spinel Nanopowders Prepared by Precipitation Method using Ammonium Hydrogen Carbonate as a Precipitant // Key Eng. Mater. 2016. V. 690. P. 224–229. https://doi.org/10.4028/www.scientific.net/KEM.690.224
- Страумал Е.А., Гожикова И.О., Котцов С.Ю., Лермонтов С.А. Влияние концентрации золя на основные характеристики аэрогелей оксида алюминия // Журн. неорган. химии. 2022. Т. 67. № 10. С. 1485–1491. https://doi.org/10.31857/S0044457X22100208
- Zarazúa V.L., Téllez J.L., Vargas B.N. Synthesis of Magnesium Aluminate Spinel Nanopowder by Sol–Gel and Low-Temperature Processing // J. Sol–Gel Sci. Technol. 2018. V. 85. P. 110–120. https://doi.org/10.1007/s10971-017-4526-5
- Морозова Л.В. Синтез нанокристаллических порошков в системе CеO2〈ZrO2〉–Al2O3 цитратным золь–гель-методом // Неорган. материалы. 2021. Т. 57. № 2. С. 163–172.https://doi.org/10.31857/S0002337X21020093
- Hoa B.T., Phuc L.H., Hien N.Q. et al. Synthesis of Silver-Containing Bioactive Glass Material by an Improved Sol–Gel Method // Russ. J. Inorg. Chem. 2022. V. 67. (Suppl 1). P. 63–70. https://doi.org/10.1134/S003602362260160X
- Бюхель Г., Гирш Д., Бур А. Шпинельные алюмомагниевые материалы для стойких футеровок сталеразливочных ковшей // Новые огнеупоры. 2009. № 4. С. 117‒123.
- Кащеев И.Д., Каменских В.А., Земляной К.Г. Синтез шпинели из каустического магнезита и пыли производства глинозема // Огнеупоры и техническая керамика. 2003. № 8. С. 17–21.
- Кащеев И.Д., Земляной К.Г. Производство шпинели // Новые огнеупоры. 2017. № 3. С. 127–133. https://doi.org/10.17073/1683-4518-2017-3-127-133
- Kim T., Kim D., Kang Sh. Effect of Additives on the Sintering of MgAl2O4 // J. Alloys Compd. 2014. V. 587. P. 594‒599. https://doi.org/10.1016/j.jallcom.2013.10.250
- X-Ray ASTM Standards Part 17. “Refractories, Glass, Ceramic Materials, Carbon and Graphite Products”. ASTM. Philadelphia. 2005. P. 7–9, 51–61.
- Косенко Н.Ф., Филатова Н.В., Родионова В.И., Егорова А.А. Твердофазный синтез цинковой шпинели // Научные труды SWORLD. 2017. № 3. С. 35–39.
- Titov D.D., Shcherbakova G.I., Gumennikova E.A. et al. Effect of the Addition of Sm2O3 on the Sintering of MgAl2O4 from a Preceramic Al, Mg Oligomer // Russ. J. Inorg. Chem. 2021. V. 66. P. 1141–1147. https://doi.org/10.1134/S0036023621080295
- Щербакова Г.И., Похоренко А.С., Стороженко П.А., Варфоломеев М.С., Драчев А.И., Титов Д.Д., Ашмарин А.А. Zr(Hf)-оксанмагнийоксаналюмоксаны – предшественники модифицированной алюмомагниевой керамики // Журн. неорган. химии. 2022. Т. 67. № 5. С. 547–558. https://doi.org/10.31857/S0044457X22050166
- Assih T., Ayral A., Abenoza M., Phalippou J. Raman Study of Alumina Gels // J Mater Sci. 1988. V. 23. P. 3326–3331. https://doi.org/10.1007/BF00551313
- Koichumanova K., Sai Sankar Gupta K.B., Lefferts L. An in Situ ATR-IR Spectroscopy Study of Aluminas under Aqueous Phase Reforming Conditions // Phys. Chem. Chem. Phys. 2015. V. 17. P. 23795–23804. https://doi.org/10.1039/C5CP02168E
- Chang T.C., Irish D.E. Raman and Infrared Studies of Hexa-, Tetra-, and Dihydrates of Crystalline Magnesium Nitrate // Can. J. Chem. 1973. V. 51. P. 118–125. https://doi.org/10.1139/v73-017
- Al-Abadleh H.A., Grassian V.H. Phase Transitions in Magnesium Nitrate Thin Films: a Transmission FT-IR Study of the Deliquescence and Efflorescence of Nitric Acid Reacted Magnesium Oxide Interfaces // J. Phys. Chem. Bull. 2003. V. 107. P. 10829–10839. https://doi.org/10.1021/jp0275692
- Jayarambabu N., Siva Kumari B., Venkateswara Rao K., Prabhu Y. Enhancement of Growth in Maize by Biogenic-Synthesized MgO Nanoparticles // Int. J. Pure Appl. Zool. 2016. V. 4. P. 262–270.
- Boumaza A., Favaro L., Lédion J. Transition Alumina Phases Induced by Heat Treatment of Boehmite: an X-ray Diffraction and Infrared Spectroscopy Study // J. Solid. State Chem. 2009. V. 182. P. 1171–1176. https://doi.org/10.1016/j.jssc.2009.02.006
- Chandradass J., Kim K.H. Effect of Precursor Ratios on the Synthesis of MgAl2O4 Nanoparticles by a Reverse Microemulsion Method // J. Ceram. Process. Res. 2010. V. 11. P. 96–99.
Қосымша файлдар









