Изучение теплопроводности мелкозернистой композиционной керамики YAG:Nd/SiC для инертных топливных матриц
- Авторы: Алексеева Л.С.1, Нохрин А.В.2, Орлова А.И.1, Болдин М.С.2, Ланцев Е.А.2, Мурашов А.А.1, Чувильдеев В.Н.1, Москвичев А.А.3
-
Учреждения:
- Нижегородский государственный университет им. Н.И. Лобачевского
- Национальный исследовательский Нижегородский государственный университет им. Н.И. Лобачевского
- Институт проблем машиностроения Российской академии наук
- Выпуск: Том 59, № 6 (2023)
- Страницы: 689-695
- Раздел: Статьи
- URL: https://journal-vniispk.ru/0002-337X/article/view/140203
- DOI: https://doi.org/10.31857/S0002337X23060027
- EDN: https://elibrary.ru/EKEGJU
- ID: 140203
Цитировать
Полный текст
Аннотация
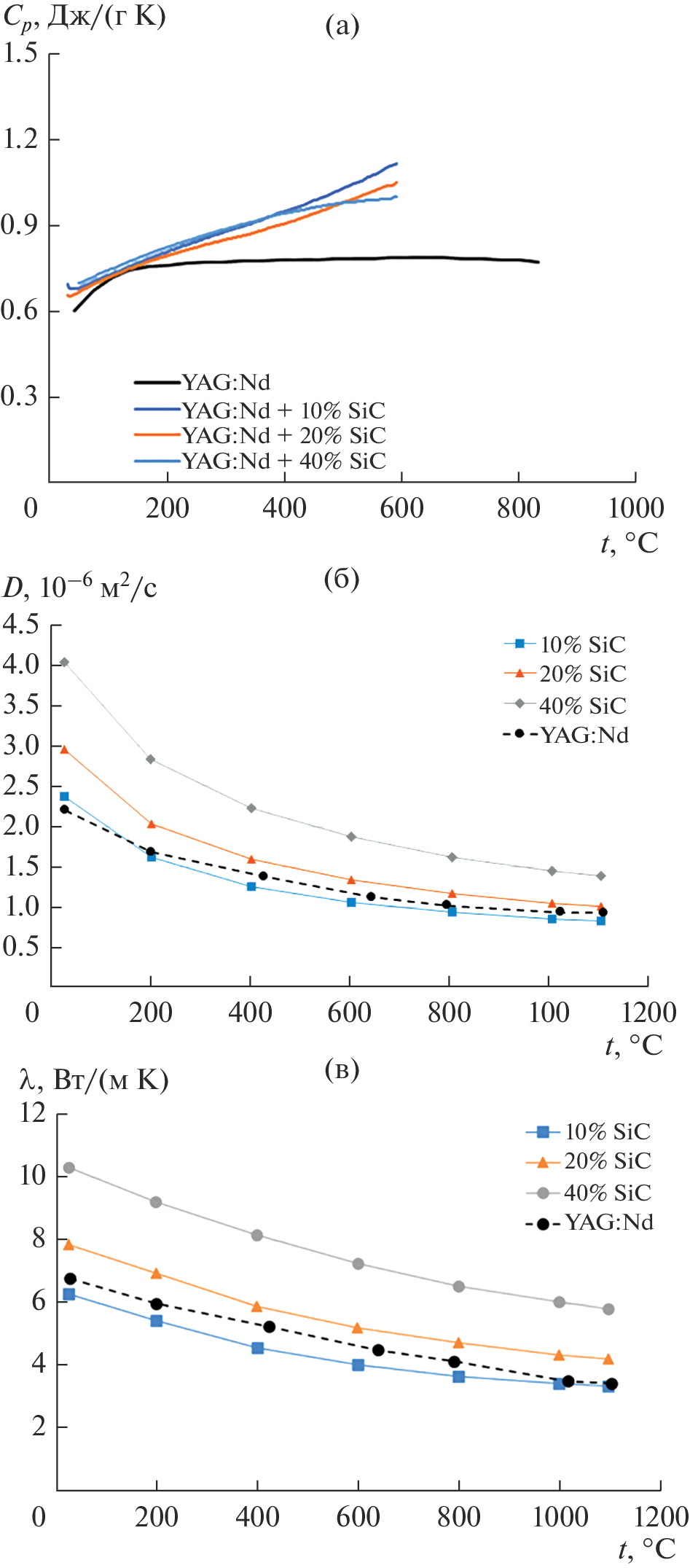
Изучены теплофизические свойства (теплоемкость, температуропроводность, теплопроводность) образцов мелкозернистых керамических композитов на основе иттрий-алюминиевого граната Y2.5Nd0.5Al5O12 (YAG:Nd) с различным содержанием карбида кремния α-SiC. Показано, что коэффициент теплопроводности композитов YAG:Nd/SiC превосходит аналогичные характеристики для композитов CeO2/SiC и YAG:Nd/Ni. Установлено, что высокие значения коэффициента теплопроводности обусловлены формированием зеренной микроструктуры с бимодальным распределением зерен по размерам, в которой крупные зерна граната окружены областями с повышенным содержанием высокотеплопроводящей фазы α-SiC.
Ключевые слова
Об авторах
Л. С. Алексеева
Нижегородский государственный университет им. Н.И. Лобачевского
Email: golovkina_lyudmila@mail.ru
Россия, 603022, Нижний Новгород, пр. Гагарина, 23
А. В. Нохрин
Национальный исследовательский Нижегородский государственный университет им. Н.И. Лобачевского
Email: nokhrin@nifti.unn.ru
Россия, 603022, Нижний Новгород, просп. Гагарина, 23
А. И. Орлова
Нижегородский государственный университет им. Н.И. Лобачевского
Email: golovkina_lyudmila@mail.ru
Россия, 603022, Нижний Новгород, пр. Гагарина, 23
М. С. Болдин
Национальный исследовательский Нижегородский государственный университет им. Н.И. Лобачевского
Email: nokhrin@nifti.unn.ru
Россия, 603022, Нижний Новгород, просп. Гагарина, 23
Е. А. Ланцев
Национальный исследовательский Нижегородский государственный университет им. Н.И. Лобачевского
Email: nokhrin@nifti.unn.ru
Россия, 603022, Нижний Новгород, просп. Гагарина, 23
А. А. Мурашов
Нижегородский государственный университет им. Н.И. Лобачевского
Email: golovkina_lyudmila@mail.ru
Россия, 603022, Нижний Новгород, пр. Гагарина, 23
В. Н. Чувильдеев
Нижегородский государственный университет им. Н.И. Лобачевского
Email: semenycheva@nifti.unn.ru
Россия, 603022, Нижний Новгород, просп. Гагарина, 23
А. А. Москвичев
Институт проблем машиностроения Российской академии наук
Автор, ответственный за переписку.
Email: golovkina_lyudmila@mail.ru
Россия, 603024, Нижний Новгород, ул. Белинского, 85
Список литературы
- O’Brien R.C., Ambrosi R.M., Bannister N.P., Howe S., Atkinson H. Spark Plasma Sintering of Simulated Radioisotope Materials within Tungsten Cermets // J. Nucl. Mater. 2009. V. 39. P. 108–113. https://doi.org/10.1016/j.jnucmat.2009.05.012
- O’Brien R.C., Jerred N.D. Spark Plasma Sintering of W-UO2 Cermets // J. Nucl. Mater. 2013. V. 433. P. 50–54. https://doi.org/10.1016/j.jnucmat.2012.08.044
- Williams H.R., Ning H., Reece M.J., Ambrosi R.M., Bannister N.P., Stephenson K. Metal Matrix Composite Fuel for Space Radioisotope Energy Sources // J. Nucl. Mater. 2013. V. 433. № 1–3. P. 116–123. https://doi.org/10.1016/j.jnucmat.2012.09.030
- Kamel N., Aϊt-Amar H., Kamel Z., Souami N., Telmoune S., Ouarezki S. On the Basic Properties of an Iron-Based Simulated Cermet Inert Matrix Fuel, Synthesized by a Dry Route in Oxidizing Conditions // Prog. Nucl. Energy. 2006. V. 48. P. 590–598. https://doi.org/10.1016/j.pnucene.2006.03.004
- Gregg D.J., Karatchevtseva I., Triani G., Lumpkin G.R., Vance E.R. The Thermophysical Properties of Calcium and Barium Zirconium Phosphate // J. Nucl. Mater. 2013. V. 441. № 1–3. P. 203–210. https://doi.org/10.1016/j.jnucmat.2013.05.075
- Ryu H.J., Lee Y.W., Cha S.I., Hong S.H. Sintering Behaviour and Microstructures of Carbides and Nitrides for the Inert Matrix Fuel by Spark Plasma Sintering // J. Nucl. Mater. 2006. V. 352. P. 341–348. https://doi.org/10.1016/j.jnucmat.2006.02.089
- Raison P.E., Haire R.G. Structural Investigation of the Pseudo-Ternary System AmO2–Cm2O3–ZrO2 as Potential Materials for Transmutation // J. Nucl. Mater. 2003. V. 320. № 1–2. P. 31–35. https://doi.org/10.1016/S0022-3115(03)00165-X
- Potanina E., Golovkina L., Orlova A., Nokhrin A., Boldin M., Sakharov N. Lanthanide (Nd, Gd) Compounds with Garnet and Monazite Structures. Powders Synthesis by “Wet” Chemistry to Sintering Ceramics by Spark Plasma Sintering // J. Nucl. Mater. 2016. V. 473. P. 93–98. https://doi.org/10.1016/j.jnucmat.2016.02.014
- Лившиц Т.С. Изоморфизм актиноидов и РЗЭ в синтетических ферритных гранатах // Геология рудных месторождений. 2010. Т. 52. № 1. С. 54–64.
- Томилин С.В., Лизин А.А., Лукиных А.Н., Лившиц Т.С. Радиационная и химическая устойчивость алюмоиттриевого граната // Радиохимия. 2011. Т. 53. № 2. С. 162–165.
- Лившиц Т.С., Лизин А.А., Джанг Дж., Юинг Р.Ч. Аморфизация редкоземельных алюминатных гранатов при ионном облучении и распаде примеси 244Cm // Геология руд. месторождений. 2010. Т. 52. № 4. С. 297–309.
- Stockmeier M., Sakwe S.A., Hens P., Wellmann P.J., Hock R., Magerl A. Thermal Expansion Coefficients of 6H Silicon Carbide // Mater. Sci. Forum. 2009. V. 600–603. P. 517–520. https://doi.org/10.4028/www.scientific.net/MSF.600-603.517
- Wang J., Xu F., Wheatley R.J., Neate N.C., Hou X. Yb3+ Doping Effects on Thermal Conductivity and Thermal Expansion of Yttrium Aluminium Garnet // Ceram. Int. 2016. V. 42. № 12. P. 14228–14235. https://doi.org/10.1016/j.ceramint.2016.06.034
- Chuvil’deev V.N., Boldin M.S., Nokhrin A.V., Popov A.A. Advanced Materials Obtained by Spark Plasma Sintering // Acta Astronaut. 2017. V. 135. P. 192–197. https://doi.org/10.1016/j.actaastro.2016.09.002
- Алексеева Л.С., Нохрин А.В., Каразанов К.О., Орлова А.И., Болдин М.С., Ланцев Е.А., Мурашов А.А., Чувильдеев В.Н. Исследование механических свойств и стойкости к термоудару мелкозернистой керамики YAG:Nd/SiC // Неорган. материалы. 2022. Т. 58. № 2. С. 209–214. https://doi.org/10.1134/S0020168522020017
- Golovkina L.S., Orlova A.I., Chuvil’deev V.N., Boldin M.S., Lantcev E.A., Nokhrin A.V., Sakharov N.V., Zelenov A.Yu. Spark Plasma Sintering of High-Density Fine-Grained Y2.5Nd0.5Al5O12 + SiC Composite Ceramics // Mater. Res. Bull. 2018. V. 103. P. 211–215. https://doi.org/10.1016/j.materresbull.2018.03.042
- Schneider G.A. Thermal Shock Criteria for Ceramics // Ceram. Int. 1991. V. 17. P. 325–333.
- Bao Y.W., Wang X.H., Zhang H.B., Zhou Y.C. Thermal Shock Behavior of Ti3AlC2 between 200°C and 1300°C // J. Eur. Ceram. Soc. 2005. V. 25. P. 3367–3374.
- Tokita M. Progress of Spark Plasma Sintering (SPS) Method, Systems, Ceramics Applications and Industrializations // Ceramics. 2021. V. 4. № 2. P. 160–198. https://doi.org/10.3390/ceramics4020014
- Orlova A.I. Crystalline Phosphates for HLW Immobilization – Composition, Structure, Properties and Production of Ceramics. Spark Plasma Sintering as a Promising Sintering Technology // J. Nucl. Mater. 2022. V. 559. P. 153407. https://doi.org/10.1016/j.jnucmat.2021.153407
- Orlova A.I., Ojovan M.I. Ceramic Mineral Waste-Forms for Nuclear Waste Immobilization // Materials. 2019. V. 12. № 16. P. 2638. https://doi.org/10.3390/ma12162638
- Михайлов Д.А., Потанина Е.А., Орлова А.И., Нохрин А.В., Болдин М.С., Белкин О.А., Сахаров Н.В., Скуратов В.А., Кирилкин Н.С., Чувильдеев В.Н. Исследование радиационной и гидролитической устойчивости керамики на основе фосфата Y0.95Gd0.05PO4 со структурой ксенотима // Неорган. материалы. 2021. Т. 57. № 7. С. 796–802. https://doi.org/10.31857/S0002337X21070125
- Mikhailov D., Orlova A., Malanina N., Nokhrin A.V., Potanina E.A., Chuvil’deev V.N., Boldin M.S., Sakharov N.V., Belkin O.A., Kalenova M.Yu., Lantcev E.A. A Study of Fine-Grained Ceramics Based on Complex Oxides ZrO2-Ln2O3 (Ln = Sm, Yb) Obtained by Spark Plasma Sintering for Inert Matrix Fuel // Ceram. Int. 2018. V. 44. P. 18595–18608. https://doi.org/10.1016/j.ceramint.2018.07.084
- Alekseeva L., Nokhrin A., Boldin M., Lantsev E., Murashov A., Orlova A., Chuvil’deev V. Study of the Hydrolytic Stability of Fine-Grained Ceramics Based on Y2.5Nd0.5Al5O12 Oxide with a Garnet Structure under Hydrothermal Conditions // Materials. 2021. V. 14. № 9. P. 2152. https://doi.org/10.3390/ma14092152
- Hargman D.L. MATPRO-Version11, A Handbook of Materials Properties for Use in the Analysis of Light Water Reactor Fuel Rod Behavior, Idaho National Engineering Lab, 1981.
- Alekseeva L., Nokhrin A., Boldin M., Lantsev E., Orlova A., Chuvil’deev V., Sakharov N. Fabrication of Fine-Grained CeO2-SiC Ceramics for Inert Fuel Matrices by Spark Plasma Sintering // J. Nucl. Mater. 2020. V. 539. P. 152225. https://doi.org/10.1016/j.jnucmat.2020.152225
- Golovkina L.S., Orlova A.I., Boldin M.S., Sakharov N.V., Chuvil’deev V.N., Konings R., Staicu D. Development of Composite Ceramic Materials with Improved Thermal Conductivity and Plasticity Based on Garnet-Type Oxides // J. Nucl. Mater. 2017. V. 489. P. 158–163. https://doi.org/10.1016/j.jnucmat.2017.03.031
Дополнительные файлы








