Effect of Vanadium Additions on the Electrochemical Corrosion Behavior of Zinc Alloy TsAMSv 4-1-2.5 in a NaCl Medium
- Authors: Ganiev I.N.1, Sharifzoda N.V.1, Berdiev A.E.1, Davlatzoda F.S.2, Alikhonova S.J.1
-
Affiliations:
- Russian–Tajik Slavonic University
- Danghara State University
- Issue: Vol 59, No 6 (2023)
- Pages: 712-718
- Section: Articles
- URL: https://journal-vniispk.ru/0002-337X/article/view/140210
- DOI: https://doi.org/10.31857/S0002337X23060076
- EDN: https://elibrary.ru/EQOLRJ
- ID: 140210
Cite item
Full Text
Abstract
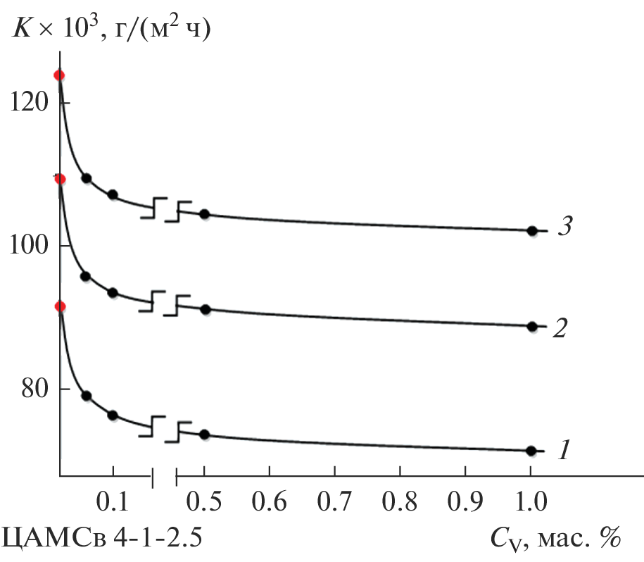
We have proposed a composition of a new alloy based on zinc alloy TsAM 4-1, prepared from Ts3 crude zinc: TsAMSv 4-1-2.5. The alloy has been studied potentiostatically in potentiodynamic mode in NaCl electrolyte at a potential sweep rate of 2 mV/s. We have assessed the effect of vanadium additions on the electrochemical corrosion behavior of zinc alloy TsAMSv 4-1-2.5 in NaCl electrolyte. The results demonstrate that alloying with vanadium shifts the free corrosion, pitting, and repassivation potentials of the alloys to positive values. With increasing chloride ion concentration, the corrosion rate of the alloys rises, independent of their composition. The addition of vanadium to alloy TsAMSv 4-1-2.5 reduces its corrosion rate in NaCl electrolyte by 15–20%, which in turn ensures a decrease in protective layer thickness and makes it possible to save at least 10% of the metal.
About the authors
I. N. Ganiev
Russian–Tajik Slavonic University
Email: ganievizatullo48@gmail.com
734000, Dushanbe, Tajikistan
N. V. Sharifzoda
Russian–Tajik Slavonic University
Email: ganievizatullo48@gmail.com
734000, Dushanbe, Tajikistan
A. E. Berdiev
Russian–Tajik Slavonic University
Email: ganievizatullo48@gmail.com
734000, Dushanbe, Tajikistan
F. S. Davlatzoda
Danghara State University
Email: ganievizatullo48@gmail.com
735320, Danghara, Tajikistan
S. J. Alikhonova
Russian–Tajik Slavonic University
Author for correspondence.
Email: ganievizatullo48@gmail.com
734000, Dushanbe, Tajikistan
References
- Шлугер М.А., Ажогин Ф.Ф. Коррозия и защита металлов. М.: Металлургия, 1981. 216 с.
- Томашов Н.Д. Теория коррозии и защиты металлов. М.: Изд-во АН СССР, 1959. 591 с.
- Улиг Г. Коррозия металлов; пер. с англ. М.: Металлургия, 1968. 308 с.
- Фрейман Л.И., Макаров В.А., Брыксин И.Е. Потенциостатические методы в коррозионных исследованиях и электрохимической защите / Под ред. акад. Колотыркина Я.М. Л.: Химия, 1972. 240 с.
- Ганиев И.Н., Аминова Н.А., Бердиев А.Э., Алихонова С.Дж. Влияние добавок бария на теплофизические и термодинамические свойства цинкового сплава ЦАМСв 4-1-2.5 // Цв. металлы. 2021. № 12. С. 53–58.
- Ганиев И.Н., Алиева Л.З., Бердиев А.Э., Алихонова С.Дж. Коррозионно-электрохимическое поведение цинкового сплава ЦАМСв 4-1-2.5, легированного калием, в среде электролита NaCl // Вестн. Санкт-Петербургского гос. ун-та технологии и дизайна. Сер. 1. Естественные и технические науки. 2021. № 3. С. 55–60.
- Ганиев И.Н., Содикова С.С., Алихонова С.Дж., Саидзода Р.Х. Повышение антикоррозионных свойств высокочистого цинка, легированием алюминием // Материаловедение. 2021. № 5. С. 3–6.
- Ганиев И.Н., Рахимова Н.О., Курбонова М.З., Давлатзода Ф.С., Якубов У.Ш. Влияние добавки титана на коррозионно-электрохимические свойства алюминиевого сплава АБ1 // Неорган. материалы. 2022. Т. 58. № 8. С. 924–928. https://doi.org/10.31857/S0002337X22080024
- Обидов З.Р., Ганиев И.Н. Физикохимия цинк-алюминиевых сплавов с редкоземельными металлами. Душанбе: Андалеб Р, 2015. 334 с.
- Ганиев И.Н., Шарифзода Н.В., Бердиев А.Э., Давлатзода Ф.С. Коррозионно-электрохимическое поведение цинкового сплава ЦАМС 4-1-2.5 с титаном в водном растворе NaCl // Металлы. 2022. № 6. С. 94–99.
- Колотыркин Я.М., Попов Ю.А., Алексеев Ю.В. Электрохимическая кинетика в питтинге. Модель поверхностных процессов // Электрохимия. 1978. Т. 14. Вып. 10. С. 1601–1604.
- Колотыркин Я.М., Попов Ю.А., Алексеев Ю.В. Теория роста резистивного слоя в питтинге // Электрохимия. 1979. Т. 15. Вып. 6. С. 894–898.
Supplementary files







