Структура, диэлектрические и сегнетоэлектрические свойства гетероструктуры BiFeO3/Sr0.5Ba0.5Nb2O6/Pt(001)/MgO(001)
- Авторы: Павленко А.В.1,2, Матяш Я.Ю.3, Стрюков Д.В.3, Маломыжева Н.В.4
-
Учреждения:
- Федеральный исследовательский центр “Южный научный центр Российской академии наук”
- Научно-исcледовательский институт физики Южного федерального университета
- Федеральное государственное бюджетное учреждение науки “Федеральный исследовательский центр Южный научный центр Российской академии наук”
- Научно-исследовательский институт физики Южного федерального университета
- Выпуск: Том 59, № 7 (2023)
- Страницы: 814-821
- Раздел: Статьи
- URL: https://journal-vniispk.ru/0002-337X/article/view/231935
- DOI: https://doi.org/10.31857/S0002337X23070126
- EDN: https://elibrary.ru/QSGOST
- ID: 231935
Цитировать
Полный текст
Аннотация
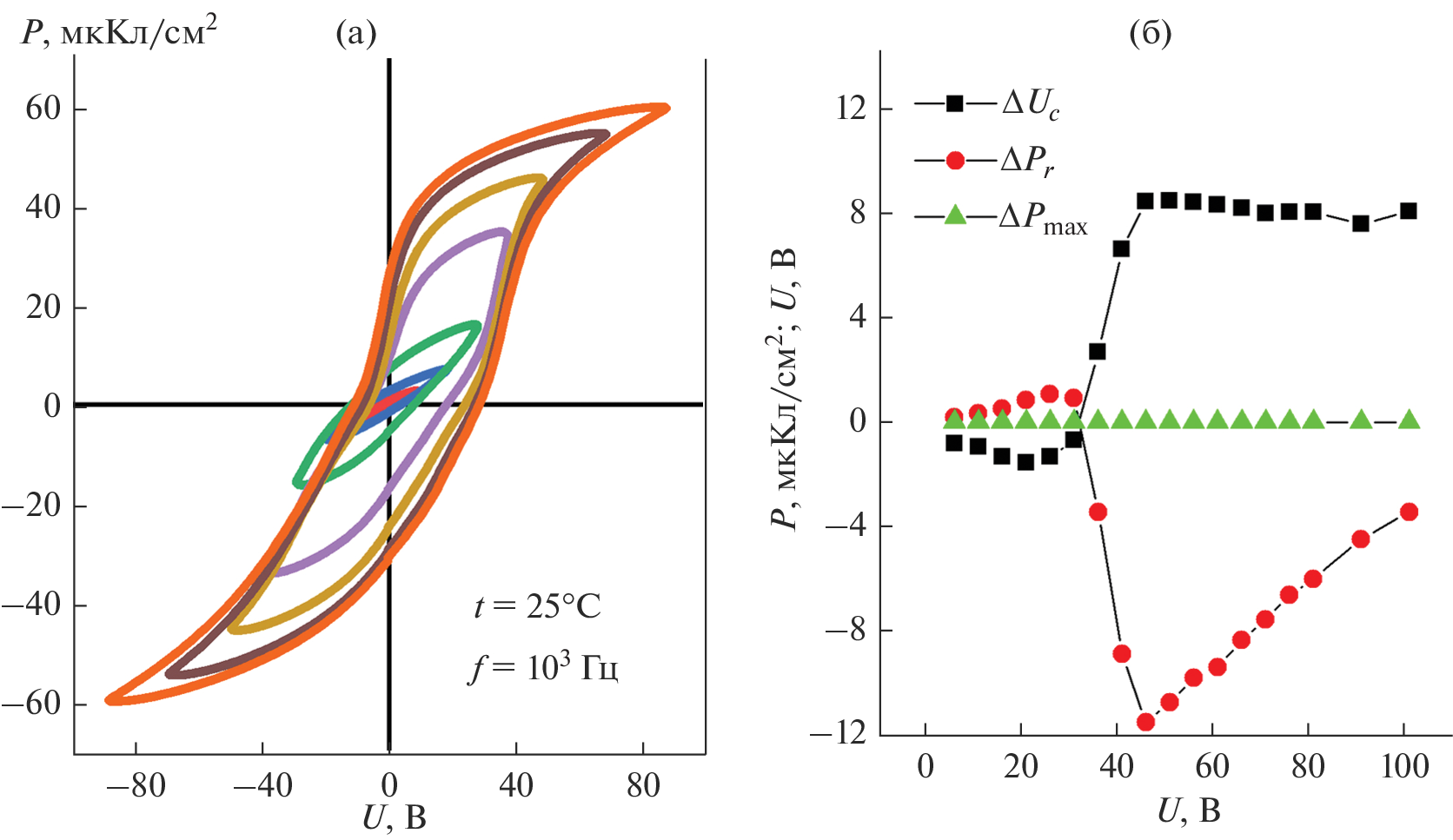
С использованием метода ВЧ-катодного распыления в атмосфере кислорода изготовлена гетероструктура на основе мультиферроика феррита висмута и сегнетоэлектрика ниобата бария-стронция – BiFeO3(1000 нм)/Sr0.5Ba0.5Nb2O6(1000 нм)/Pt(001)/MgO(001), в которой отсутствовали примесные фазы, а среднеквадратичная шероховатость поверхности составляла не более 1% от ее толщины. Установлено, что в гетероструктуре все слои выращены эпитаксиально: SBN-50 получен с формированием ориентационных доменов, развернутых в плоскости сопряжения на ±18.4° относительно осей подложки MgO, а слои BFO и Pt – с ориентацией кристаллографических осей параллельно осям подложки MgO. Показано, что величина сегнетоэлектрической поляризации в материале при U = 90 В составляла 59.3 мкКл/см2, а для описания закономерностей изменения относительной диэлектрической проницаемости (ε) гетероструктуры при t = 25–250°C достаточно учесть зависимости ε(t) для каждого из слоев. Обсуждаются причины выявленных закономерностей.
Об авторах
А. В. Павленко
Федеральный исследовательский центр “Южный научный центр Российской академии наук”; Научно-исcледовательский институт физики Южного федерального университета
Email: antvpr@mail.ru
Россия, 344006, Ростов-на-Дону, пр. Чехова, 41; Россия, 344090, Ростов-на-Дону,
пр. Стачки, 194
Я. Ю. Матяш
Федеральное государственное бюджетное учреждение науки “Федеральный исследовательский центр Южный научный центр Российской академии наук”
Email: avnazarenko1@gmail.com
Россия, Ростов-на-Дону
Д. В. Стрюков
Федеральное государственное бюджетное учреждение науки “Федеральный исследовательский центр Южный научный центр Российской академии наук”
Email: avnazarenko1@gmail.com
Россия, Ростов-на-Дону
Н. В. Маломыжева
Научно-исследовательский институт физики Южного федерального университета
Автор, ответственный за переписку.
Email: antvpr@mail.ru
Россия, 344090, Ростов-на-Дону, пр. Стачки, 194
Список литературы
- Воротилов К.А., Мухортов В.М., Сигов А.С. Интегрированные сегнетоэлектрики. М.: Энергоатомиздат, 2011. 175 с.
- Гриценко В.А., Исламов Д.Р. Физика диэлектрических пленок: механизмы транспорта заряда и физические основы приборов памяти. Новосибирск: Параллель, 2017. 352 с.
- Мухортов В.М., Головко Ю.И., Толмачев Г.Н. Создание наноразмерных монокристаллических пленок сложных оксидов путем трехмерного упорядочения атом–кластер–кристалл // Вестн. Южного науч. центра РАН. 2006. Т. 2. № 1. С. 30.
- Зинченко С.П., Стрюков Д.В., Павленко А.В., Мухортов В.М. Влияние подслоя Ba0.2Sr0.8TiО3 на структуру и электрофизические характеристики пленок цирконата-титаната свинца на подложке Si(001) // ПЖТФ. 2020. Т. 46. Вып. 23. С. 41–44. https://doi.org/10.21883/PJTF.2020.23.50348.18476
- Стрюков Д.В., Мухортов В.М., Головко Ю.И., Бирюков С.В. Особенности сегнетоэлектрического состояния в двухслойных гетероструктурах на основе титаната бария-стронция // ФТТ. 2018. Т. 60. № 1. С. 113–117.
- Вербенко И.А., Глазунова Е.В., Дудкина С.И., Резниченко Л.А. Экологически чистые интеллектуальные материалы с особыми электрическими и магнитными свойствами. Пути поиска: модифицирование (Т. 1). Ростов н/Д.: Фонд науки и образования, 2020. 328 с.
- Физика сегнетоэлектриков: современный взгляд / Под ред. Рабе К.М. и др. пер. с англ. 4-е изд., электрон. М.: Лаборатория знаний, 2020. 443 с.
- Okatan M.B., Misirlioglu I.B., Alpay S.P. Contribution of Space Charges to the Polarization of Ferroelectric Superlattices and its Effect on Dielectric Properties // Phys. Rev. B. 2010. V. 82. P. 094115.
- Кузьминов Ю.С. Сегнетоэлектрические кристаллы для управления лазерным излучением. M.: Наука, 1982. 400 с.
- Павленко А.В., Стрюков Д.В., Кубрин С.П. Фазовый состав и структура пленки BiFeO3, выращенной на подложке MgO(001) методом ВЧ-катодного распыления в атмосфере O2 // ФТТ. 2022. Т. 64. Вып. 2. С. 218–222.
- Павленко А.В., Захарченко И.Н., Кудрявцев Ю.А., Киселева Л.И., Алихаджиев С.Х. Структурные характеристики тонких пленок Sr0.5Ba0.5Nb2O6 в интервале температур 20–500°C // Неорган. материалы. 2020. Т. 56. № 11. С. 1252–1256. https://doi.org/10.31857/S0002337X20100115
- Павленко А.В., Стрюков Д.В., Кудрявцев Ю.А., Матяш Я.Ю., Маломыжева Н.В. Получение, особенности структуры, элементный состав и диэлектрические свойства двухслойной структуры на основе тонких пленок мультиферроика BiFeO3 и сегнетоэлектрика (Sr, Ba)Nb2O6 // ФТТ. 2022. Т. 64. Вып. 12. С. 1954–1959.
- Scanning Probe Microscopy: Electrical and Electromechanical Phenomena at the Nanoscale / Eds. Kalinin S.V., Gruverman A.V. 1. N.Y.: Springer, 2007. P. 173–214
Дополнительные файлы








