Изучение химической устойчивости керамики на основе оксида Y2.5Nd0.5Al5O12 со структурой граната в различных средах
- Авторы: Алексеева Л.С.1, Нохрин А.В.2, Орлова А.И.1, Болдин М.С.2, Воронин А.В.1, Мурашов А.А.1, Чувильдеев В.Н.2
-
Учреждения:
- Нижегородский государственный университет им. Н.И. Лобачевского
- Национальный исследовательский Нижегородский государственный университет им. Н.И. Лобачевского
- Выпуск: Том 59, № 8 (2023)
- Страницы: 942-950
- Раздел: Статьи
- URL: https://journal-vniispk.ru/0002-337X/article/view/231977
- DOI: https://doi.org/10.31857/S0002337X23080018
- EDN: https://elibrary.ru/XNKEQQ
- ID: 231977
Цитировать
Полный текст
Аннотация
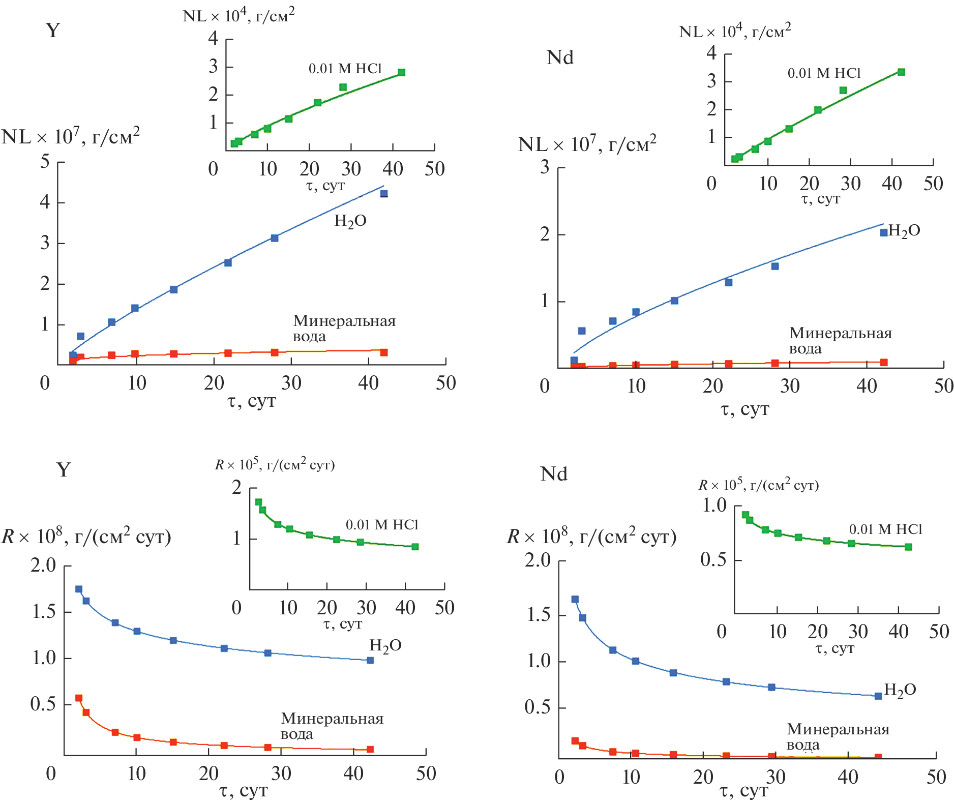
Оксид Y2.5Nd0.5Al5O12 со структурой минерала граната получен методом соосаждения после отжига при 1000°C. На его основе методом электроимпульсного плазменного спекания получена мелкозернистая керамика. Относительная плотность керамики составила 99.1%. Изучена химическая устойчивость полученных керамических образцов в статическом режиме при 90°C в дистиллированной и минеральной воде, а также в слабокислой и слабощелочной средах. Достигнутые минимальные скорости выщелачивания Y и Nd составили ~10–6–10–10 г/(см2 сут). Изучено влияние контактной среды на скорость и механизм выщелачивания неодима и иттрия из керамики Y2.5Nd0.5Al5O12 в течение 42 сут.
Ключевые слова
Об авторах
Л. С. Алексеева
Нижегородский государственный университет им. Н.И. Лобачевского
Email: golovkina_lyudmila@mail.ru
Россия, 603022, Нижний Новгород, пр. Гагарина, 23
А. В. Нохрин
Национальный исследовательский Нижегородский государственный университет им. Н.И. Лобачевского
Email: nokhrin@nifti.unn.ru
Россия, 603022, Нижний Новгород, просп. Гагарина, 23
А. И. Орлова
Нижегородский государственный университет им. Н.И. Лобачевского
Email: golovkina_lyudmila@mail.ru
Россия, 603022, Нижний Новгород, пр. Гагарина, 23
М. С. Болдин
Национальный исследовательский Нижегородский государственный университет им. Н.И. Лобачевского
Email: nokhrin@nifti.unn.ru
Россия, 603022, Нижний Новгород, просп. Гагарина, 23
А. В. Воронин
Нижегородский государственный университет им. Н.И. Лобачевского
Email: golovkina_lyudmila@mail.ru
Россия, 603022, Нижний Новгород, пр. Гагарина, 23
А. А. Мурашов
Нижегородский государственный университет им. Н.И. Лобачевского
Email: golovkina_lyudmila@mail.ru
Россия, 603022, Нижний Новгород, пр. Гагарина, 23
В. Н. Чувильдеев
Национальный исследовательский Нижегородский государственный университет им. Н.И. Лобачевского
Автор, ответственный за переписку.
Email: nokhrin@nifti.unn.ru
Россия, 603022, Нижний Новгород, просп. Гагарина, 23
Список литературы
- Crum J.V., Vienna J.D. Environmental Issues and Waste Management Technologies in the Materials and Nuclear Industries XII // Ceram. Trans. 2008. V. 207. P. 3–8. https://doi.org/10.1002/9780470538371.ch4
- Фосфатные стекла с радиоактивными отходами / Под ред. Вашмана А.А., Полякова А.С. М.: ЦНИИАтоминформ, 1997. 172 с.
- Стефановский С.В., Стефановская О.И., Семенова Д.В. Фазовый состав и структура стекломатериалов на натрий-алюмофосфатной основе, содержащих оксиды редкоземельных элементов // Радиоактивные отходы. 2018. № 1(2). С. 97–101.
- Hsieh Y.-H., Humphry-Baker S.A., Horlait D., Gregg D.J., Vance E.R., Lee W.E. Durability of Hot Uniaxially Pressed Synroc Derivative Wasteform for EURO-GANEX Wastes // J. Nucl. Mater. 2018. V. 509. P. 43–53. https://doi.org/10.1016/j.jnucmat.2018.06.006
- Vance E.R., Jostsons A., Day R.A. Excess Pu Disposition in Zirconolite–Rich Synroc // MRS Symp. Proc. Pittsburgh: MRS, 1996. V. 412. P. 41–47. https://doi.org/10.1557/PROC-412-41
- Solomah A.G., Sridhar T.S., Jones S.C. Immobilization of Uranium–Rich High–Level Radioactive Waste in Synroc–FA // Adv. Ceram. 1986. V. 20. P. 259–265.
- Лаверов Н.П., Юдинцев С.В., Лившиц Т.С., Стефановский С.В., Лукиных А.Н., Юинг Р.Ч. Искусственные минералы со структурой пирохлора и граната: матрицы для иммобилизации актинидсодержащих отходов // Геохимия. 2010. № 1. С. 3–16.
- Potanina E., Golovkina L., Orlova A., Nokhrin A., Boldin M., Sakharov N. Lanthanide (Nd, Gd) Compounds with Garnet and Monazite Structures. Powders Synthesis by “Wet” Chemistry to Sintering Ceramics by Spark Plasma Sintering // J. Nucl. Mater. 2016. V. 473. P. 93–98. https://doi.org/10.1016/j.jnucmat.2016.02.014
- Томилин С.В., Лизин А.А., Лукиных А.Н., Лившиц Т.С. Радиационная и химическая устойчивость алюмоиттриевого граната // Радиохимия. 2011. Т. 53. № 2. С. 162–165.
- Burakov B.E., Anderson E.B. Plutonium Future – The Science //AIP Conf. Proc. Melville, NY. 2000. P. 159–160. https://doi.org/10.1063/1.1292241
- Лаверов Н.П., Величкин В.И., Омельяненко Б.И., Юдинцев С.В., Петров В.А., Бычков А.В. Изменение окружающей среды и климата: природные и связанные с ними техногенные катастрофы. Т. 5. Изоляция отработавших ядерных материалов: геолого‑геохимические основы. М.: ИГЕМ РАН; ИФЗ РАН, 2008. 280 с.
- Лившиц Т.С., Лизин А.А., Джанг Дж., Юинг Р.Ч. Аморфизация редкоземельных алюминатных гранатов при ионном облучении и распаде примеси 244Cm // Геология руд. месторождений. 2010. Т. 52. № 4. С. 297–309.
- Лившиц Т.С. Устойчивость искусственных ферритных гранатов с актиноидами и лантаноидами в водных растворах // Геология руд. месторождений. 2008. Т. 50. № 6. С. 535–547.
- Лукиных А.Н., Томилин С.В., Лизин А.А., Лившиц Т.С. Радиационная и химическая устойчивость синтетической керамики на основе ферритного граната // Радиохимия. 2008. Т. 50. № 4. С. 375–379.
- Алексеева Л.С., Нохрин А.В., Болдин М.С., Ланцев Е.А., Орлова А.И., Чувильдеев В.Н. Гидролитическая устойчивость керамики на основе Y2.5Nd0.5Al5O12 со структурой граната в гидротермальных условиях // Неорган. материалы. 2021. Т. 57. № 8. С. 918–922. https://doi.org/10.31857/S0002337X21080170
- Zhang S., Wang L., Xu B., Liu J., Luo S., Ji S., Ding Y., Zhang L., Ma J., Duan T. Rapid Synthesis of Nd-Doped Y3Fe5O12 Garnet Waste Forms by Microwave Sintering // Ceram. Int. 2021. V. 47. № 15. P. 21924–21933. https://doi.org/10.1016/j.ceramint.2021.04.210
- Konovalov E.E., Lastov A.I., Nerozin N.A. On Immobilization of High-Level Waste in an Y–Al Garnet-Based Cermet Matrix in SHS Conditions // Nucl. Eng. Technol. 2015. V. 1. № 2. P. 103–106. https://doi.org/10.1016/j.nucet.2015.11.021
- Yudintsev S.V., Osherova A.A., Dubinin A.V., Zotov A.V., Stefanosky S.V. Corrosion Study of Actinide Waste Forms with Garnet-Type Structure // Proc. of Symp. “Sci. Basis for Nucl. Waste Management XXVIII”. Warrendale: MRS, 2004. V. 824. P. 287–292.
- Zhong M.-X., Walkley B., Bailey D.J. et al. Synthesis of Ca1–xCexZrTi2–2xAl2xO7 Zirconolite Ceramics for Plutonium Disposition // J. Nucl. Mater. 2021. V. 556. P. 153198. https://doi.org/10.1016/j.jnucmat.2021.153198
- Blackburn L.R., Sun S.-K., Lawson S.M., Blackburn L.R., Ding H., Wang S.-Q., Bao W.-C., Gardner L.J., Sun S.-K., Stennett M.C., Corkhill C.L., Hyatt N.C. Synthesis and Characterisation of Ca1–xCexZrTi2–2xCr2xO7: Analogue Zirconolite Wasteform for the Immobilisation of Stockpiled UK Plutonium // J. Eur. Ceram. Soc. 2020. V. 40. P. 5909–5919. https://doi.org/10.1016/j.jeurceramsoc.2020.05.066
- Strachan D.M., Scheele R.D., Buck E.C., Kozelisky A.E., Sell R.L., Elovich R.J., Buchmiller W.C. Radiation Damage Effects in Candidate Titanates for Pu Disposition: Zirconolite // J. Nucl. Mater. 2008. V. 372. P. 16–31. https://doi.org/10.1016/j.jnucmat.2007.01.278
- Stefanovsky S.V., Yudintsev S.V., Nickolsky M.S., Stefanovsky O.I., Skvortsov M.V. Characterization of Modified Murataite Based Ceramics as a Perspective Hosts for Actinides, Fission, and Corrosion Products of HLW // J. Nucl. Mater. 2020. V. 529. P. 151958. https://doi.org/10.1016/j.jnucmat.2019.151958
- Стефановский С.В., Пташкин А.Г., Князев О.А., Юдинцев С.В., Никонов Б.С., Лапина М.И. Влияние условий синтеза на фазовый состав и строение торий-содержащей муратаитовой керамики // ФХОМ. 2007. № 4. С. 68–77.
- Маслаков К.И., Тетерин Ю.А., Стевановская О.И., Калмыков С.Н., Тетерин А.Ю., Иванов К.Е., Данилов С.С., Юдинцев С.В., Мясоедов Б.Ф. Изучение методом РФЭС керамик на основе муратаита, содержащих лантаниды // Радиохимия. 2021. Т. 63. С. 572–581. https://doi.org/10.31857/S0033831121060095
- Wang Z., Zhu C., Wang H., Wang M., Liu C., Yang D., Li Y. Preparation and Irradiation Stability of A2B2O7 Pyrochlore High-Entropy Ceramic for Immobilization of High-Level Nuclear Waste // J. Nucl. Mater. 2023. V. 574. P. 154212. https://doi.org/10.1016/j.jnucmat.2022.154212
- Vinokurov S.E., Kulyako Yu.M., Perevalov S.A., Myasoedov B.F. Immobilization of Actinides in Pyrochlore-Type Matrices Produced by Self-Propagating High-Temperature Synthesis // Comp. Rend. Chim. 2007. V. 10. № 10–11. P. 1128–1130. https://doi.org/10.1016/j.crci.2007.04.011
- Лаверов Н.П., Юдинцев С.В., Величкин В.И., Лукиных А.Н., Томилин С.В., Лизин А.А., Стефановский С.В. Влияние аморфизации на изоляционные свойства пирохлоровой матрицы актинидов // Радиохимия. 2009. Т. 5. С. 462–468.
- Куражковская В.С., Орлова А.И., Быков Д.М. Инфракрасная спектроскопия и строение тригональных ортофосфатов циркония с лантаноидами и актиноидами // Журн. структур. химии. 2004. Т. 45. № 6. С. 1013–1019.
- Orlova A.I. Crystalline Phosphates for HLW Immobilization – Composition, Structure, Properties and Production of Ceramics. Spark Plasma Sintering as a Promising Sintering Technology // J. Nucl. Mater. 2022. V. 559. P. 153407.
- Bykov D.M., Konings R.J.M., Apostolidis C., Hen A., Colineau E., Wissb T., Raison P. Synthesis and Investigation of Neptunium Zirconium Phosphate, a Member of the NZP Family: Crystal Structure, Thermal Behaviour and Mossbauer Spectroscopy Studies // Dalton Trans. 2017. V. 46. P. 11626–11635. https://doi.org/10.1039/C7DT02110K
- Быков Д.М., Орлова А.И., Томилин С.В., Лизин А.А., Лукиных А.Н. Америций и плутоний в фосфатах тригонального строения (тип NZP) Am1/3[Zr2(PO4)3] и Pu1/4[Zr2(PO4)3] // Радиохимия. 2006. Т. 48. № 3. С. 211–216.
- Qin D., Shelyug A., Szenknect S., Mesbah A., Clavier N., Dacheux N., Navrotsky A. Chemical and Environmental Stability of Monazite-Cheralite Solid Solutions Ln1–2xCaxThxPO4 (Ln = Pr, Nd; x = 0–0.15): A Thermodynamic Study // Appl. Geochem. 2023. V. 148. P. 105504. https://doi.org/10.1016/j.apgeochem.2022.105504
- Arinicheva Y., Popa K., Scheinost A.C., Rossberg A., Dieste-Blanco O., Raison P., Cambriani A., Somers J., Bosbach D., Neumeier S. Structural Investigations of (La,Pu)PO4 Monazite Solid Solutions: XRD and XAFS Study // J. Nucl. Mater. 2017. V. 493. P. 404–411. https://doi.org/10.1016/j.jnucmat.2017.06.034
- De Groot G.J., Van der Sloot H.A. Determination of Leaching Characteristics of Waste Minerals Leading to Environmental Product Certification // Stabilization and Solidification of Hazardous, Radioactive and Mixed Wastes / Eds. Gilliam T.M., Wiles C.C. V. 2. Philadelphia: ASTM, 1992. P. 149–170.
- Torras J., Buj I., Rovira M., de Pablo J. Semi-Dynamic Leaching Tests of Nickel Containing Wastes Stabilized/Solidified with Magnesium Potassium Phosphate Cements // J. Hazard. Mater. 2011. V. 186. P. 1954–1960. https://doi.org/10.1016/j.jhazmat.2010.12.093
- Xue Q., Wang P., Li J.-S., Zhang T.-T., Wang S.-Y. Investigation of the Leaching Behavior of Lead in Stabilized/Solidified Waste Using a Two-Year Semi-Dynamic Leaching Test // Chemosphere. 2017. V. 166. P. 1–7. https://doi.org/10.1016/j.chemosphere.2016.09.059
- Ding Y., Long X., Peng S., Zhang D., Tan Z., Lu X. Phase Evolution and Aqueous Durability of Zr1−x−yCexNdyO2−y/2 Ceramics Designed to Immobilize Actinides with Multi-Valences // J. Nucl. Mater. 2017. V. 487. P. 297–304. https://doi.org/10.1016/j.jnucmat.2017.02.024
- Gao X., Huang Y., Teng Y., Yan M., Zhang H., Tuo X., Peng S. Fabrication and Chemical Durability of Hot-Pressed Na-Bearing Fluorapatite-Type Ca8Sm1Na1(PO4)6F2 Ceramic for Immobilization of Trivalent Minor Actinide // J. Nucl. Mater. 2018. V. 507. P. 297–305. https://doi.org/10.1016/j.jnucmat.2018.05.017
Дополнительные файлы










