Self-Organization of Various-Scale Structural Groups in a Cu/NbTi Composite under the Effect of Hydrostatic Bundle Extrusion
- Authors: Samoilenko Z.A.1, Ivakhnenko N.N.1,2, Pushenko E.I.1, Belousov N.N.1, Chernyavskaya N.V.1, Badekin M.Y.3
-
Affiliations:
- Galkin Institute for Physics and Technology
- Russian State Agrarian University—Timiryazev Agricultural Academy
- Donetsk National University
- Issue: Vol 59, No 9 (2023)
- Pages: 972-979
- Section: Articles
- URL: https://journal-vniispk.ru/0002-337X/article/view/249382
- DOI: https://doi.org/10.31857/S0002337X23090129
- EDN: https://elibrary.ru/ZZGVAB
- ID: 249382
Cite item
Full Text
Abstract
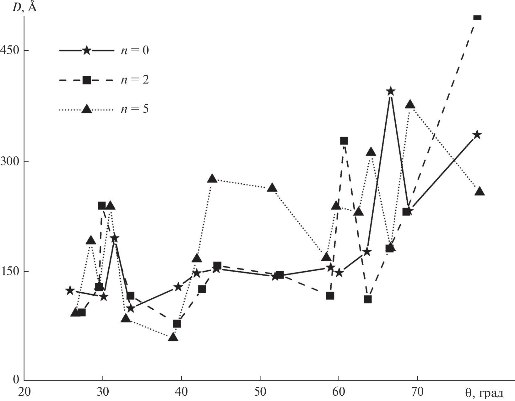
Using repeated bundle extrusion of a Cu/NbTi composite, we have obtained a high-strength heterophase alloy having superconducting properties. X-ray diffraction characterization has shown that the material we obtained has an unstressed, relaxed structure in the form of self-consistent, locally diffusion-alloyed atomic groups ranging widely in size, which can be divided into three groups: (1) microcrystalline long-range-ordered particles about 450 Å in size, showing up as Debye peaks with sharp tops; (2) mesoscopic clusters with a nanoscale atomic order, responsible for broad diffuse lines; and (3) small low-dimensional atomic groups with short-range order (10–50 Å), responsible for incoherent diffuse X-ray scattering (very broad diffuse halos).
About the authors
Z. A. Samoilenko
Galkin Institute for Physics and Technology
Email: yulduz19.77@mail.ru
283050, Donetsk, Russia
N. N. Ivakhnenko
Galkin Institute for Physics and Technology; Russian State Agrarian University—Timiryazev Agricultural Academy
Email: yulduz19.77@mail.ru
283050, Donetsk, Russia; 127434, Moscow, Russia
E. I. Pushenko
Galkin Institute for Physics and Technology
Email: yulduz19.77@mail.ru
127434, Moscow, Russia
N. N. Belousov
Galkin Institute for Physics and Technology
Email: yulduz19.77@mail.ru
283050, Donetsk, Russia
N. V. Chernyavskaya
Galkin Institute for Physics and Technology
Email: yulduz19.77@mail.ru
283050, Donetsk, Russia
M. Yu. Badekin
Donetsk National University
Author for correspondence.
Email: yulduz19.77@mail.ru
283001, Donetsk, Russia
References
- Zhang D.C., Mao Y.F., Li Y.L., Li J.J., Yuan M., Lin J.G. Effect of Ternary Alloying Elements on Microstructure and Superelastictity of Ti–Nb ALloys // Mater. Sci. Eng., A. 2013. V. 559. P. 706–710. https://doi.org/10.1016/j.msea.2012.09.012
- Luz A.R., Souza G.B., Lepienski C.M., Siqueira C.-J.M., Kuromoto N.K. Tribological Properties of Nanotubes Grown on Ti-35Nb Alloy by Anodization // Thin Solid Films. 2018. V. 660. P. 529–537. https://doi.org/10.1016/j.tsf.2018.06.050
- Tohidi A.A., Ketabchi M., Hasannia A. Nanograined Ti–Nb Microalloy Steel Achieved by Accumulative Roll Bonding (ARB) Process // Mater. Sci. Eng., A. 2013. V. 577. P. 43–47. https://doi.org/10.1016/j.msea.2013.04.025
- Edalati K., Daio T., Lee S., Horita Z., Nishizaki T., Akune T., Nojima T., Sasaki T. High Strength and Superconductivity in Nanostructured Niobium–Titanium Alloy by High-Pressure Torsion and Annealing: Significance of Elemental Decomposition and Supersaturation // Acta Mater. 2014. V. 80. P. 149–158.https://doi.org/10.1016/j.actamat.2014.07.065
- Çaha I., Alves A.C., Kuroda P.A.B., Grandini C.R., Pinto A.M.P., Rocha L.A., Toptan F. Degradation Behavior of Ti-Nb Alloys: Corrosion Behavior through 21 Days of Immersion and Tribocorrosion Behavior Against Alumina // Corros. Sci. 2020. V. 167. P. 108488–108497. https://doi.org/10.1016/j.corsci.2020.108488
- Ignatenko P.I., Klyakhina N.A., Badekin M.Yu. Structure and Properties of Metal Nitride Films Produced by Ion Implantation // Inorg. Mater. 2005. V. 41. № 1. P. 36–41. https://doi.org/10.1007/s10789-005-0073-5
- Bachmaier A., Pippan R. High-Pressure Torsion Deformation Induced Phase Transformations and Formations: New Material Combinations and Advanced Properties // Mater. Trans. 2019. V. 60. № 7. P. 1256–1269. https://doi.org/10.2320/matertrans.MF201930, https://www.jstage.jst.go.jp/article/matertrans/60/7/ 60_MF201930/_article/-char/en
- Edalati K. Metallurgical Alchemy by Ultra-Severe Plastic Deformation via High-Pressure Torsion Process // Mater. Trans. 2019. V. 60. № 7. P. 1221–1229. https://doi.org/10.2320/matertrans.MF201914, https://www.jstage.jst.go.jp/article/matertrans/60/7/ 60_MF201914/_article/-char/en
- Han J.-K., Jang Jae-il, Langdon T.G., Kawasaki M. Bulk-State Reactions and Improving the Mechanical Properties of Metals through High-Pressure Torsion // MF201908. Materials Transactions. 2019. V. 60. № 7. P. 1131–1138. https://doi.org/10.2320/matertrans. https://www.jstage.jst.go.jp/article/matertrans/60/7/ 60_MF201908/_article/-char/en
- Panigrahi A., Sulkowski B., Waitz T., Ozaltin K., Chrominski W., Pukenas A., Horky J., Lewandowska M., Skrotzki W., Zehetbauer M. Mechanical Properties, Structural and Texture Evolution of Biocompatible Ti–45Nb Alloy Processed by Severe Plastic Deformation // J. Mech. Behavior Biomed. Mater. 2016. V. 62. P. 93–105. https://doi.org/10.1016/j.jmbbm.2016.04.042
- Самойленко З.А., Ивахненко Н.Н. Анализ фазовых переходов в разномасштабной атомной структуре при отжиге магний-цинковых ферритов // Журн. техн. физики. 2009. Т. 79. № 10. С. 151–155.
- Davies T., Grovenor C.R.M., Speller S.C. Atmospheric Oxidation of NbTi Superconductor // J. Alloys Compd. 2020. V. 848. P. 156345–156357. https://doi.org/10.1016/j.jallcom.2020.156345
- Delshadmanesh M., Khatibi G., Ghomsheh M.Z., Lederer M., Zehetbauer M., Danninger H. Influence of Microstructure on Fatigue of Biocompatible β-Phase Ti-45Nb // Mater. Sci. Eng., A. 2017. V. 706. P. 83–94. https://doi.org/10.1016/j.msea.2017.08.098
- Mello M.G., Dainese B.P., Caram R., Cremasco A. Influence of Heating Rate and Aging Temperature on Omega and Alpha Phase Precipitation in Ti35Nb Alloy // Mater. Charact. 2018. V. 145. P. 268–276. https://doi.org/10.1016/j.matchar.2018.08.035
- Самойленко З.А., Ивахненко Н.Н., Пушенко Е.И., Пашинская Е.Г., Варюхин В.Н. Разнообразие беспорядка и разномасштабного порядка при вариациях интенсивной деформации меди // Физика твердого тела. 2015. Т. 57. № 1. С. 82–90.
- Спусканюк В.З., Дугадко А.Б., Матросов Н.И., Янчев А.И. Дифференцированный учет степени деформации материала матрицы волокнистого композита // Физика и техника высоких давлений. 2001. Т. 11. № 3. С. 69–74.
- Edalati K., Horita Z. A Review on High-Pressure Torsion (HPT) from 1935 to 1988 // Mater. Sci. Eng., A. 2016. V. 652 P. 325–352. https://doi.org/10.1016/j.msea.2015.11.074
- Глезер А.М., Варюхин В.Н., Томчук А.А., Малеева Н.А. Происхождение высокоугловых границ зерен в металлах, подвергнутых мегапластической деформации // Докл. АН Техн. физика. 2014. Т. 457. № 5. С. 535–538. https://doi.org/10.7868/S0869565214230108
- Белоусов Н.Н. In Situ-исследование процессов структурообразования при деформации материалов в алмазных наковальнях. 1. Оборудование и методика эксперимента // Физика и техника высоких давлений. 2006. Т. 16. № 4. С. 90–102.
- Самойленко З.А., Ивахненко Н.Н., Пушенко Е.И., Прилипко Ю.С., Пащенко А.В. Самоорганизованный рост кластеризованных структур в легированных перовскитах La0.6–xNdxSr0.3Mn1.1O3–δ // Неорган. материалы. 2018. Т. 54. № 4. С. 375–381. https://doi.org/10.7868/S0002337X18040061
- Самойленко З.А., Ивахненко Н.Н., Пащенко А.В., Пащенко В.П., Прилипко С.Ю., Ревенко Ю.Ф., Кизель Н.Г. Наноструктурная кластеризация в твердых растворах (Nd0.7Sr0.3)1–xMn1+xO3±δ // Неорган. материалы. 2011. Т. 47. № 9. С. 1122–1127.
- Бутенко П.Н., Гиляров В.Л., Корсуков В.Е., Анкудинов А.В., Князев С.А., Корсукова М.М., Обидов Б.А. Изменения на поверхности гофрированной платиновой фольги под нагрузкой // ФТТ. 2021. Т. 63. № 10. С. 1451–1457.
- Самойленко З.А., Ивахненко Н.Н., Пушенко Е.И., Шемченко Е.И., Варюхин В.Н. Самоорганизация размерного и концентрационного разнообразия в кластеризованной структуре пленок CNx:EuyOz // ЖТФ. 2020. Т. 90. № 2. С. 318–324. https://doi.org/10.21883/JTF.2020.02.48827.222-19
- Китайгородский Л.И. Рентгеноструктурный анализ мелкокристаллических и аморфных тел. М.: Наука, 1952. 589 с.
- Гиляров В.Л. Кинетическая концепция прочности и самоорганизованная критичность в процессе разрушения материалов // ФТТ. 2005. Т. 47. № 5. С. 808–811.
Supplementary files







