Магнитные свойства твердого раствора Fe1 – xCoxCr2S4 в области, прилегающей к FeCr2S4
- Authors: 1, 1, 1, 1, 1
-
Affiliations:
- Институт общей и неорганической химии им. Н.С. Курнакова Российской академии наук
- Issue: Vol 59, No 11 (2023)
- Pages: 1222-1233
- Section: Articles
- URL: https://journal-vniispk.ru/0002-337X/article/view/252400
- DOI: https://doi.org/10.31857/S0002337X23110131
- EDN: https://elibrary.ru/FTRCGU
- ID: 252400
Cite item
Full Text
Abstract
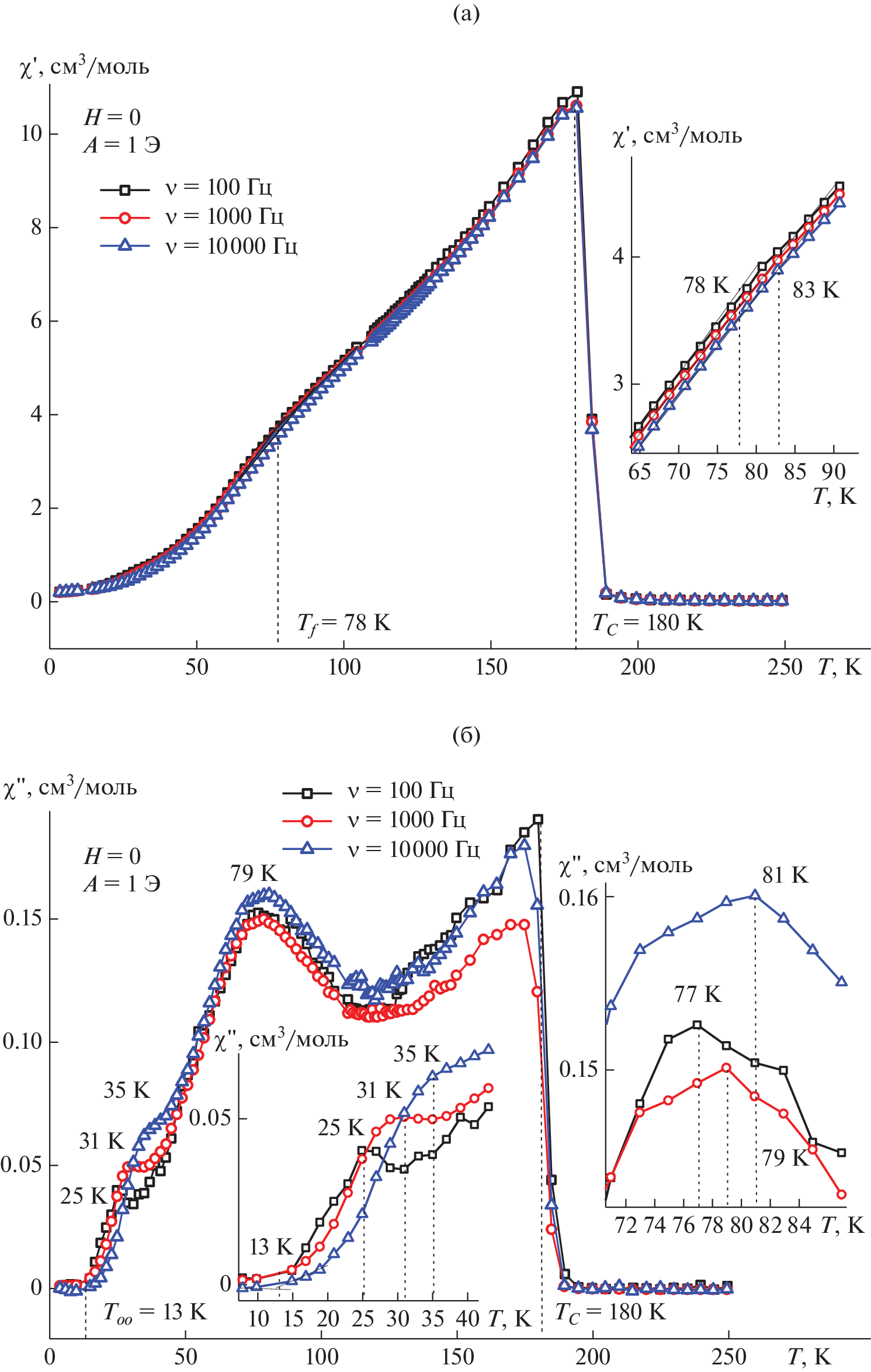
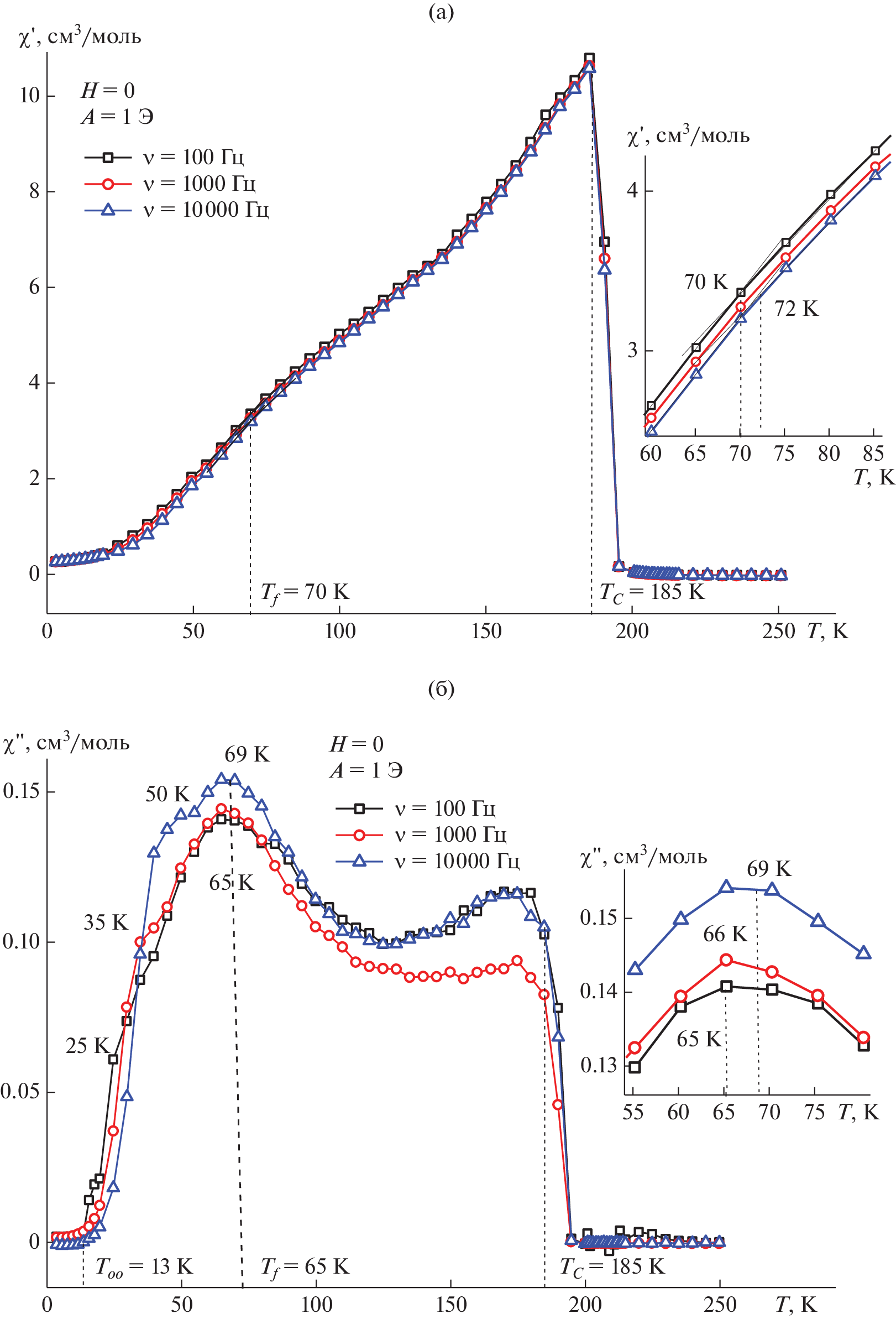
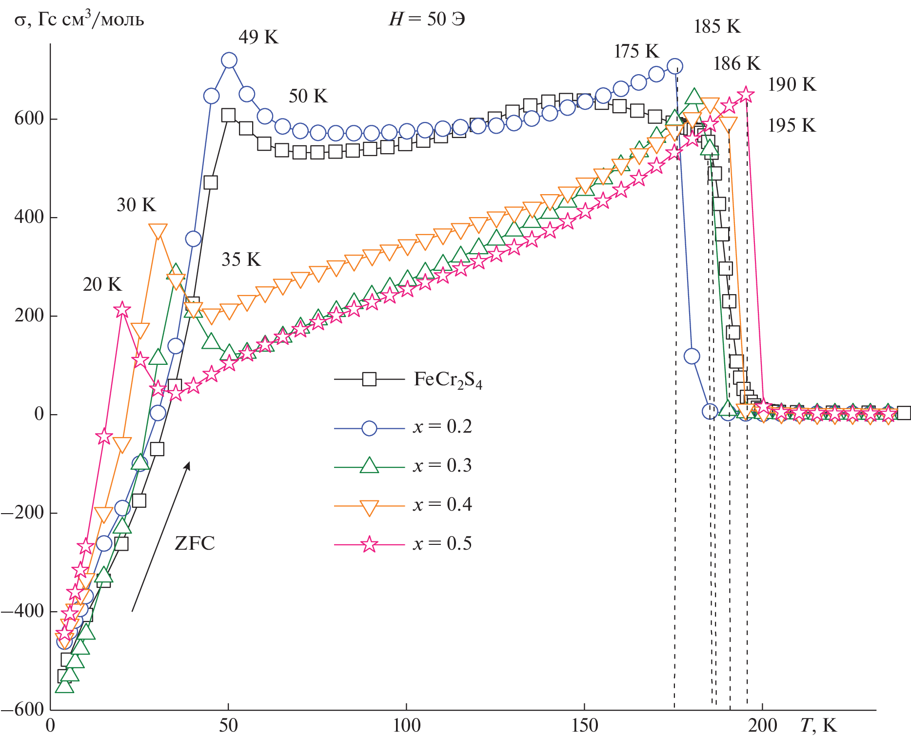
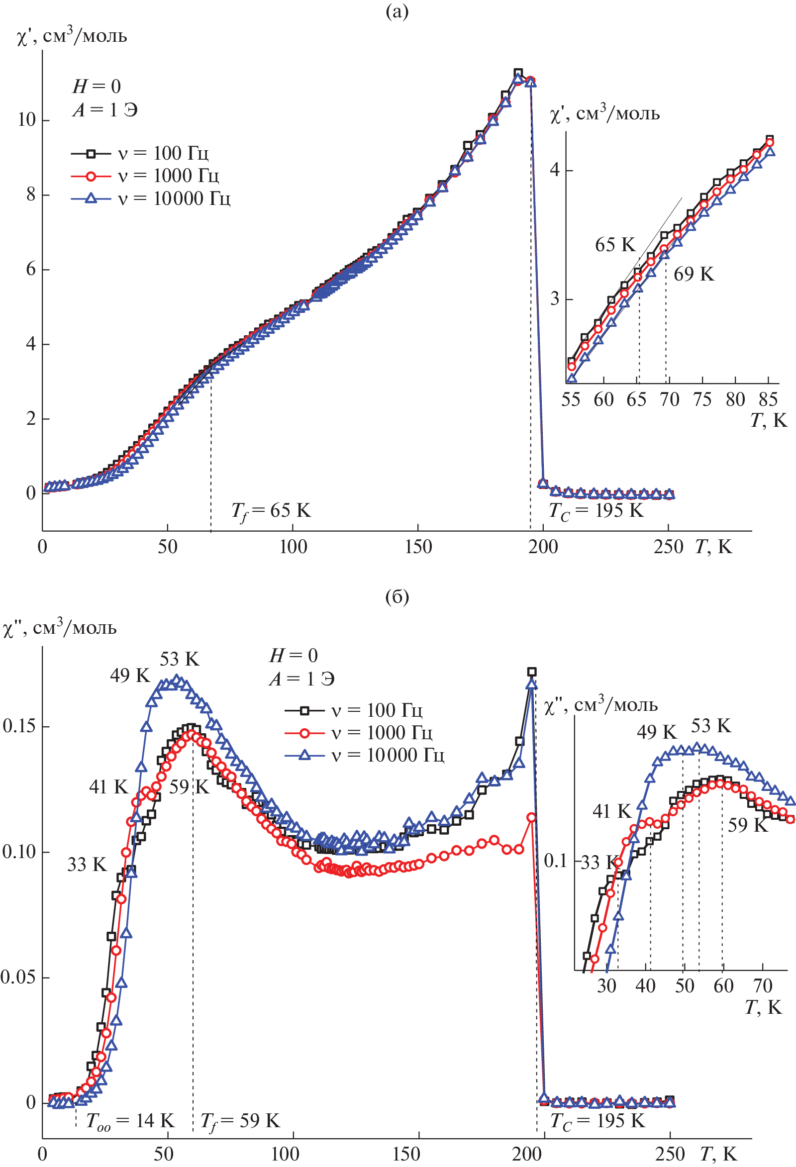
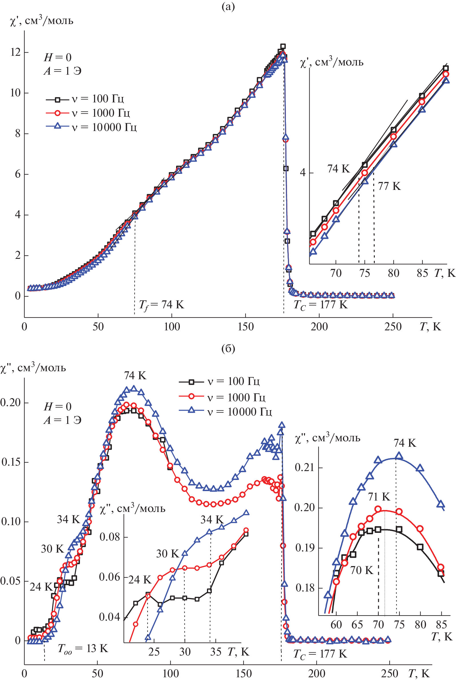
В работе статическим и динамическим методами исследована магнитная восприимчивость твердого раствора Fe1 – xCoxCr2S4 в системе FeCr2S4–СоCr2S4 для составов, прилегающих к FeCr2S4. Магнитные измерения проводили в температурном интервале 5–300 K в постоянном (50 Э и 45 кЭ) и переменном магнитных полях при амплитуде НАС = 1 Э и частотах переменного поля ν = 100, 1000 и 10000 Гц. Определены температуры и природа магнитных превращений в системе. Показано, что температура ферримагнитного перехода (ТС) в Fe1 – xCoxCr2S4 увеличивается с увеличением концентрации кобальта. Для составов с x = 0–0.5 обнаружено существование спинового стекла, подтвержденное сдвигом максимумов на кривых температурной зависимости мнимой части динамической восприимчивости.
About the authors
Институт общей и неорганической химии им. Н.С. Курнакова Российской академии наук
Email: busheva@igic.ras.ru
Россия, 119991, Москва, Ленинский пр., 31
Институт общей и неорганической химии им. Н.С. Курнакова Российской академии наук
Author for correspondence.
Email: busheva@igic.ras.ru
Россия, 119991, Москва, Ленинский пр., 31
Институт общей и неорганической химии им. Н.С. Курнакова Российской академии наук
Email: busheva@igic.ras.ru
Россия, 119991, Москва, Ленинский пр., 31
Институт общей и неорганической химии им. Н.С. Курнакова Российской академии наук
Email: busheva@igic.ras.ru
Россия, 119991, Москва, Ленинский пр., 31
Институт общей и неорганической химии им. Н.С. Курнакова Российской академии наук
Email: busheva@igic.ras.ru
Россия, 119991, Москва, Ленинский пр., 31
References
- Ramirez A.P., Cava R.J., Krajewski J. Colossal Magnetoresistance in Cr-based Chalcogenide Spinels // Nature. 1997. V. 386. P. 156–159. https://doi.org/10.1038/386156a0
- Tokura Y., Tomioka Y. Colossal Magnetoresistive Manganites // J. Magn. Magn. Mater. 1999. V. 200. P. 1–23. https://doi.org/10.1016/S0304-8853(99)00352-2
- Tsurkan V., Hemberger J., Klemm M., Klimm S., Loidl A., Horn S., Tidecks R. Ac Susceptibility Studies of Ferrimagnetic FeCr2S4 Single Crystals // J. Appl. Phys. 2001. V. 90. № 9. P. 4636–4644. https://doi.org/10.1063/1.1405827
- Tsurkan V., Baran M., Szymczak R., Szymczak H., Tidecks R. Spin-Glass Like States in the Ferrimagnet FeCr2S4 // Physica B. 2001. V. 296. P. 301–305. https://doi.org/10.1016/S0921-4526(00)00760-2
- Maurer D., Tsurkan V., Horn S., Tidecks R. Ultrasonic Study of Ferrimagnetic FeCr2S4: Evidence for Low Temperature Structural Transformations // J. Appl. Phys. 2003. V. 93. P. 9173–9176. https://doi.org/10.1063/1.1570930
- Tsurkan V., Zaharko O., Schrettle F., Kant C., Deisenhofer J., Krug Von Nidda H.A., Felea V., Lemmens P., Groza J.R., Quach D. V. et al. Structural Anomalies and the Orbital Ground State in FeCr2S4 // Phys. Rev. B: Condens. Matter Mater. Phys. 2010. V. 81. P. 1–7. https://doi.org/10.1103/PhysRevB.81.184426
- Shen C., Yang Z., Tong R., Li G., Wang B., Sun Y., Zhang Y. Magnetic Anisotropy-Induced Spin-Reorientation in Spinel FeCr2S4 // J. Magn. Magn. Mater. 2009. V. 321. P. 3090–3092. https://doi.org/10.1016/j.jmmm.2009.05.009
- Shen C., Yang Z., Tong R., Li G., Wang B., Sun Y., Zhang Y., Zi Z., Song W., Pi L. Magnetic Anomaly around Orbital Ordering in FeCr2S4 // J. Appl. Phys. 2011. V. 109. P. 07E144. https://doi.org/10.1063/1.3562449
- Yang Z.R., Tan S., Zhang Y.H. Abnormal Temperature Dependence of Low-Field Magnetization of FeCr2–xAlxS4 // Appl. Phys. Lett. 2001. V. 79. № 22. P. 3645–3647. https://doi.org/10.1063/1.1419031
- Tsurkan V., Lochmann M., Krug von Nidda H.-A., Loidl A., Horn S., Tidecks R. Electron-Spin-Resonance Studies of the Ferrimagnetic Semiconductor FeCr2S4 // Phys. Rev. B. 2001. V. 63. P. 125209. https://doi.org/10.1103/PhysRevB.63.125209
- Аминов Т.Г., Шабунина Г.Г., Ефимов Н.Н., Бушева Е.В., Новоторцев В.М. Магнитные свойства твердых растворов на основе FeCr2S4 в системе FeCr2S4–CdCr2S4 // Неорган. материалы. 2019. Т. 55. № 3. С. 236–248. https://doi.org/10.1134/S0002337X19030035
- Shirane G., Cox D.E., Pickart S.J. Magnetic Structures in FeCr2S4 and FeCr2O4 // J. Appl. Phys. 1964. V. 35. P. 954–955. https://doi.org/10.1063/1.1713556
- Lotgering F.K., Van Stapele R.P., Van Der Steen G.H.A.M., Van Wieringen J.S. Magnetic Properties, Conductivity and Ionic Ordering in Fe1–xCuxCr2S4 // J. Phys. Chem. Solids. 1969. V. 30. P. 799–804. https://doi.org/10.1016/0022-3697(69)90274-1
- Krupička S. Physik der Ferrite und der verwandten magnetischen Oxide. Prague: Vieweg+Teubner, 1973.
- Gibart P., Dormann I.L., Pellerin Y. Magnetic Properties of FeCr2S4 and CoCr2S4 // Phys. Status. Solid. 1969. V. 36. № 2. P. 187–194. https://doi.org/10.1002/pssb.19690360120
- Palmer H.M., Greaves C. Structural, Magnetic and Electronic Properties of Fe0.5Cu0.5Cr2S4 // J. Mater. Chem. 1999. V. 9. P. 637–640. https://doi.org/10.1039/A809032G
- Spender M.S., Morrish L.E. Mössbauer Study of the Ferrimagnetic Spinel FeCr2S4 // Can. J. Phys. 1972. V. 50. № 1. P. 1125–1138. https://doi.org/10.1139/p72-155
- Van Diepen A.M., Van Stapele R.P. Ordered Local Distortions in Cubic FeCr2S4 // Solid. State Commun. 1973. V. 13. № 10. P. 1651–1653. https://doi.org/10.1016/0038-1098(73)90258-5
- Ito M., Nagi Y., Kado N., Urakawa S. et al. Magnetic Properties of Spinel FeCr2S4 in High Magnetic Field // J. Magn. Magn. Mater. 2011. V. 323. P. 3290–3293. https://doi.org/10.1016/j.jmmm.2011.07.041
- Аминов Т.Г., Бушева Е.В., Шабунина Г.Г., Новоторцев В.М. Магнитная фазовая диаграмма твердых растворов в системе CoCr2S4–Cu0.5Ga0.5Cr2S4 // Журн. неорган. химии. 2018. Т. 63. № 4. С. 487–494. https://doi.org/10.7868/S0044457X18040141
- Аминов Т.Г., Бушева Е.В., Шабунина Г.Г., Новоторцев В.М. Магнитные свойства твердых растворов (Cu0.5In0.5)1 – xFexCr2S4 (x = 0–0.3) // Неорган. материалы. 2018. Т. 54. № 10. С. 1055–1065. https://doi.org/10.1134/S0002337X181100019
- Delgado G.E., Sagredo V. Structural Analysis of the Chalcogenide Spinel System CoIn(2 – 2x)Cr(2x)S4 // Chalcogen. Lett. 2009. V. 6. № 12. P. 641–645. https://chalcogen.ro/641_Delgado.pdf
- Ahrenkiel R.K., Lee T.H., Lyu S.L., Moser F. Giant Magneto-Reflectance of CoCr2S4 // Solid. State Commun. 1973. V. 12. P. 1113–1115. https://doi.org/10.1016/0038-1098(73)90124-5
- Ahrenkiel R.K., Coburn T.J. Hot-pressed CoCr2S4: a Magneto-Optical Memory Material // Appl. Phys. Lett. 1973. V. 22. № 7. P. 340. https://doi.org/10.1063/1.1654663
- Feiner F. Unified Description of the Cooperative Jahn-Teller Effect in FeCr2S4 and Impurity Jahn-Teller Effect in CoCr2S4–Fe // J. Phys. C: Solid State Phys. 1982. V. 15. № 7. P. 1515–1524. https://doi.org/10.1088/0022-3719/15/7/017
- Marais A., Porte M., Goldstein I., Gibart P. Magnetocrystalline Anisotropy of the Ferrimagnetic Semiconductor CoCr2S4 // J. Magn. Magn. Mater. 1980. V. 15–18. Part 3. P. 1287–1288. https://doi.org/10.1016/0304-8853(80)90292-9
- Kim C.S., Ha M.Y., Ko H.M., Oh Y.J., Lee S.Y., Lee H.S., Sur J.C., Park J.Y. Crystallographic and Magnetic Properties of CoxFe1–xCr2S4 // J. Appl. Phys. 1994. V.75. № 10. P. 6078–6080. https://doi.org/10.1063/1.355463
- Noda R., Kamihara Y., Matoba M. Magnetic Properties of Fe1–xCoxCr2S4 // J. Appl. Phys. 2006. V. 99. P. 08F712. https://doi.org/10.1063/1.2177413
- Tretinger L., Gobel H., Pink H. Magnetic Semiconducting Spinel in the Mixed System Co1–xFexCr2S4 // Mater. Res. Bull. 1976. V. 11. P. 1375–1379. https://doi.org/10.1016/0025-5408(76)90048-9
- Аминов Т.Г., Шабунина Г.Г., Бушева Е.В. Динамическая восприимчивость тиохромита FeCr2S4 // Журн. неорган. химии. 2020. Т. 65. № 2. С. 197–203. https://doi.org/10.31857/S0044457X20020026
- Mydosh J.A. Spin Glasses: Redux: an Updated Experimental/Materials Survey // Rep. Prog. Phys. 2015. V. 78. P. 052501. https://doi.org/10.1088/0034-4885/78/5/052501
- Benka G., Bauer A., Schmakat P., Säubert S., Seifert M., Jorba P. et al. Interplay of Itinerant Magnetism and Spin-Glass Behavior in FexCr1–x // Phys. Rev. Mater. 2022. V. 6. P. 044407. https://doi.org/10.1103/PhysRevMaterials.6.044407
Supplementary files









