Эффект ультразвуковой обработки мембранной фольги сплава Pd–4 ат. % In–1 ат. % Ru: сорбция и водородопроницаемость
- Authors: 1, 1, 1, 1, 1, 1, 1
-
Affiliations:
- Институт металлургии и материаловедения им. А.А. Байкова Российской академии наук
- Issue: Vol 59, No 11 (2023)
- Pages: 1318-1325
- Section: Articles
- URL: https://journal-vniispk.ru/0002-337X/article/view/252410
- DOI: https://doi.org/10.31857/S0002337X23110052
- EDN: https://elibrary.ru/WVHLII
- ID: 252410
Cite item
Full Text
Abstract
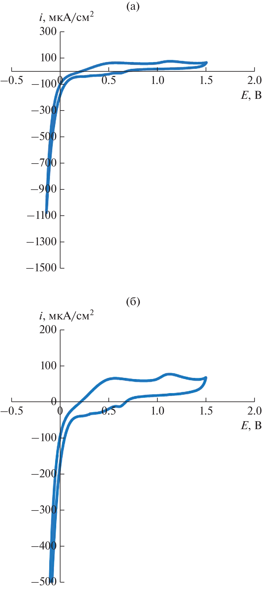
Методами циклической вольтамперометрии, оже-электронной спектроскопии и атомно-силовой микроскопии исследовано влияние ультразвуковой обработки поверхности мембранной фольги твердого раствора системы Pd–In–Ru на сорбцию водорода и водородопроницаемость. Показано, что такая обработка приводит к увеличению сорбции водорода в приповерхностный слой фольги при сохранении величины ее водородопроницаемости. Установлено, что ультразвуковая обработка позволяет сохранить без изменений морфологию, состав и структуру фольги.
About the authors
Институт металлургии и материаловедения им. А.А. Байкова
Российской академии наук
Author for correspondence.
Email: rnileme@mail.ru
Россия, 119334, Москва, Ленинский пр., 49
Институт металлургии и материаловедения им. А.А. Байкова
Российской академии наук
Email: rnileme@mail.ru
Россия, 119334, Москва, Ленинский пр., 49
Институт металлургии и материаловедения им. А.А. Байкова
Российской академии наук
Email: rnileme@mail.ru
Россия, 119334, Москва, Ленинский пр., 49
Институт металлургии и материаловедения им. А.А. Байкова
Российской академии наук
Email: rnileme@mail.ru
Россия, 119334, Москва, Ленинский пр., 49
Институт металлургии и материаловедения им. А.А. Байкова
Российской академии наук
Email: rnileme@mail.ru
Россия, 119334, Москва, Ленинский пр., 49
Институт металлургии и материаловедения им. А.А. Байкова
Российской академии наук
Email: rnileme@mail.ru
Россия, 119334, Москва, Ленинский пр., 49
Институт металлургии и материаловедения им. А.А. Байкова
Российской академии наук
Email: rnileme@mail.ru
Россия, 119334, Москва, Ленинский пр., 49
References
- Conde J.J., Marono M., Sanchez-Hervas J.M. Pd-Based Membranes for Hydrogen Separation: Review of Alloying Elements and their Influence on Membrane Properties // Sep. Purif. Rev. 2017. V. 46. P. 152–177. https://doi.org/10.1080/15422119.2016.1212379
- Paglieri S.N., Way J.D. Innovations in Palladium Membrane Research // Separ. Purif. Rev. 2002. V. 31 P. 1–169. https://doi.org/10.1081/SPM-120006115
- Yun S., Oyama S.T. Correlations in Palladium Membranes for Hydrogen Separation: a Review // J. Membr. Sci. 2011. V. 375. P. 28–45. https://doi.org/10.1016/j.memsci.2011.03.057
- Sazali N., Mohamed M.A., Salleh W.N. Membranes for Hydrogen Separation: a Significant Review // Int. J. Adv. Manuf. Technol. 2020. V. 107. P. 1859–1881. https://doi.org/10.1007/s00170-020-05141-z
- Ockwig N.W., Nenoff T.M. Membranes for Hydrogen Separation // Chem. Rev. 2007. V. 107. P. 4078–4110. https://doi.org/10.1021/cr0501792
- Zhang Y., Zhou Y.J., Lin J.P., Chen G.L., Liaw P.K. Solid-Solution Phase Formation Rules for Multi-Component Alloys // Adv. Eng. Mater. 2008. V. 10. P. 534–538. https://doi.org/10.1002/adem.200700240
- Schoots K., Ferioli F., Kramer G.J., B.C.C. van der Zwaan. Learning Curves for Hydrogen Production Technology: an Assessment of Observed Cost Reductions // Int. J. Hydrogen Energy. 2008. V. 33. P. 2630–2645.
- Khakurel H., Taufique M.F.N., Roy A., Balasubramanian G., Ouyang G., Cui J., Johnson D.D., Devanathan R. Machine Learning Assisted Prediction of the Young’s Modulus of Compositionally Complex Alloys // Sci. Rep. 2021. V. 11. P. 17149. https://doi.org/10.1038/s41598-021-96507-0
- Morreale B.D., Ciocco M.V., Enick R.M., Morsi B.I., Howard B.H., Cugini A.V., Rothenberger K.S. The permeability of hydrogen in bulk palladium at elevated temperatures and pressures // J. Membr. Sci. 2003. V. 212. P. 87–97. https://doi.org/10.1016/S0376-7388(02)00456-8
- Grashoff G.J., Pilkington C.E., Corti C.W. The Purification of Hydrogen: a Review of the Technology Emphasizing the Current Status of Palladium Membrane Diffusion // Platin. Met. Rev. 1983. V. 27. P. 157–169.
- Ma Y.H., Mardilovich I.P., Engwall E.E. Thin composite palladium and palladiumalloy membranes for hydrogen separation // Ann. N. Y. Acad. Sci. 2003. V. 984. P. 346–360. https://doi.org/10.1111/j.1749-6632.2003.tb06011.x
- Peters T.A., Kaleta T., Stange M., Bredesen R. Development of Thin Binary and Ternary Pd-Based Alloy Membranes for Use in Hydrogen Production // J. Membr. Sci. 2011. V. 383. P. 124–134. https://doi.org/10.1016/j.memsci.2011.08.050
- Habib M.A., Harale A., Paglieri S., Alrashed F.S., Al-Sayoud A., Rao M.V., Nemitallah M.A., Hossain S., Hussien M., Ali A., Haque M.A., Abuelyamen A., Shakeel M.R., Mokheimer E.M.A., Ben-Mansour R. Palladium-Alloy Membrane Reactors for Fuel Reforming and Hydrogen Production: a Review // Energy Fuels. 2021. V. 35. P. 5558–5593. https://doi.org/10.1021/acs.energyfuels.0c04352
- Bosko M.L., Fontana A.D., Tarditi A., Cornaglia L. Advances in Hydrogen Selective Membranes Based on Palladium Ternary Alloys // Int. J. Hydrogen Energy. 2021. V. 46. P. 15572–15594. https://doi.org/10.1016/j.ijhydene.2021.02.082
- Uemiya S., Kajiwara M., Kojima T. Composite Membranes of Group VIII Metal Supported on Porous Alumina // AIChE J. 1997. V. 43. P. 2715–2723.
- Braun F., Tarditi A.M., Miller J.B., Cornaglia L.M. Pd-Based Binary and Ternary Alloy Membranes: Morphological and Perm-Selective Characterization in the Presence of H2S // J. Membr. Sci. 2014. V. 450. P. 299–307. https://doi.org/10.1016/j.memsci.2013.09.026
- Gryaznov M.V., Orekhova N.V. Reactors with Metal and Metalcontaining Membranes // Structured Catalysts and Reactors / Eds. Cybulski Andrej, Moulijn Jacob A. N. Y.: CRC, 2005. P. 435–462.
- Burkhanov G.S., Gorina N.B., Kolchugina N.B., Roshan N.R. Palladium-Based Alloy Membranes for Separation of High Purity Hydrogen from Hydrogen-Containing Gas Mixtures // Platin. Met. Rev. 2011. V. 55. P. 3–12. https://doi.org/10.1595/147106711X540346
- Petriev I.S., Lutsenko I.S., Voronin K.A., Pushankina P.D., Baryshev M.G. Hydrogen Permeability of Surface-Modified Pd-Ag Membranes at Low Temperatures // IOP Conf. Ser.: Mater. Sci. Eng. 2020. V. 791. P. 012058.
- Иевлев В.М., Донцов А.И., Морозова Н.Б., Рошан Н.Р., Сербин О.В., Прижимов А.С., Солнцев К.А. Способы очистки поверхности мембранной фольги твердых растворов на основе палладия // Неорган. материалы. 2020. Т. 56. № 10. С. 1117–1122. https://doi.org/10.31857/S0002337X2010005X
- Fernandez E., Medrano J.A., Melendez J., Parco M., Viviente J.L., Van Sint Annaland M., Gallucci F., Pacheco Tanaka D.A. Preparation and Characterization of Metallic Supported Thin Pd–Ag Membranes for Hydrogen Separation // Chem. Eng. J. 2016. V. 305. P. 182–190. https://doi.org/10.1016/j.cej.2015.09.119
- Uluc A.V., Moa J.M.C., Terryn H., Böttger A.J. Hydrogen Sorption and Desorption Related Properties of Pd-Alloysdetermined by Cyclic Voltammetry // J. Electroanal. Chem. 2014. V. 734. P. 53–60.
- Wvarezza R.C., Montemayor M.C., Fatas E. Electrochemical Study of Hydrogen Absorption in Polycrystalline Palladium // J. Electroanal. Chem. 1991. V. 313. P. 291–301.
- Морозова Н.Б., Введенский А.В., Максименко А.А., Донцов А.И. Тонкослойная многоцикловая катодно-анодная хроноамперометрия процессов инжекции/экстракции атомарного водорода в металл с учетом стадии фазограничного обмена // Электрохимия. 2018. Т. 54. № 4. С. 395–407. https://doi.org/10.7868/S0424857018040023
- Морозова Н.Б., Введенский А.В. Фазограничный обмен и нестационарная диффузия атомарного водорода в металлической пленке I. Анализ токового транциента // Конденсированные среды и межфазные границы. 2015. Т. 17. № 4. С. 451–458.
- Gorbunov S.V., Kannykin S.V., Penkina T.N., Roshan N.R., Chustov E.M., Burkhanov G.S. Palladium–Lead Alloys for the Purification of Hydrogen-Containing Gas Mixtures and the Separation of Hydrogen from Them // Russ. Metall. (Met.). 2017. № 1. P. 54–59. https://doi.org/10.1134/S0036029517010050
- Иевлев В.М., Прижимов А.С., Донцов А.И. Структура межфазной границы α–β в твердом растворе PdCu // Физика твердого тела. 2020. Т. 62. № 1. С. 53–58.
Supplementary files








