Метод расчета состава гетерофазной низкотемпературной плазмы с анализом конверсии CO2 под действием излучения гиротрона
- Authors: Кутьин А.М.1,2, Мансфельд Д.А.1, Поляков В.С.1,2
-
Affiliations:
- Федеральный исследовательский центр Институт прикладной физики им. А.В. Гапонова-Грехова РАН
- Институт химии высокочистых веществ им. Г. Г. Девятых Российской академии наук
- Issue: Vol 60, No 3 (2024)
- Pages: 401-406
- Section: Articles
- URL: https://journal-vniispk.ru/0002-337X/article/view/274406
- DOI: https://doi.org/10.31857/S0002337X24030197
- EDN: https://elibrary.ru/LJGSGW
- ID: 274406
Cite item
Full Text
Abstract
Известные вычислительные реализации экстремального принципа химической термодинамики, используемые для анализа равновесной плазмы [1], распространены на описание стационарно-неравновесных состояний низкотемпературной плазмы (НТП) на основе физической модели энергетической избыточности частично независимых подсистем (электронной и колебательной) с температурами Тe и Тv относительно Т. На статистическом уровне введены “многотемпературные” функции компонентов НТП, которые в рамках метода минимизации энергии Гиббса позволяют прогнозировать условия образования конденсированных веществ (материалов) из НТП. Результаты моделирования состава поддерживаемой СВЧ-излучением гиротрона неизотермической плазмы в смеси CO2 + Ar с использованием экспериментально найденной электронной температуры Тe = 0.7 эВ = 8120 К подтверждают достигнутую на практике 30%-ную степень конверсии CO2 при Т = 1900 К, что на 700 К снижает температуру разложения CO2 в сравнении с расчетом термической плазмы. Проверено совпадение рассчитанного состава плазмы с экспериментом, выявлено влияние плазмообразующего газа Ar на характеристики плазмы и условия разложения CO2, а также предсказано отсутствие конденсированного углерода в продуктах его разложения.
Full Text
ВВЕДЕНИЕ
Одним из перспективных способов переработки парниковых газов является разложение высокостабильных молекул (например, углекислого газа CO2) в плазме различных разрядов. Теоретическое направление плазмохимии, сочетающее кинетические уравнения Паули с газодинамическими уравнениями Навье–Стокса и уравнениями Больцмана для функций распределения реагентов и продуктов реакций, практически не реализуемо, поскольку кроме математических затруднений включает в себя неизвестные константы скоростей плазмохимических реакций и способы их оценки. В частности, в работах [2, 3] процесс разложения СО2 в неравновесной плазме моделируется на основе разработанной группой PLASMANT (Антверпен) 0-мерной балансной модели. Модель включает в себя более 10 000 реакций, которые содержат газообразные компоненты плазмы в молекулярной, атомарной и ионной формах, с учетом их электроновозбужденных состояний, но не учитывает конденсированные продукты реакций. Вместе с тем, регулярные обзоры по науке и технологии низкотемпературной плазмы (НТП) [4] свидетельствуют о ее возрастающей роли при получении функциональных нано- и керамических материалов и покрытий. Диссоциация молекул в НТП осуществляется за счет энергии “горячих” электронов при относительно низких температурах газа (т.н. двухтемпературная модель плазмы), а потому происходит энергетически выгодным путем по сравнению с термической плазмой.
Цель работы – распространение метода минимизации энергии Гиббса на сосуществующую с конденсированными фазами НТП путем введения многотемпературных термодинамических функций компонентов НТП, а также прогноз и проверка развитого метода по результатам конверсии CO2 в гиротронной плазме.
ТЕОРЕТИЧЕСКАЯ ЧАСТЬ
В стационарно-неравновесной плазме энергия электромагнитной “накачки”, поглощаемая газовой средой, рассеивается посредством электронно-излучательных переходов (УФ- и видимая область спектра); “перекачивается” за счет электронно-колебательного взаимодействия в колебания молекулярных форм с соответствующим излучением в ИК-области; переходит в энергию поступательно-вращательных степеней свободы, которая вместе с излучением определяет измеряемую температуру T газа и стенок реактора.
Для решения задачи разложения СО2 в плазме, образованной СВЧ-излучением гиротрона, предлагается термодинамический подход, основанный на минимизации свободной энергии Гиббса [5, 6]. Неизотермичность НТП, в физических моделях характеризуемая электронной (Те) и поступательно-вращательной или ионной (Т) температурами [7], при статистическом определении многотемпературных термодинамических функций (функций Планка) компонентов плазмы дополняется колебательной температурой Тv. Таким образом, энергетическая избыточность частично независимых подсистем такого стационарно-неравновесного состояния без излишней детализации определяется:
- наличием электронного газа, ионизированных и электронно-возбужденных частиц, энергетическое распределение которых характеризуется температурой Тe;
- избыточной по отношению к поступательно-вращательным степеням свободы с температурой Т энергетической насыщенностью колебательных мод указанных частиц, характеризуемой температурой Тv.
Неизотермическая модель плазмы. Для исследуемой в работе слабо ионизованной НТП можно пренебречь ионно-электронным кулоновским взаимодействием, которое при больших степенях ионизации α можно учесть через дебаевские коэффициенты активности.
Математический аппарат химической модели НТП, исходящий из экстремальных свойств термодинамических потенциалов, подобно реализациям [1, 8, 9] для гетерофазных плазмохимических систем сводится к решению балансных по фазам (2) и независимым компонентам (3) нелинейных уравнений, в которых искомый компонентный состав системы {ni} выражен (4) через химические потенциалы {λj} независимых j-х компонентов, в нашем случае элементов (атомов).
(1)
(2)
(3)
(4)
Исходной информацией для системы уравнений (1)–(4) является брутто-состав системы, в относительной (безразмерной) форме задаваемый элементными или атомными долями 0 < bj ≤1. Набор возможных химических соединений (1 ≤ i ≤ i0) из 1 ≤ j ≤ j0 атомов детерминирован матрицей стехиометрических коэффициентов aij содержания j-го атома в i-м соединении. Распределение i0 компонентов по f0 фазам определяется уравнением (1), где aif = {0, 1} – коэффициенты принадлежности i-го соединения фазе f. При относительной характеристике элементного брутто-состава системы компонентный состав ni, а вслед за ним и компонентное содержание в фазе f также характеризуется безразмерными единицами моль/моль-атом. Наконец, индивидуальная характеристика каждого компонента заключена в приведенной энергии Гиббса , определенной формулами (6)–(8).
Представленная формулировка (1)–(4) экстремальной задачи посредством l0 уравнений (3) при заданных bl и коэффициентах ail устанавливает дополнительные, в том числе экспериментально установленные, взаимосвязи по составу компонентов или их энергетике. По аналогии с работами [10–12] такой прием расширяет метод возможностями анализа так называемых условно-равновесных состояний. Необходимое для плазмы условие на общий, в частности нулевой, заряд входит в число таких добавочных уравнений.
Многотемпературные функции газообразных компонентов НТП. Статистическое выражение энтропии и энтальпии газообразных компонентов, представляемое соответствующими вкладами по степеням свободы с учетом их отдельной термодинамической характеризации, имеет вид:
(5)
(6)
Поступательно-вращательные составляющие энтропии и энтальпии в классическом высокотемпературном приближении при температуре Т рассчитываются на основе числа вращательных степеней свободы r = 0 и 2 соответственно для атомов и линейных молекул, r = 3 для многоатомных (нелинейных) молекул соответствующих вращательных моментов I. Верхний индекс a в скобках отмечает использование относительных атомных единиц массы и атомных единиц межатомных длин связей. Значения фундаментальных констант kB и ħ вместе с переводными коэффициентами из системы СИ в указанные единицы определяют значения вещественных констант, входящих в энтропию
(7)
(8)
Отметим также, что во вращательную энтропию сомножителем к вырожденности нижнего электронного состояния g0 входит вырожденность ядерных спиновых состояний gяд, однако ввиду неизменности последней при химических превращениях по договоренности [13] ее принято не учитывать ( – давление в атм).
Необходимый учет ангармонизма высокоэнергетических колебаний активно диссоциирующих молекул в плазме выполнен на основе аппроксимационно расширенного метода вычисления статсуммы [14], использующего больцмановское распределение по колебательным уровням при температуре Tv. Выражения для колебательных энтропии и энтальпии представлены в виде соответствующих сумм по внутримолекулярным колебаниям:
(9)
(10)
где , – характеристическая температура (частоты ) внутримолекулярных колебаний; соответствует уменьшению ангармонических частот по отношению к гармоническим. Параметры ангармоничности, исходя из известного соотношения , оценивались по усредненной энергии диссоциации на связь. Среди оставшихся обозначений в формулах (9) и (10) – Бозе-функция, . Значение дополнительного параметра n = 4 получено из сопоставления с точным численным решением задачи ангармонических колебаний для двухатомной молекулы с потенциалом Морзе.
Распределение атомов и молекул по электроновозбужденным состояниям, аппроксимированное распределением Больцмана с температурой Те, определяет соответствующие составляющие энтропии и энтальпии
, (11)
, (12)
где , ,
– вырожденность i-го возбужденного электронного уровня с энергией Ei относительно основного с вырожденностью g0. Отметим. что содержащее g0 энтропийное слагаемое, объединенное с молекулярным числом симметрии σ, вынесено в поступательно-вращательную составляющую.
Наконец, только поступательные составляющие (r = 0) электронного газа определяют его энтропийные и энтальпийные характеристики, которые при температуре Te могут быть вычислены по формулам (7), (8).
В температурной зависимости энергии Гиббса стационарно-неравновесного состояния колебательная (Tv) и электронная (Tе) температуры играют роль параметров, определяемых балансом электромагнитного возбуждения электронной подсистемы и релаксации с изменением геометрии молекулы, что сопровождается увеличением колебательной энергии
(13)
Для используемой в расчетах приведенной безразмерной энергии Гиббса или противоположной ей по знаку функции Планка конкретизирован поступательно-вращательный вклад, являющийся комбинацией функций (7), (8). Остальные составляющие представлены функциями (9)–(12)
. (14)
По принятым соглашениям представления стандартных термодинамических функций [10] энергия “нулевых” колебаний считается включенной в , которая при наличии стандартной энтальпии образования газообразного компонента равна
(15)
где энтальпия нагревания ΔH(0-298.15) на указанном интервале температур рассчитывается по формулам (8), (10).
РЕЗУЛЬТАТЫ И ОБСУЖДЕНИЕ
Квантово-химические расчеты энергии, геометрических характеристик и колебательных частот газообразных компонентов, включая их ионные формы (O+, O–, O2, O2+, O2–, O3, Ar, Ar+, C, C2, CO, CO+, CO2+, CO2, C2O), необходимые для определения термодинамических функций по формулам (5)–(14), выполнены по методу функционала плотности DFT со смешанным потенциалом BHandHLYP. Термодинамические функции электронного газа представлены в [15]. Электроновозбужденные состояния рассчитаны по времязависимому (time-dependent) методу функционала плотности TD DFT с потенциалом и базисами, примененными для расчета молекул в основном электронном состоянии.
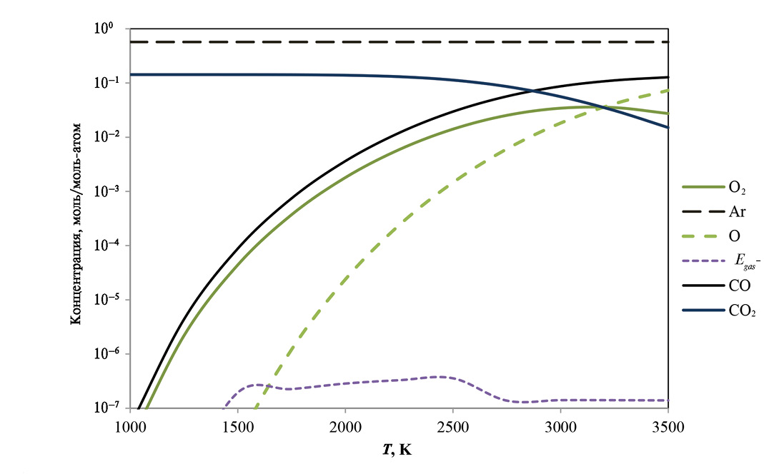
Анализу стационарно-неравновесных плазмохимических состояний предшествовал расчет равновесного состава продуктов термической конверсии CО2 в среде аргона при давлении P = 1 атм (рис. 1). Приближающееся к количественному разложение CО2 в условиях термической плазмы достигается при температурах около 3000 К. Заметим, что в число учитываемых компонентов исследуемой НТП входит конденсированный углерод.
Рис. 1. Температурные зависимости равновесного состава продуктов термического воздействия на систему CО2 + 4Ar (P = 1 атм)
Моделирование плазмы СВЧ-разряда атмосферного давления [16] в смеси CO2 + Ar требует дополнительной, с учетом конструкционных особенностей ее реализации, экспериментальной информации об электронной температуре Tе, а также выраженной через параметр v колебательной температуре Tv = v(T Te)0.5 при определенном уровне “электронной накачки”. Заметим, что при равенствах Tе = Т и v = 1 “многотемпературные” функции Планка превращаются в обычные, обеспечивая расчет термически равновесной плазмы (см. рис 1). Представленные на рис. 1 температурные зависимости равновесного состава в сопоставлении с расчетами для стационарно-неравновесной плазмы на рис. 2 показывают, что экспериментально достигнутая степень конверсии в 30% соответствует наблюдаемой с расчетной температурой ~1900 К при экспериментальной оценке Tе ~ 0.7 эВ (~8100 К). Таким образом, неравновесная гиротронная плазма в сравнении с термической приблизительно на 700 К снижает температуру разложения CO2. Вместе с тем, в отсутствие плазмообразующего Ar (рис. 3) для образования плазмы требуется повышенная мощность гиротронного воздействия. При этом заметная ее часть с плазмохимического разложения CO2 переходит на термическое с возрастающей долей нагревания аппарата. По расчетам (рис. 3) уменьшение параметров электронной (Tе = 0.6 эВ) и колебательной (v = 1.304) активации приближает плазму к равновесной, на практике позволяя достичь лишь степень конверсии ~12% при 2200 К. Степень конверсии CO2 определена выражением:
К(СО2) = ([СО2]in − [СО2]out)/[СО2]in = 1− [СО2]out /[СО2]in,
где индексы in и out отмечают входные и выходные концентрации CO2.
Рис. 2. Температурные зависимости состава стационарно-неравновесной плазмы исходного состава CО2 + 5Ar (P = 1 атм, электронная температура Te = 0.7 эВ, колебательный параметр v = Tv/(T·Te)0.5 = =1.513)
Рис. 3. Температурные зависимости состава стационарно-неравновесной плазмы исходного состава CО2 (P = 1 атм, электронная температура Te = 0.6 эВ, колебательный параметр v = Tv/(T Te)0.5 = 1.304)
ЗАКЛЮЧЕНИЕ
В отсутствие практически действенных теоретических моделей НТП [4, 7] представленный термодинамический подход отвечает потребностям стремительно развивающихся приложений [4] НТП к разработке новых способов синтеза новых наноматериалов и покрытий. Распространение метода минимизации энергии Гиббса на анализ и прогнозирование характеристик неравновесной НТП, взаимосвязанных с условиями выделения из плазмы конденсированных фаз, использует массив термодинамических функций обо всех компонентах системы из банков данных и опирается на дополнительный эксперимент по определению электронной и колебательной температур Тe и Тv, характеризующих степень неравновесности НТП. Заметим, что Тe находится по измерениям концентрации электронного газа, взаимосвязанной с Тe, а Тv оценивается по колебательным спектрам излучения плазмы.
Результаты успешного моделирования конверсии CO2 + Ar с использованием экспериментального значения температуры Тe = 0.7 эВ (8120 К) прогнозируют достигнутую на практике степень конверсии CO2 на уровне 30% при температуре 1900 К, что в сравнении с термической плазмой приблизительно на 700 К снижает температуру разложения CO2 в плазме гиротронного излучения.
Расчеты условий разложения CO2 в отсутствие плазмообразующего газа Ar при уменьшении электронной температуры (Tе = 0.6 эВ) и колебательного параметра (v = 1.304) приближают плазму к равновесной, на практике позволяя достичь лишь степень конверсии на уровне 12% при температуре 2200 К. (см. рис. 2, 3 и подписи к ним).
Неизотермическое по вкладам с температурами Тe, Тv и Т статистическое представление стандартных термодинамических функций газообразных компонентов в рамках метода минимизации энергии Гиббса с привлечением эксперимента, определяющего Тe и Тv, формирует метод прогнозирования состава НТП совместно с условиями образования из нее конденсированных веществ и материалов.
БЛАГОДАРНОСТЬ
Авторы благодарят академика М.Ф. Чурбанова за полезное и конструктивное обсуждение работы.
ФИНАНСИРОВАНИЕ РАБОТЫ
Работа выполнена при поддержке Российского научного фонда (проект 21-12-00376).
КОНФЛИКТ ИНТЕРЕСОВ
Авторы заявляют, что у них нет конфликта интересов.
About the authors
А. М. Кутьин
Федеральный исследовательский центр Институт прикладной физики им. А.В. Гапонова-Грехова РАН; Институт химии высокочистых веществ им. Г. Г. Девятых Российской академии наук
Email: mda1981@ipfran.ru
Russian Federation, ул. Ульянова, 46, Нижний Новгород, 603950; ул. Тропинина, 49, Бокс-75, Нижний Новгород, 603951
Д. А. Мансфельд
Федеральный исследовательский центр Институт прикладной физики им. А.В. Гапонова-Грехова РАН
Author for correspondence.
Email: mda1981@ipfran.ru
Russian Federation, ул. Ульянова, 46, Нижний Новгород, 603950
В. С. Поляков
Федеральный исследовательский центр Институт прикладной физики им. А.В. Гапонова-Грехова РАН; Институт химии высокочистых веществ им. Г. Г. Девятых Российской академии наук
Email: mda1981@ipfran.ru
Russian Federation, ул. Ульянова, 46, Нижний Новгород, 603950; ул. Тропинина, 49, Бокс-75, Нижний Новгород, 603951
References
- Энциклопедия низкотемпературной плазмы. Вводный том. Книга 1. М.: Наука, 2000. 585 с.
- Kozák T., Bogaerts A. Evaluation of the Energy Efficiency of CO2 Conversion in Microwave Discharges Using a Reaction Kinetics Model // Plasma Sources Sci. Technol. 2015. №. 24 P. 015024. https://doi.org/10.1088/0963-0252/24/1/015024
- Kozák T., Bogaerts A. Splitting of CO2 by Vibrational Excitation in Non-Equilibrium Plasmas: A Reaction Kinetics Model // Plasma Sources Sci. Technol. 2014. № 23. P. 045004. https://doi.org/10.1088/0963-0252/23/4/045004
- Adamovich I., Agarwal S., Ahedo E., Alves L.L., Baalrud S., Babaeva N., Bogaerts A., Bourdon A., Bruggeman P.J., Canal C., Choi E.H., Coulombe S., Donkó Z., Graves D.B., Hamaguchi S., Hegemann D., Hori M., Kim H-H., Kroesen G.M.W., Kushner M.J., Laricchiuta A., Li X., Magin T.E., Mededovic Thagard S., Miller V., Murphy A.B., Oehrlein G.S., Puac N., Sankaran R.M., Samukawa S., Shiratani M., Šimek M., Tarasenko N., Terashima K., Thomas Jr E., Trieschmann J., Tsikata S., Turner M.M., van der Walt I.J., van de Sanden M.C.M, von Woedtke T. The 2022 Plasma Roadmap: Low Temperature Plasma Science and Technology // J. Phys. D: Appl. Phys. 2022. № 55. P. 373001. https://doi.org/10.1088/1361-6463/ac5e1c
- Белов Г.В. Термодинамическое моделирование: методы, алгоритмы, программы. М.: Науч. мир, 2002. 181 с.
- Кутьин А.М., Кацнельсон К.М., Медвецкая В.Ю. Метод расчета равновесных и условно-равновесных состояний многокомпонентных гетерогенных систем // Тез. докл. V1 Всес. школы-семинара “Применение мат. методов для описания и изучения физ.-хим. равновесий”. Новосибирск, 1989. С. 65–66.
- Shi Nguyen-Kuok. Theory of Low-Temperature Plasma Physics // Springer Series on Atomic, Optical, and Plasma Physics. 2017. V. 95. P. 495. https://doi.org/10.1007/978-3-319-43721-7
- Синярев Г.В., Ватолин Н.А., Трусов Б.Г., Моисеев Г.К. Применение ЭВМ для термодинамических расчетов металлургических процессов. М.: Наука, 1982. 263 с.
- Иориш В.С., Белов Г.В., Юнгман В.С. Программный комплекс ИВТАНТЕРМО для Windows и его использование в прикладном термодинамическом анализе: Препринт ОИВТАН № 8 – 415. М. 1998. 56 с.
- Oppermann H., Stöver G., Wolf E. Die Sublimation und Thermische Zersetzung von TeJ4 und die Existenz von TeI2 in der Gasphase // Z. Anorg. Allg. Chem. 1976. V. 419. P. 200–212. https://doi.org/10.1002/zaac.19764190303
- Циглер Г. Экстремальные принципы термодинамики необратимых процессов и механика сплошной среды. М.: Мир, 1966. 135 с.
- Воронин Г.Ф. Основы термодинамики. М.: Изд-во МГУ, 1987. 192 с.
- Гурвич Л.В., Вейц И.В., Медведев В.А. и др. Термодинамические свойства индивидуальных веществ. Справочное издание: в 4 т. 3 изд. Т.1. Кн.1. М.: Наука, 1978. 496 с.
- Кубо Р. Статистическая механика. М.: Мир, 1967. 452 с.
- ИВТАНТЕРМО для WINDOWS термодинамическая база данных и программное обеспечение для ПК, версия 3.0. М.: ТЕРМОЦЕНТР РАН, 1992–2005.
- Mansfeld D., Sintsov S., Chekmarev N., Vodopyanov A. Conversion of Carbon Dioxide in Microwave Plasma Torch Sustained by Gyrotron Radiation at Frequency of 24 GHz at Atmospheric Pressure // J. CO2 Util. 2020. V. 40. P. 101197. https://doi.org/10.1016/j.jcou.2020.101197
Supplementary files





