Электронное строение Cd-замещенных кремниевых клатратов
- Authors: Борщ Н.А.1, Переславцева Н.С.1, Радина В.Р.2, Курганский С.И.2
-
Affiliations:
- Воронежский государственный технический университет
- Воронежский государственный университет
- Issue: Vol 60, No 5 (2024)
- Pages: 521-529
- Section: Articles
- URL: https://journal-vniispk.ru/0002-337X/article/view/279563
- DOI: https://doi.org/10.31857/S0002337X24050019
- EDN: https://elibrary.ru/MXIFUR
- ID: 279563
Cite item
Full Text
Abstract
Представлены результаты теоретического исследования электронного строения ряда Cd-замещенных клатратов на основе кремния. Расчет проводился методом линеаризованных присоединенных плоских волн. В результате расчета была получена зонная структура, полные и парциальные плотности электронных состояний. Проведен анализ влияния количества замещающих атомом кадмия и их кристаллографической позиции в элементарной ячейке на электронно-энергетический спектр клатратов.
Keywords
Full Text
ВВЕДЕНИЕ
Получение термоэлектрических материалов с оптимальными характеристиками является одной из актуальных задач современной науки. В 90-х годах прошлого века появилась гипотеза о том, что высокоэффективные термоэлектрические материалы могут быть получены на основе соединений, в которых слабо связанные атомы колеблются в ограниченном объеме [1]. В настоящее время наиболее перспективны с этой точки зрения так называемые клатратные кристаллы на основе элементов IV группы – кремния, германия и олова. Элементарная ячейка этих кристаллов строится из сфероидальных кластеров Si, Ge или Sn, внутри которых интеркалирован атом, стабилизирующий сфероид [2–4]. Благодаря такой специфической структуре появляется возможность модифицировать свойства клатратных кристаллов, изменяя сорт интеркалированного атома и/или замещая часть атомов клатратной подрешетки атомами другого сорта [5–12].
Способы оптимизации термоэлектрических свойств клатратов не разработаны. Например, установлено, что коэффициент Зеебека значительно изменяется при различных замещениях в клатратной подрешетке [13–15]. Однако причины этих изменений до сих пор не ясны. Величина коэффициента Зеебека связана с особенностями электронного строения кристалла, а точнее, с деталями электронной структуры и плотности состояний вблизи уровня Ферми, поэтому очевидно, что изучение электронного строения термоэлектрических клатратов является необходимым шагом на пути получения новых материалов с оптимальными термоэлектрическими характеристиками.
В данной работе представлены результаты расчета электронной структуры ряда Cd-замещенных клатратов на основе кремния. Клатрат Ba8Cd7Si39 впервые был синтезирован в 2009 г. [16], и его электронная структура не изучена ни экспериментально, ни теоретически. Представлены также результаты расчета электронной структуры клатратов Ba8Cd6Si40 и Ba8Cd8Si38, что позволило проанализировать влияние количества замещающих атомов Cd на электронно-энергетический спектр клатратов. Кроме того, для клатратов Ba8Cd7Si39 и Ba8Cd8Si38 были рассмотрены случаи с различным положением замещающих атомов в элементарной ячейке и на этой основе изучено влияние кристаллографической позиции замещающего атома на электронные свойства кристалла.
МЕТОД РАСЧЕТА
Расчет электронной структуры клатратов проводился методом линеаризованных присоединенных плоских волн (ЛППВ) [17] в рамках локального приближении функционала плотности с использованием обменно-корреляционного потенциала в аппроксимакции [18] и скалярно-релятивистского приближения [19]. В этом приближении учитываются все релятивистские эффекты, кроме спин-орбитального расщепления. Для расчетов электронной структуры использовался базис из 2500 ЛППВ. В разложении базисной функции по сферическим гармоникам учитывались вклады до lmax= 7.
Полученные в результате зонного расчета собственные функции øi,k(r) и собственные значения энергии Ei(k) использовались для расчета полных плотностей электронных состояний
и локальных парциальных плотностей электронных состояний
(i – номер энергетической зоны, ΩBZ – объем первой зоны Бриллюэна, – заряд l-типа симметрии, содержащийся внутри атомной сферы, окружающей в элементарной ячейке атомы s-типа).
Cd-замещенные кремниевые клатраты кристаллизуются в примитивную кубическую ячейку пр. гр. Pm3n [16]. На одну элементарную ячейку в этой структуре приходятся два полиэдра Si20 и шесть полиэдров Si24. Атомы бария заполняют пустоты в этих полиэдрах. В элементарной ячейке имеются две неэквивалентные кристаллографические позиции атомов бария – 2a и 6b и три неэквивалентные позиции атомов клатратной решетки – 6с, 16i и 24k (обозначения кристаллографических позиций даны в соответствии с [16]). В расчете использовались данные о параметрах кристаллической решетки и координатах атомов для клатрата Ba8Cd7Si39 из работы [16]. В этой работе сообщается о синтезе клатрата Ba8Cd7Si39, в котором шесть атомов кадмия замещают атомы кремния в позициях 6с и один атом – в позиции 24k (далее обозначается как Cd7(6c, 24k)-замещенный клатрат). Чтобы изучить влияние кристаллографической позиции замещающих атомов на электронно-энергетический спектр клатрата, было проведено также теоретическое исследование электронной структуры клатрата Ba8Cd7Si39, в котором шесть атомов кадмия занимают 6с-позиции, и один атом – 16i-позицию (Cd7(6c, 16i)-замещенный клатрат). Для изучения влияния числа замещающих атомов на электронные свойства клатрата была рассчитана электронная структура Cd6-замещенного клатрата Ba8Cd6Si40 и Cd8-замещенного клатрата Ba8Cd8Si38. В клатрате Ba8Cd6Si40 атомы кадмия замещают атомы кремния только в позициях 6с, для Cd8-замещенного клатрата рассматривались два варианта замещения: во-первых, когда шесть атомов Cd занимают позиции 6с, а еще два – позиции 16i (Cd8(6c,16i)-замещенный клатрат), во-вторых, когда шесть атомов Cd занимают позиции 6с, а еще два – позиции 24k (Cd8(6c, 24k)-замещенный клатрат).
РЕЗУЛЬТАТЫ И ОБСУЖДЕНИЕ
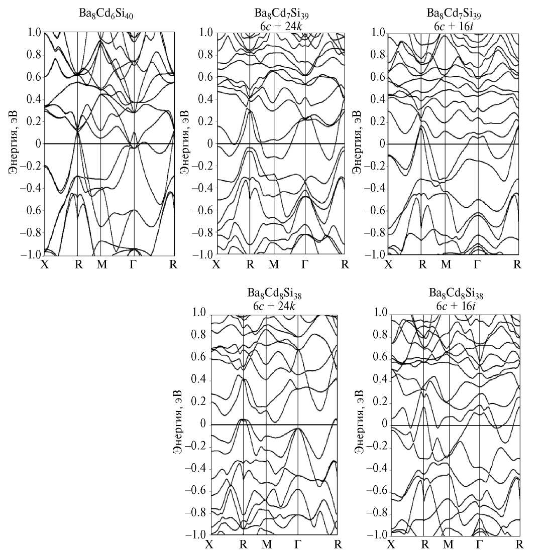
В валентной зоне Cd6-замещенного клатрата имеются 122 энергетические зоны, валентную зону Cd7-замещенных клатратов образуют 127 энергетических зон, а Cd8-замещенных – 132 зоны. Зонную картину рассматриваемых клатратов можно разделить на три группы энергетических зон (рис. 1), что характерно для клатратных кристаллов [20–23]. Расчет плотностей электронных состояний показал (рис. 2–4), что первая группа зон, находящаяся в низкоэнергетической части валентной зоны в интервале энергий от –12 до –6 эВ, включает Si 3s- и Cd 4d-зоны. Вторая группа, расположенная при энергиях от –6 эВ до энергии Ферми, включает зоны, заполненные Si 3p-электронами, а также Cd 5s- и Cd 5p-электронами. Третья группа зон практически полностью находится в зоне проводимости клатрата.
Рис. 1. Зонная структура Сd-замещенных кремниевых клатратов в окрестности уровня Ферми.
Рис. 2. Полная и парциальные плотности электронных состояний в клатрате Ba8Cd6Si40.
Рис. 3. Полная и парциальные плотности электронных состояний в клатрате Ba8Cd7Si39.
Рис. 4. Полная и парциальные плотности электронных состояний в клатрате Ba8Cd8Si38.
За исключением зон, соответствующих Cd 4d-состояниям, в валентной зоне каждого из рассматриваемых клатратов содержится одинаковое количество зон, а именно – 92 энергетические зоны. Причина этого заключается в том, что атомы решетки-хозяина стремятся к образованию тетраэдрических связей. Для этого необходимо заполнение Cd 5p-оболочек, т.е. атомы Cd должны иметь четырехэлектронную валентную конфигурацию. Атомы Ba являются донорами электронов для клатратной решетки. Каждый атом бария отдает решетке-хозяину по два валентных 6s-электрона. Таким образом, от восьми атомов бария клатратная подсистема получает 16 дополнительных электронов на элементарную ячейку. В Cd6-замещенном клатрате 12 из 16 полученных от атомов Ва электронов используются для образования тетраэдрических ковалентных связей атомов Cd с атомами Si, а оставшиеся четыре заполняют зоны у дна зоны проводимости. Поэтому в Cd6-замещенном клатрате уровень Ферми пересекает дно зоны проводимости, то есть этот клатрат обладает металлическими свойствами (рис. 1). В Cd7-замещенных клатратах имеются два избыточных электрона на элементарную ячейку, они заполняют зону у дна зоны проводимости. В Cd7(6c, 16i)-замещенном клатрате нижняя зона зоны проводимости пересекает уровень Ферми (рис. 1). В Cd7(6c, 24k)-замещенном клатрате уровень Ферми пересекают две зоны – нижняя зона зоны проводимости и верхняя зона валентной полосы (рис. 1). В Cd7-замещенных клатратах валентная зона и зона проводимости перекрываются по энергетической шкале, но не пересекаются, что характерно для полуметаллов. Такой вывод согласуется с экспериментальными данными о характере проводимости Cd7(6c, 24k)-замещенного клатрата [16]. В клатрате Ba8Cd8Si38 для образования атомами Cd тетраэдрических связей не хватает 16 электронов, поэтому все электроны, отданные атомами Ba, используются для образования связей Cd–Si. В Cd8(6c, 16i)-замещенном клатрате уровень Ферми пересекает потолок валентной зоны, а в Cd8(6c, 24k)-замещенном валентная зона и зона проводимости перекрываются, в результате чего уровень Ферми пересекают верхняя зона валентной полосы и нижняя зона зоны проводимости (рис. 1). Следовательно, оба Cd8-замещенных клатрата являются полуметаллами.
В (6с, 24k)-замещенных клатратах перекрытие валентной зоны и зоны проводимости более глубокое, чем в (6с, 16i)-замещенных, поскольку в (6c, 24k)-замещенных клатратах от основной части валентной зоны отщепляются верхние энергетические зоны: одна в Cd7(6c, 24k)-замещенном и две в Cd8(6c, 24k)-замещенном. Отщепленные зоны поднимаются вверх по энергии и обеспечивают более глубокое перекрытие валентной зоны и зоны проводимости. Происхождение отщепленных зон легко объяснить, если рассмотреть локальные парциальные плотности электронных состояний для атомов кадмия из неэквивалентных кристаллографических позиций (рис. 5). Ближайшее окружение 6с-атома состоит из трех 24k-атомов. Следовательно, в клатратах с 6c+24k-замещениями обязательно есть соседствующие атомы кадмия (6с-атом и 24k-атом). Как показал расчет, плотность 5p-состояний атомов кадмия, имеющих в своем окружении атомы кадмия, расщепляется около уровня Ферми (рис. 5). Плотность 5p-состояний таких атомов имеет два основных максимума: максимум при энергии ~ -1.5 эВ, соответствующий связям Cd–Si, и максимум непосредственно около уровня Ферми, который соответствует менее прочным связям Cd–Cd. В клатрате Ba8Cd7Si39 с 6c+24k-замещениями имеются только два соседствующих атома кадмия, т.е. одна связь Cd–Cd. Этой связи соответствует одна отщепленная энергетическая зона. В элементарной ячейке клатрата Ba8Cd8Si40 с 6c+24k-замещениями имеются две связи Cd–Cd, которым соответствуют две отщепленные энергетические зоны. В Cd(6c, 16i)-замещенных клатратах в ближайшем окружении 16i-атомов имеются три 24k-атома и один 16i-атом (рис. 5), следовательно, все замещающие атомы кадмия окружены только атомами кремния. Поэтому в плотности Cd 5p-состояний в этих клатратах отсутствует максимум на уровне Ферми, а значит, и отщепленные зоны у потолка валентной зоны.
Рис. 5. Координационные тетраэдры атомов клатратной решетки из неэквивалентных кристаллографических позиций и локальные парциальные плотности электронных состояний атомов кадмия из неэквивалентных кристаллографических позиций в клатратах Ba8Cd7Si39 и Ba8Cd8Si38.
Характерной особенностью электронного строения базовых (незамещенных) кремниевых и германиевых клатратов является наличие энергетической щели вблизи середины валентной зоны [20–23]. В Cd-замещенных кремниевых клатратах валентная зона непрерывна. Как показывает расчет парциальных плотностей состояний (рис. 2–4), в энергетическом интервале от –6 до –5 эВ происходит гибридизация валентных состояний кремния и Cd 4s-состояний, что и приводит к закрытию щели. Расчет локальных парциальных плотностей состояний показал, что в плотности Si 3s-состояний тех атомов кремния, которые не имеют в ближайшем окружении замещающих атомов кадмия, имеется энергетическая щель, аналогичная той, которая разделяет валентную зону незамещенных клатратов. В свою очередь наличие атома кадмия в ближайшем окружении атома кремния приводит к тому, что плотность его Si 3s-состояний непрерывно распределяется по валентной зоне. Для Si 3p-состояний такой закономерности нет – плотность 3p-состояний всех атомов кремния, независимо от наличия атомов Cd в ближайшем окружении, непрерывна.
ЗАКЛЮЧЕНИЕ
В низкоэнергетической части валентной зоны Cd-замещенных кремниевых клатратов доминирует вклад Si 3s- и Cd 4d-состояний, а при более высоких энергиях преобладают Si 3p-состояния с заметным вкладом Cd 5s- и Cd 5p-состояний. Количество замещающих атомов кадмия влияет на электронно-энергетический спектр в прифермиевской области клатрата и определяет характер проводимости кристалла. Структура энергетических зон на уровне Ферми указывает на то, что Cd6-замещенный клатрат имеет металлический характер проводимости, а Cd7- и Cd8-замещенные являются полуметаллами.
ФИНАНСИРОВАНИЕ РАБОТЫ
Исследование выполнено при поддержке Министерства науки и высшего образования России в рамках соглашения № 075–15–2021–1351.
КОНФЛИКТ ИНТЕРЕСОВ
Авторы заявляют, что у них нет конфликта интересов.
About the authors
Н. А. Борщ
Воронежский государственный технический университет
Author for correspondence.
Email: n.a.borshch@ya.ru
Russian Federation, 394006 Воронеж, ул. 20-летия Октября, 84
Н. С. Переславцева
Воронежский государственный технический университет
Email: n.a.borshch@ya.ru
Russian Federation, 394006 Воронеж, ул. 20-летия Октября, 84
В. Р. Радина
Воронежский государственный университет
Email: n.a.borshch@ya.ru
Russian Federation, 394018 Воронеж, Университетская пл., 1
С. И. Курганский
Воронежский государственный университет
Email: n.a.borshch@ya.ru
Russian Federation, 394018 Воронеж, Университетская пл., 1
References
- Slack G.A. Design Concepts for Improved Thermoelectric Materials // MRS Proc. 1997. V. 478. P. 47–54. https://doi.org/10.1557/PROC-478-47
- Kasper J. S., Hagenmuller P., Pouchard M., Cros C. Clathrate Structure of Silicon Na8Si46 and NaxSi136 (x < 11) // Science. 1965. V. 150. P. 1713–1716. https://doi.org/10.1126/science.150.3704.1713
- Guloy A., Ramlau R., Tang Z., Schnelle M., Baitinger M., Grin Y. A Guest-Free Germanium Clathrate // Nature. 2006. V. 443. P. 320–323. https://doi.org/10.1038/nature05145
- Myles C. W., Dong J., Sankey O. F. Structural and Electronic Properties of Tin Clathrate Materials // Phys. Rev. B. 2001. V. 64. P. 165202–165212. https://doi.org/10.1103/PhysRevB.64.165202
- Shimizu F., Maniwa Y., Kume K., Kawaji K., Yamanaka S., Ishikawa M. NMR Study in the Superconducting Silicon Clathrate Compound NaxBaySi46 // Phys. Rev. B. 1996. V. 54. P. 13242–13246. https://doi.org/10.1103/physrevb.54.13242
- Tse J. S., Desgreniers S., Zhi-qiang L., Ferguson M. R., Kawazoe Y. Structural Stability and Phase Transitions in K8Si46 Clathrate under High Pressure // Phys. Rev. B. 2002. V. 89. P. 195507–195510. https://doi.org/10.1103/physrevlett.89.195507
- Fukuoka H., Kiyoto J., Yamanaka S. Superconductivity and Crystal Structure of the Solid Solutions of Ba8-δSi46-δGex (0 ≤ ≤ x ≤ 23) with Type I Clathrate Structure // J. Solid State Chem. 2003. V. 175. P. 237–244. http://dx.doi.org/10.1016/S0022-4596(03)00253-6
- Novikov V.V., Matovnikov A.V., Mitroshenkov N.V., Likhanov M.S., Morozov A.V., Shevelkov A.V. Temperature-Dependent Influence of Disorder on the Thermodynamic Properties of Sn20.53.5As20I8, a Vacancy-Driven Superstructure of the Type-I Clathrate // Philos. Mag. 2021. V. 101. № 19. P. 2092–2107. https://doi.org/10.1080/14786435.2021.1953177
- Kawasaki K., Kishimoto K., Asada H., Akai K. Synthesis and Some Properties of Ba24−x(Ga,Sn)136 (x~4) Type-II Clathrates // J. Solid State Chem. 2020. V. 290. P. 121540–121547. https://doi.org/10.1016/j.jssc.2020.121540
- Barkalov O.I., Kuzovnikov M.A., Sholin I.A., Orlov N.S. Transformations of Silicon Clathrate Si136 Under High Hydrogen Pressure up to 11 GPa // Solid State Commun. 2021. V. 340. P. 114492–114498. https://doi.org/10.1016/j.ssc.2021.114492
- Gunatilleke W. D. C. B., Wong-Ng W., Zavalij P.Y., Zhang M., Chen Y.-S., Nolas G.S. Revealing Uncommon Transport in the Previously Unascertained Very Low Cation Clathrate-I Eu2Ga11Sn35 // Cryst. Eng. Common. 2023. V. 25. P. 48–52. https://doi.org/10.1039/D2CE01026G
- Ghosh K., Ovchinnikov A., Baitinger M., Krnel M., Burkhardt U., Grin Y., Bobev S. Lithium Metal Atoms Fill Vacancies in the Germanium Network of a Type-I Clathrate: Synthesis and Structural Characterization of Ba8Li5Ge41 // Dalton Trans. 2023. V. 52. P. 10310–10322. https://doi.org/10.1039/D3DT01168B
- Christensen M., Johnsen S., Iversen B. B. Thermoelectric Clathrates of Type I // Dalton Trans. 2010. V. 39. P. 978–992. https://doi.org/10.1039/B916400F
- Wang L.-H., Chang L.-S. Thermoelectric Properties of p-Type Ba8Ga16Ge30 Type-I Clathrate Compounds Prepared by the Vertical Bridgman Method // J. Alloys Compd. 2017. V. 722, P. 644–650. https://doi.org/10.1016/j.jallcom.2017.06.110
- Koga, K., Suzuki, K., Fukamoto, M., Anno H., Tanaka T., Yamamoto S. Electronic Structure and Thermoelectric Properties of Si-Based Clathrate Compounds // J. Electron. Mater. 2009. V. 38. P. 1427–1432. https://doi.org/10.1007/s11664-009-0730-6
- Nasir N., Grytsiv A., Melnychenko-Koblyuk N., Rogl P., Bauer E., Lackner R., Royanian E., Giester G., Saccone A. Clathrates Ba8{Zn,Cd}xSi46−x, x7: Synthesis, Crystal Structure and Thermoelectric Properties // J. Phys.: Condens. Matter. 2009. V. 21. № 38. P. 385404–385411. http://dx.doi.org/10.1088/0953-8984/21/38/385404
- Koelling D.D., Arbman G.O. Use of Energy Derivative of the Radial Solution in an Augmented Plane Wave Method: Application to Copper // J. Phys. F. 1975. V. 5. P. 2041–2054. https://doi.org/10.1088/0305-4608/5/11/016
- Vosko S.N., Wilk L., Nusair M. Accurate Spin-Dependent Electron Liquid Correlation Energies for Local Spin Density Calculations: a Critical Analysis // Can. J. Phys. 1980. V. 58. P. 1200–1211. https://doi.org/10.1139/p80-159
- MacDonald A.H., Pickett W.E., Koelling D.D. A Linearised Relativistic Augmented-Plane-Wave Method Utilising Approximate Pure Spin Basis Functions // J. Phys. C. 1980. V. 13. P. 2675–2683. https://doi.org/10.1088/0022-3719/13/14/009
- Курганский С. И., Борщ Н. А., Переславцева Н. С., Электронная структура и спектральные характеристики клатратов Si46 и Na8Si46 // Физика и техника полупроводников. 2005. Т. 39. № 10. С. 1218–1223.
- Борщ Н. А., Переславцева Н. С., Курганский С. И. Электронная структура и спектральные характеристики Zn-замещенных клатратных силицидов // Физика и техника полупроводников. 2011. Т. 45. № 6. С. 729–739.
- Борщ Н. А., Переславцева Н. С., Курганский С. И. Электронно-энергетический спектр в Pd-замещенных клатратных кристаллах на основе кремния // Физика твердого тела. 2012. Т. 54. № 2. С. 241–245.
- Борщ Н. А., Курганский С. И. Электронная структура четырехкомпонентных клатратных кристаллов системы Ba-Zn-Si-Ge // Физика и техника полупроводников. 2018. Т. 52. № 3. С. 299–303. https://doi.org/10.21883/FTP.2018.03.45612.8615a
Supplementary files







